导语


大脑活动呈现的丰富时空活动模式,构成了其适应性行为的基础。理解大脑的千亿数量级的神经元和万亿数量级的突触是如何以灵活的方式产生如此多种皮层连接机制,仍然是神经科学中的一个基本问题。一个可能的解决方案指向了动态系统中产生涌现的复杂现象的普遍机制,尤其指向了复杂系统二阶相变的临界点。这篇综述文章回顾了支持“大脑自然地处于临界状态”这一观点的理论和实证研究结果,以及该观点怎样帮助我们更好地理解大脑。文章于2010年发表于Nature Physics,进一步拓宽了使用物理方法对神经复杂性展开研究的思路,目前引用量已经超过千次,启发了近年来诸多工作。

研究领域:神经复杂性,大脑临界性,神经动力学,涌现
Dante R. Chialvo | 作者
刘培源 | 译者

论文题目:
Emergent complex neural dynamics
论文地址:
https://www.nature.com/articles/nphys1803

目录

一、概要

二、定义问题

三、涌现现象

四、自发的大脑活动是复杂的

五、涌现的复杂性总是处于临界态

六、小尺度:大脑皮层的“地震”

七、大尺度:涌现的复杂性

八、总结与展望





一、概要




理解大脑无疑是物理学家面临的最具挑战性的问题之一。大脑作为一个具有天文数字量级的元素的系统,其中每个元素都具有大量的非线性特性。大脑展示出的集体动力学,在许多方面与统计物理中深入研究过的经典问题相似。然而值得关注的问题是,如今该领域中只有少数出版物将大脑动力学理解为一种集体过程。相反,大部分工作通过明确或隐含的连接主义范式来解释大脑。在我们看来,有必要反思和认识到,这些集体主义-连接主义观点差异不仅仅意味着语义上的差异,更重要的是,将大脑活动视为集体行为将是揭开一些更令人困惑的大脑谜题的关键。我们回顾了过去几年中关于复杂神经动力学涌现(emergent complex neural dynamics)的关键成果。需要从一开始就应该注意到,本综述自然会带着对所引用研究的批判;因此,这既不是一个公正、叙事精准、详尽的,也不是最新的相关文献综述。另一个注意事项是,作为跨学科交汇边缘处的主题,不论是物理学家还是生物学家,都会在他们最熟悉的话题上遇到乏味的段落。然而,为了清晰起见,并请读者谅解,我们将继续(甚至过度地)定义每个问题。




二、定义问题




理解人类行为和认知,需要描述清楚作为其基础的神经集体现象的规律,即大脑活动的时空模式。研究集体现象的形式化方法是统计物理的经典课题之一,近年来在遗传学、生态学、计算机科学、社会和经济领域等各个领域都取得了新的成功应用。尽管在所有这些领域中,统计物理的方法和思想都得到了明显的借鉴,但类似的学科交流直到最近才开始影响神经科学。

本文讨论的主要问题属于该领域中的“搁置问题”类别,即大量相互连接的神经元如何以灵活的、自组织的方式产生一系列特定行为。尽管有很多口语化解释,但当构建详细模型来解释这一问题时,问题中三个关键的组成部分都被系统性地违背了。要么是问题(1)——模型是所关注的神经结构的低维版本,要么是问题(2)——它只能产生单一行为(在系统中预设),因此造成问题(3)——它无法灵活地做其他任何事情。只有通过任意地改变神经元连接,大多数当前的模型才能执行一系列行为。这需要一种类似“辅助大脑”的机制,用于掌握和决定哪些神经元连接需要被重新布线。当然,目前还没有提供这种辅助大脑的证据,这就是一个迫切需要回答却鲜少被提及的问题。

出于各种历史和概念上的原因,我们对这个问题的方法仍然来自于连接主义范式,这种范式将神经动力学限制在只能通过连接产生,从而将我们的研究引导向了一个无效的方向。尽管集体属性已经被提及了很久,但对大多数人来说,它们的相关性仍然是次要的。即使是美国生物物理学家霍普菲尔德在1982年的开创性论文《神经网络和具有涌现集体计算能力的物理系统》中的呼吁,似乎也已被遗忘,这篇论文的观点可能被计算思想的吸引力和早期热潮所取代。“高等动物的大脑区域的许多结构,必须由大量具有明确功能定义的简单局部连接的扩展所构成。简单神经连接与更高级神经系统的复杂计算属性之间的桥梁,可能是由大量简单处理单元的集体行为中自发涌现的新计算能力。”




