Nature天文:1000000000000个网格,这是天堂的湍流

导语
近期,Federrath等人在Nature Astronomy发表文章,文中对天体湍流进行了计算模拟,是迄今为止具有最高分辨率的高精度模拟。

发 | 作者
CFD界 | 来源

论文题目:
The sonic scale of interstellar turbulence
论文地址:
https://www.nature.com/articles/s41550-020-01282-z

恒星的形成是天体物理最重要的研究领域之一。恒星形成的多样性,造就了我们色彩斑斓的宇宙,以及非礼勿视、无人触及的黑洞。
恒星的形成源自于巨大的气体云。研究观察发现,这些巨大的天体云中的湍流是超高音速的。甚至这种速度的波动,都大大超过声速。
近期,Federrath等人在Nature Astronomy发表文章,文中对天体湍流进行了计算模拟,是迄今为止具有最高分辨率的高精度模拟。
研究工作意图理解湍流如何促进恒星的形成。

星际中的分子云的尺寸巨大。分子云的外层可以防止其他恒星的紫外线穿透,这种紫外线对分子具有一定的破坏作用。
同时,这些星际中分子云的温度极低,只有10K左右。因此他们的内能基本可以忽略不计。
但是,这些分子云的运动是超高音速的。这些超高音速的分子运动会导致极强的激波,这些激波会进一步的压缩分子云。

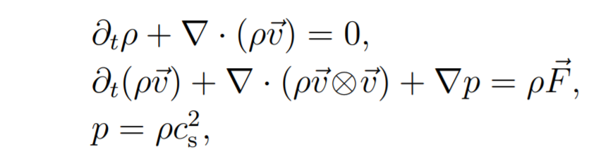
Federrath等人通过CFD计算模拟,通过可压缩NS方程,研究这种超音速尺度的变化。

模拟横跨亚音速以及超音速。Federrath等人的研究验证了星际中的湍流能谱满足一定的幂律关系。
虽然这是模拟天堂的湍流,但同样遇到凡人一样的问题。就是各种不同的长度尺度以及时间尺度。
湍流中最小的尺度位于粘性层,这里的湍流会耗散成为能量。在模拟的过程中,最小的尺度与最大的尺度比高达10000倍。
时间尺度也让凡人头疼。同时需要考虑百万年(恒星的产生)与粘性层的几千年
种种困难下,Federrath等人历史上第一次将所有的尺度通通考虑进去,进行了跨尺度层级的星际湍流模拟。
值得一提的是,文中的模拟调用了:
65536个计算核心
5000万个核小时
共1014469230592个网格
复杂科学最新论文
集智斑图顶刊论文速递栏目上线以来,持续收录来自Nature、Science等顶刊的最新论文,追踪复杂系统、网络科学、计算社会科学等领域的前沿进展。现在正式推出订阅功能,每周通过微信服务号「集智斑图」推送论文信息。扫描下方二维码即可一键订阅:

推荐阅读
点击“阅读原文”,追踪复杂科学顶刊论文





