Nature子刊:非线性动力学最新论文合集

导语
非线性动力学从湍流到鸟群,从昆虫爆发到基因调控,非线性动力学为我们揭示了自然与人工系统中最丰富而又最难以捉摸的规律。在线性方法难以应对的科学与技术前沿,非线性动力系统与混沌理论为理解复杂现象提供了全新的视角。它不仅能精确刻画演化动力学的内在机制,还能帮助我们预测系统的未来行为,探索因果涌现背后的深层逻辑。分岔、极限环、奇异吸引子与分形等核心概念,不仅是数学与物理中的重要命题,也已成为生物学、工程学、信息科学等领域应用的基础。
本文整理了《自然》杂志下2021-2015年期间发布的与非线性动力学相关的主题文章,研究涉及生物系统辨识、基因调控网络、传染病的传播、生态系统相互作用等领域。如果你对非线性动力学主题感兴趣,也欢迎你加入集智俱乐部联合北京师范大学张江科研组联和信大李春彪科研组师生共同发起「非线性动力学与混沌」读书会,由师生共同领读《非线性动力学与混沌》,以分章节精读的方式,带领大家系统学习非线性动力学的基本理论与典型模型,结合洛伦兹系统、Kurmoto模型等经典案例,深入探讨混沌的起源、分形与奇异吸引子等前沿问题。
论文1:基于扰动的细胞命运决定过程的基因调控网络推断
论文1:基于扰动的细胞命运决定过程的基因调控网络推断

论文题目:Gene regulatory network inference during cell fate decisions by perturbation strategies
基于扰动策略的细胞命运决定过程中基因调控网络推断
论文来源:npj Systems Biology and Applications
论文链接:https://www.nature.com/articles/s41540-025-00504-2
代码链接:https://github.com/Qing-Hu-gif/network_inference.git.
一作单位:Department of Mathematics, Shanghai University, Shanghai, China
摘要:随着生物技术与计算方法的快速发展,仅通过数据推断细胞命运决定过程中的特定基因调控网络(包括确定生物分子间的直接调控关系及其调控强度),仍是当前领域最具挑战性的问题之一。本研究提出一种基于系统扰动分析、统计分析与差异分析的通用计算方法,用于推断网络拓扑结构并识别细胞命运决定过程中的网络差异。针对每种细胞命运状态,首先在理论层面阐明:在系统扰动分析框架下,如何基于扰动数据计算局部响应矩阵;同时,针对特定常微分方程,推导得到野生型(wild-type, WT)局部响应矩阵。为提高推断网络的准确性并消除扰动程度带来的影响,在统计分析中引入多扰动条件下局部响应矩阵的置信区间(confidence interval, CI),并提出重新定义的局部响应矩阵,以确定所有细胞命运状态下的网络拓扑结构。在差异分析阶段,本研究引入 “相对局部响应矩阵” 概念,该概念可帮助识别调控各细胞状态的关键调控关系,以及与特定调控关系相关的主导细胞状态。为验证所提方法的可行性,研究以上皮 – 间充质转化(epithelial to mesenchymal transition, EMT)网络为实例进行分析。结果显示,推断得到的三种细胞状态下的网络差异可通过定量方式识别,且该结果与实验观察高度一致。此外,本文提出的方法还可推广应用于推断其他与细胞命运决定相关的调控网络。

图1

图2
核心图:图 1是扰动前EMT网络,绿色箭头和红色条分别表示激活和抑制。图2是在扰动下推断的EMT网络。
论文1:细胞网络中局部拓扑结构、全局动力学与分岔的普适关系
论文1:细胞网络中局部拓扑结构、全局动力学与分岔的普适关系