三、涌现现象




学界普遍认为,几乎所有宏观现象 ——从超导到引力、从经济学到光合作用——都是其微观组成部分的底层集体动力学的结果。在神经科学中,我们最终会将宏观行为(如认知、情感、运动等)理解为底层神经元集体所涌现出的现象。然而,神经元作为非线性元素的特性,使得这种理解并非易事。公平地说,虽然问题以生物学最熟悉的方式被提出,但解决方案则以物理学更熟悉的方式所呈现。

让我们回顾一下涌现现象是什么。涌现指的是大型复杂系统所展现出来的意料之外的集体时空模式。在这里,“意料之外”表明我们无法(不论数学还是其他方式)从描述系统各个部分动力学的方程中推导出这种涌现模式。正如相关研究详细讨论的那样,复杂系统通常是由相互作用的元素组成的大型集合体,每个元素都表现出某种非线性动力学。不深入细节,我们也知道相互作用也可以是间接的,例如通过某种平均场。通常,能量会进入系统,因此存在某种驱动力。这三个重点特征(即1.系统存在大量相互作用的元素;2.每一个元素的动力学是非线性的;3.系统中有能量输入,存在某种驱动力)是系统在某一点上展现出涌现行为的必要非充分条件。
只要每个单独元素的动力学是非线性的,其他细节就不那么重要;例如,这些元素可以是人类,受食物和其他能源驱动,最终形成某种集体政治或社会结构。无论涌现出何种类型的结构,如果上述三个重点特征之一缺失,这种涌现现象很可能不会出现。例如,已经确定少数孤立的线性元素无法产生意料之外的行为(实际上,这种情况下,一切都可以在数学上预测)




四、自发的大脑活动是复杂的




从一个世纪前的早期电信号记录中可以明显看出,即使在没有外部输入的情况下,大脑也会自发地保持活跃。尽管这个观察似乎很显而易见,但直到最近,大脑自发状态的动力学特征研究才开始取得明显进展。

近期对大脑小规模和大规模节律的研究表明,健康大脑的自发动力学并非完全由随机活动模式或周期性振荡构成。通过对无明确输入情况下神经动力学的统计特性进行深入分析,揭示了之前忽视的复杂活动模式,这些模式曾被视为背景噪声动力学。实际上,不论是通过头皮电活动(脑电图)、功能性磁共振成像(fMRI)技术、振荡活动同步化,还是局部场电位峰值的统计特征来观察,大脑活动始终在本质上是无节律的。

已经有多项研究指出,在健康状态下,大脑活动的各个时间尺度(例如神经元活动的频率、节律等)都是重要的,没有某种特定时间尺度的特征可以像平均数那样具有代表性。这就是所谓“1/f噪声”现象,即各种频率的神经活动强度与其频率的倒数成正比。这是一种典型的幂律分布,或称为无标度特性(标度即有代表性的特征尺度),在人类认知、人类活动、动物活动中均有体现。然而直到最近,大脑无标度动力学的起源才得到了充分的研究,这可能是由于无标度特性(也称标度不变性)在自然界中的普遍存在。目前,人们对此越来越感兴趣,并认识到对大脑自发模式进行重新解读至少有两方面的重要意义。自发模式的存在为大脑电路组织提供了重要线索,因为过去的理论很难解释这些新发现。此外,我们观察到的复杂动力学似乎赋予了大脑以前未被认识到的鲁棒性质。这些方面将在下一节中以两个不同的尺度进行回顾。




五、涌现的复杂性总是处于临界态




大脑中无标度动力学的普遍性,自然引发了我们思考物理学能否能解释产生这种动力学的一般机制。解释和生成自然界的非均匀性,涉及多种数学模型方法,但成功在不引入复杂方程的情况下创造出复杂性的尝试却寥寥无几。重要的是,将复杂性纳入模型之中只会导致对真实系统的模拟,并不能带来对复杂性本身的理解。最有意义的努力,是针对如何从非复杂元素之间的互动中引发出复杂性现象的条件进行探索。最初的灵感来自于相变和临界现象领域的研究(见框1)。确切地说,临界现象之所以独特,在于由简单元素的短程相互作用最终会产生长程时空相关的模式。因此,临界动力学已在物种进化、蚂蚁集体觅食、群体模型、细菌种群、公路网和互联网上的流量、宏观经济动力学、森林火灾、降雨动力学和鸟群形成等领域得到证实。同样的理论推断认为,大脑动力学的复杂性也只是另一种更底层的临界过程的显化标志。由于在临界相变点附近存在最多的亚稳态,大脑能以灵活的方式访问最广泛的行为模式库。这种观点认为,大脑的最基本特性只有在接近这种临界不稳定状态时下才可能存在(见框2), 而这并不依赖于达到或维持此状态的方式如何。

框1:处在临界态有何特殊之处?

鉴于大脑动力学可能呈现临界性的说法,这里回顾一下临界态的特殊之处。我们使用铁磁-顺磁相变的一般情景来帮助理解,但并不意味着大脑实际会通过这种方式达到临界态。当铁磁体被加热时,磁化强度会逐渐减小,直到在临界温度T c 之后达到零。在高温下,单个自旋方向会在小范围内不断变化。因此,表达集体行为的平均磁化强度消失。在低温下,系统将非常有序,展现出大片同向自旋的区域,这是一个在时间上变化上微乎其微的状态。在这两种均匀状态之间,在临界温度Tc处,系统在时间和空间上表现出截然不同的特性。磁化强度的时间波动被认为是无标度的。同样,相关自旋的空间分布显示出长程(幂律)相关性。只有当温度接近于Tc时,才会出现大的相关结构(最大可以达到整个系统的尺度),尽管相互作用只限于最近邻元素。此外,在Tc 时观察到磁化强度的最大波动。此时,系统处于最高的敏感度,一个单独的自旋扰动有微小但不为零的概率,引发一次能重塑整个系统状态的“雪崩”,这在非临界状态下是不可想象的。上述的许多动力学特性,一旦适当地转化为神经术语,就会显示出与大脑动力学的惊人相似性。目前已经认识到,神经调节物质通过作用于非特异性靶点,来全局性地改变大脑状态,即通过控制参数以影响大脑整体行为和状态,类似于控制温度来改变磁化。

图-框 处于临界点的复杂现象。二维伊辛模型的数值模拟结果显示了三个温度下(亚临界、临界和超临界),某一时刻的自旋构型。只有在临界温度下,系统才会呈现出二阶相变特征,显示出高度异质的相关域,而亚临界和超临界条件下则呈现均匀状态。



框2:进化意义上,为什么我们需要大脑?

我们今天所看到的大脑,无疑是那些继承了对生存有利的特质的大脑。我们可以提出这样一个问题:大脑演化到接近临界点,这与达尔文进化论的约束是否一致?简单来说,答案是肯定的:大脑应该处于临界状态,因为它们必须生存于某种程度上也是临界的世界中。让我们考虑其他可能性:在一个亚临界的世界中,一切都会简单而统一(如图1左侧所示),没有什么可供学习的;在这种情况下,大脑将完全是多余的。另一方面,在一个超临界的世界中,一切都会不断变化 (如图1右侧所示);在这种情况下,规律性不足,导致学习很难变得可能或具有价值。因此,只在复杂而临界的世界中,大脑才被需要,在这里仍然有机会让意料之外的事件发生。换句话说,动物需要大脑是因为世界是临界态的。此外,大脑不仅需要记忆,还需要遗忘和适应。在亚临界环境的大脑,记忆将冻结。在一个超临界环境的大脑中,模式会持续变化,因此无法形成长期记忆。为了对外界环境足够敏感,大脑本身必须处于一种介于两者之间的临界状态。

在大脑实验中,我们应该期待系统具有哪些处于临界态的一般特征?1. 在较大尺度上:皮层展现出空间和时间上的长程相关性,即不同区域或不同时刻的神经活动存在一定关联,而且这种关联没有明确的长度限制,即相关长度发散;皮层的磁化强度接近为零,即大脑神经活动的正向和反向的信号几乎达到了平衡状态,皮层存在着反向关联。2. 在较小尺度上:皮层连接回路展现出神经元雪崩现象,这是遵循幂律统计以及长程相关性的的活动级联。3. 在行为层面上:适应性的人类行为应该是突发的,看起来不稳定,因为它总是处于“崩溃边缘”。终身学习不断“提高门槛”,以应对更具挑战性的任务,使得大脑表现处在临界态。