论文题目:General relationship of local topologies, global dynamics, and bifurcation in cellular networks
细胞网络中局部拓扑结构、全局动力学与分岔的普适关系
论文来源:npj Systems Biology and Applications
论文链接:https://www.nature.com/articles/s41540-024-00470-1
一作单位:
These authors contributed equally: Qing Hu, Ruoyu Tang.
Department of Mathematics, Shanghai University, Shanghai, 200444, China
摘要:此研究从细胞网络通过整合调控路径与反馈回路等局部结构中的复杂信息来实现其功能。然而,局部拓扑结构如何决定全局网络动力学并诱发分岔的具体机制尚未明确。破解这一整合机制的关键在于识别信息流运行的基本原理。本研究开发了累积线性化逼近(CLA)算法以解决该问题。基于扰动分析与网络分解理论,我们从数学上证明了扰动如何通过所有调控路径的整合影响平衡态变化,以及平衡态的稳定性如何由不同反馈回路决定。选取双稳态三变量系统和更复杂的上皮-间质转化(EMT)网络作为验证案例,结果表明该方法能有效揭示局部拓扑结构与全局动力学的关系。这些发现为理解细胞网络信息流奠定了坚实基础,凸显了局部拓扑结构在决定全局动力学和分岔现象中的关键作用。本研究为探索扰动条件下细胞网络局部拓扑与全局动力学之间的普适关系提供了新框架。

图1

图2
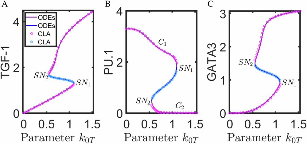
核心图:图 1由 TCF-1、PU.1 和 GATA3 构成的调控网络。 箭头代表激活作用,短横线代表抑制作用。
图 2是三变量模型的分岔图。 TCF-1 (A)、PU.1 (B) 和 GATA3 (C) 的表达水平随参数 k0T变化的函数关系。实线平衡曲线和带圆点的平衡曲线分别由常微分方程和累积线性化近似算法得出。紫色(或深色)和蓝色(或浅色)曲线分别表示稳定和不稳定平衡点。
论文2:渠化作用降低生物网络中调控的非线性
论文2:渠化作用降低生物网络中调控的非线性

论文题目:Canalization reduces the nonlinearity of regulation in biological networks
渠化作用降低生物网络中调控的非线性
论文来源:npj Systems Biology and Applications
论文链接:https://www.nature.com/articles/s41540-024-00392-y
代码链接:Original code to compute the approximability of Boolean networks, published along with(22), is available at https://gitlab.com/smanicka/boolion. Code to analyze the 110 investigated published, expert-curated Boolean biological network models, as well as the Python library canalizing_function_toolbox, published along with(2), is available at https://github.com/ckadelka/DesignPrinciplesGeneNetworks. New code underlying the analyses described in this paper is available at https://github.com/ckadelka/ApproximabilityBooleanNetworks.
一作单位:Department of Mathematics, Iowa State University, 411 Morrill Rd, Ames, 50011, IA, USA
摘要:生物网络(如基因调控网络)具备优越特性,其鲁棒性与可控性均优于随机网络。这一现象促使研究者探索进化过程中融入生物网络的结构与动力学特征。近期针对已发表的、经专家整理的布尔型生物网络模型的荟萃分析,揭示了若干此类特征(常被称为 “设计原则”)。其中尤为关键的特征包括:生物网络中特定重复出现的网络基序(network motifs)更为富集;其动态更新规则比预期更具冗余性、偏向性与渠化性;且相较于可比随机网络,生物网络的动力学更易通过线性及低阶近似方法描述。由于这些特征大多相互关联,厘清其间的因果关系至关重要 —— 即明确哪些特征是进化主动选择的结果,进而真正构成 “进化设计原则”。本研究通过将已发表的布尔型生物网络模型与不同集合的零模型(null models)进行对比,发现生物网络中渠化作用(canalization)的丰度几乎可完全解释其近期被提出的 “高可近似性” 特征。此外,对随机 N-K 考夫曼模型(N-K Kauffman models)的分析表明,网络的可近似性与其动力学鲁棒性存在强相关性。