六、小尺度:大脑皮层的“地震”




Beggs和Plenz首次提供了令人信服的证据,表明神经元群体可以展现出临界动力学。他们首次描述了一种被称为“神经元雪崩”的大脑皮层电活动。这些集体神经元模式位于两种先前已知的皮层模式之间:一种是振荡或波状的高度同步活动,另一种是异步和不连贯的尖峰放电。通常,每个雪崩涉及可变数量的神经元。奇特的是,这些雪崩遵循的统计模式破局特色。平均而言,我们观察到的小型雪崩远多于大型雪崩(例如,每个神经元雪崩有很大的概率只涉及几个神经元,并且有极低的概率扩散并激活整个皮层组织(见图1))。在这些实验中,估计了一些暗示临界性的属性。其中包括雪崩大小的无标度分布,遵循一个指数近似为3/2的逆幂律,这与之前由Zapperi和同事们提出的临界分支(critical branching)过程理论的预期完全一致。雪崩的持续时间统计也遵循了一个指数近似为2的指数幂律,这与级联活动理论的预期相符。

图1 神经元雪崩是复杂的。在成熟的皮层培养网络中,神经元雪崩的大小分布遵循接近3/2的幂律(虚线表示),并显示出有限尺度缩放。图示为覆盖指定数量电极的雪崩观察到的相对概率,针对三组网格尺寸(插图中n=15、30或60个感应电极,等间隔200微米)。统计数据源自总共70小时的数据记录,每小时累积约58,000(±55,000)次雪崩(均值±标准差)。


雪崩的初始标度不变性(即无论观察的尺度如何,该现象的基本特征始终保持一致)这一观察结果,已经在其他研究实验中得到了重复验证。此外,在各种不同的环境中也报道了类似的发现,包括活体的猴子皮层和成年猫。此外,雪崩的功能意义在于它们在皮层表层发育的最早阶段就被观察到,这需要神经调节物质(多巴胺)的存在以及兴奋性和抑制性传递之间保持一定平衡。

尽管模型构建工作正在进行(见框3),但导致观察到的无标度雪崩现象的精确神经机制尚未确定。因为除了临界动力学之外,还可以通过其他几种机制产生类似的统计结果。然而,目前尚未出现任何令人信服的替代实验分析或证据。最近报道的数值证据表明,非临界的其他替代理论方案给出的逆幂律指数比实验观察到的 3/2大一个数量级(>20)。

关于雪崩起源的讨论中,一直以来的难题在于,只能复制出其大小或持续时间的概率密度。然而,如果分析其他不变量,这场讨论可以置于更严格的背景下。在这方面,最近的研究结果提供了新证据,表明神经元雪崩具有五个与临界性相符的基本特性。这些特性是:
(1)触发事件和雪崩本身的动力学之间的时间尺度分离(这通过雪崩大小和时间长度的逆幂律在慢化(slow driving)中保持不变所证实)
(2)尽管雪崩频率波动巨大,但雪崩大小的统计保持稳定,排除了非齐次泊松过程;
(3)大型雪崩前后的雪崩概率遵循地震学中的大森定律(主震发生后余震频率随时间衰减的规律。根据大森定律,余震发生的频率与时间的倒数成正比)
(4)大型雪崩后的平均雪崩大小以逆幂律衰减;
(5)雪崩的空间扩散表现出分形特征。
 