核心图:渠道化现象解释生物网络的高可逼近性。本图展示了生物网络(橙色)与三种匹配生物网络不同特征(偏差值和/或渠道化深度)的随机零模型网络(蓝色系)的平均逼近误差分布。每个箱形图显示四分位距,须线延伸至箱体1.5倍四分位距内的极值,箱内横线表示中位数。对于固定逼近阶数(1-3阶,x轴),采用双尾威尔科克森符号秩检验评估生物网络与随机网络的平均绝对误差分布差异。所有生物网络及其随机零模型的平均绝对误差散点图详见图2。
论文3:网络拓扑结构与相互作用逻辑决定其支持的状态
论文3:网络拓扑结构与相互作用逻辑决定其支持的状态

论文题目:Network topology and interaction logic determine states it supports
论文来源:npj Systems Biology and Applications
论文链接:https://www.nature.com/articles/s41540-024-00423-8
一作单位:Department of Mathematical Sciences, Montana State University, Bozeman, MT, USA
摘要:在本文献综述中,我们总结了当前在 “描述网络所支持的动力学范围” 这一问题上的最新研究进展。旨在阐述调控网络在不同条件下展现不同表型的能力的最新进展。我们介绍一种替代分析方法 —— 调控网络动态特征生成方法(Dynamic Signatures Generated by Regulatory Networks, DSGRN)[3,5,10]。该方法为网络关联了一个常微分方程(ODE)模型,该模型包含与网络结构一致的分段常值单调非线性项。由于这些非线性项仅取有限个值,相较于一般常微分方程模型,该方法存在两项关键简化:第一,相空间中的常微分方程解可通过有限状态转移图(state transition graph, STG)描述;第二,连续参数空间可分解为有限个区域,且同一区域内所有参数对应的状态转移图(及其定义的动力学行为)完全一致。这一特性将 “分析具有连续相空间与连续参数空间的常微分方程系统” 转化为 “有限组合问题”,大幅降低了分析复杂度。此外,该模型中的分段常值非线性项可扰动为希尔函数(Hill function)模型、斜坡函数(ramp function)模型或其他任意 S 型非线性模型,且理论研究已证实:对该组合动力学的分析结果,对其邻近的连续模型同样有效 [11]。

核心图:切换三元组网络分析。(a )切换三元组网络( b )可能的更新布尔函数集 (c)所有 MBF 的偏序集,相邻函数恰好相差一个值。
论文一:基于生成对抗网络的代谢动力学模型重构与动态研究
论文一:基于生成对抗网络的代谢动力学模型重构与动态研究

论文题目:Reconstructing Kinetic Models for Dynamical Studies of Metabolism using Generative Adversarial Networks
基于生成对抗网络的代谢动力学模型重构与动态研究
论文来源:Nature Machine Intelligence
论文链接:https://www.nature.com/articles/s42256-022-00519-y
代码链接:A TensorFlow implementation of the REKINDLE workflow is publicly available at https://github.com/EPFL-LCSB/rekindle and https://gitlab.com/EPFL-LCSB/rekindle (ref. (55)). The ORACLE framework is implemented in the SKiMpy (Symbolic Kinetic Models in Python)(35) toolbox, available at https://github.com/EPFL-LCSB/skimpy.
一作单位:Laboratory of Computational Systems Biology (LCSB), Ecole Polytechnique Fédérale de Lausanne (EPFL), Lausanne, Switzerland
摘要:代谢动力学模型通过机理关系将代谢通量、代谢物浓度与酶水平关联起来,是理解、预测及优化生命体行为的核心工具。然而,由于动力学数据的缺失,传统动力学建模往往只能得到少量符合预期动力学特性的模型,甚至无法得到有效模型,这导致分析结果可靠性不足且计算效率低下。本研究提出一种基于深度学习的框架 ——REKINDLE(Reconstruction of Kinetic Models using Deep Learning,即 “基于深度学习的动力学模型重构”),该框架可高效生成动力学特性与细胞中观测结果匹配的代谢动力学模型。研究展示了 REKINDLE 的核心能力:仅需少量数据,且在显著降低计算需求的前提下,即可实现对代谢生理状态的分析与探索。结果表明,数据驱动的神经网络能够吸收代谢网络隐含的动力学知识与结构,生成具有定制化特性和统计多样性的动力学模型。研究团队预期,该框架将深化对代谢过程的理解,并推动生物技术与健康领域的未来研究进程。

核心图:REKINDLE 框架流程与应用解析。a中,首先通过预设条件(贴合实验数据、具备合理动力学特性)筛选并分类初始动力学参数集,接着利用生成对抗网络(GANs)学习带标签参数的分布规律,再由训练后的生成器生成新合规参数,最后通过统计检验与验证确保参数有效性;b中,一方面可借助 GANs 习得的生理与结构知识,通过迁移学习在数据有限时外推至其他生理状态,另一方面生成的参数集支持大规模高阶统计分析,助力揭示代谢表型背后的调控机制,图中 Km,1 和 Km,2 为任意动力学参数(如米氏常数)的示例。
论文1:躯体衰弱综合征-从内环境稳态协奏到机能紊乱的转化过程
论文1:躯体衰弱综合征-从内环境稳态协奏到机能紊乱的转化过程

论文题目:The physical frailty syndrome as a transition from homeostatic symphony to cacophony
躯体衰弱综合征:从内环境稳态协奏到机能紊乱的转化过程
论文来源:Nature Aging
论文链接:https://www.nature.com/articles/s43587-020-00017-z
一作单位:Columbia University Mailman School of Public Health, New York, NY, USA
摘要:衰老过程中的脆弱性(Frailty)指机体储备能力下降,在面临应激因素时发生不良结局的风险显著升高的状态。本观点文章综合了与衰老相关的病理生理学证据,阐明了身体脆弱性(physical frailty)作为一种临床综合征表型的核心机制 —— 该表型有别于基于 “累积缺陷” 的脆弱性指数(frailty index)。研究重点整合了多方面的一致性证据,提出 “身体脆弱性是一种在很大程度上独立于慢性疾病的状态”:当多个相互关联的生理与生物系统(如代谢、免疫、神经内分泌系统)的调节失衡突破临界功能障碍阈值,导致内稳态(homeostasis)严重受损时,身体脆弱性便会显现。文章进一步阐释,脆弱性背后的生理机制本质上是一个 “严重失调的复杂动力系统”。这一概念框架意味着,相较于仅针对单一系统进行修复的干预手段,具有多系统调节效应的干预措施(如体育锻炼)在改善脆弱性方面更具潜力。最后,研究探讨了该框架如何推动未来研究 —— 通过深化对脆弱性的理解,优化其预防与治疗策略,进而有望维护老年人群的健康状态与机体韧性(resilience)。

核心图:本示意图构建了生理失调与身体虚弱的多尺度层级关系:顶层的临床虚弱综合征是微观机制涌现的宏观表现,其下由三大核心生理模块(金圈)支撑,每个模块包含若干子系统(橙椭圆);最底层的细胞分子尺度应激源(紫椭圆)驱动上层生理模块失调,这些跨尺度组件通过相互作用形成聚合性失调生理类型(深橙椭圆),最终关联顶层的虚弱表型及相关脆弱性。
报名读书会:「非线性动力学与混沌」
集智俱乐部联合北京师范大学张江科研组联和南信大李春彪科研组师生共同发起「非线性动力学与混沌」读书会,由师生共同领读《非线性动力学与混沌》,以分章节精读的方式,带领大家系统学习非线性动力学的基本理论与典型模型,结合洛伦兹系统、Kuramoto模型等经典案例,深入探讨混沌的起源、分形与奇异吸引子等前沿问题。
本读书会不仅读书,还会系统化地梳理本书中的重要概念,并整理为百科词条。也就是说,读完本书,我们会梳理出一套非线性动力学与混沌相关的百科词条,这才是重点。
我们也会通过梳理词条的方式,让学员组成学习小组进行比赛,最终会评出优秀学习小组获得复杂科学知识卡、汪小帆签名的《非线性动力学与混沌》、张江签名的《规模法则》、以及译者签名的《复杂-诞生于混沌与秩序边缘的科学》以及特色集智文化衫!
7. 重整化群与非线性物理,寻找复杂系统跨尺度的分析方法丨新课发布