总体而言,这些结果支持了“神经元雪崩是大脑临界性表现”的观点,并在某些情况下,明确排除了文献中讨论的大多数非临界的替代理论机制。

框3:模型。

在小尺度上,已经提出了一些明确的模型,其中临界性可以通过某种形式的赫布学习或包含活动相关抑制性突触来自组织。一些之前未知的由临界性赋予的特性也已经被研究,例如Kinouchi和Copelli展示的最宽泛的动态范围和对感官刺激的最佳敏感度。关于学习,de Arcangelis和Herrmann在扩展Bak和Chialvo早期网络模型的基础上,发现神经活动的雪崩模型能够塑造具有复杂连接性的网络,并学习逻辑规则。这些模型的一个缺点是缺乏持续活动,而这是大脑的一个重要特征。Marro等人的网络模型涵盖了这一方面,表现出自发的不稳定动力学和非平衡态,其中全局活动在吸引子之间不规则地游走,导致系统陷入最不规则的行为时产生1/f噪声。在大尺度上,尽管现在有了高时空分辨率的大脑数据集,但没有模型能够模拟如此大尺度上的相变。然而,正如近期对功能性磁共振成像静息状态建模的尝试所展示的,研究者正在应对构建数据的驱动模型所带来的挑战。




六、大尺度:涌现的复杂性




在中观尺度上,可能与行为相关模式的首份研究报告是由Kelso等人进行的脑成像分析,他们继续追踪此前的观察,发现人类手部运动在增加循环频率时会出现突然相变。他们利用磁图脑电(magneto-encephalographic)技术展示了人脑神经磁场模式的自发转变。这些转变发生在系统性变化的行为参数的临界值上,支持“大脑是一个能够灵活地从一个连贯状态切换到另一个连贯状态的的模式生成系统”这一观点。在早期研究中有类似的考虑的关注,例如有评论称:“总之,人类的高级大脑功能,如感知、学习和目标导向运动,通常被假设为依赖于集体动力学,而这种动力学分布在皮层中的大量相互作用的神经元中。但典型的合作现象无法通过对单个神经元的研究获得。” 另一方面,从非平衡系统的研究中我们知道,在临界点附近,空间和时间模式会以所谓的自组织方式形成。

为了能够快进到当前进展,我们必须需要省略大量研究工作。现在学界已经认识到,大脑正在自发地创建和重塑复杂的功能网络,以应对各脑区之间的神经交流活动。近期,人们使用功能性磁共振成像对这些网络进行了研究。这一领域的研究活动相当繁忙,“对解剖和功能皮层网络组织的大量现有数据进行研究讨论,就像‘往纽卡斯尔运煤’一般。”许多详尽的综述涵盖了越来越多用于分析这堆庞大复杂数据的统计物理方法。

为了本文的目标,我们将注意力限定在自发的“静息状态” 功能性磁共振成像动力学研究。大脑的“休息”被定义为无明显大脑输入或输出,或者无显著外部刺激的状态。受试者闭眼躺着进行扫描,被告知避免入睡。从这些实验中获取到的成千上万个信号(称为BOLD,代表血氧水平依赖),每一个都反映了一个典型小区域(约十几立方毫米)的神经活动量,使我们能够描绘出整个大脑的活动。图2中展示了一个序列作为例子,由于图形限制,只记录了众多切片中的一部分。细致观察数据后,似乎已经存在重要的时空相关性,类似于云层变化过程中捕捉到的图像。有趣的是,通过相对简单线性交叉相关分析BOLD信号时,会出现一些集体群落。图2底部所示聚类就证明了这一点,它们与响应各种不同激活条件下相同区域高度匹配。因此,在静息状态下,“流动的云”(即集体的时空动力学)会激活所有在给定的主动行为期间激活的脑区。这些发现的相关性进一步强调了一个事实,即这些网络在不同受试者之间具有显著一致性,甚至在睡眠或麻醉期间也是如此。

图2 大尺度涌现的脑网络。通过对自发活动的人脑时空模式中的相互作用进行分析,揭示了涌现网络。顶部图像序列以红色/蓝色显示了4分钟连续大脑休息期间相对于平均功能性磁共振成像 BOLD的增加/减少(单个受试者的连续数据,从左上角开始,每行为1分钟,图像间隔为2.5秒)。底部图像是计算网络内小区域活动与整个大脑之间线性相关性的结果(最亮的颜色表示最强的相关性)。这些网络对应于大脑的六个主要系统:视觉、听觉、感觉运动、默认模式、执行控制和背侧注意力。所表示切片来自蒙特利尔神经研究所,坐标为顶部序列的z=18,底部图像从左到右为z=0,8,44,24,26,44。


一个自然产生的问题是,这些大脑休息模式对应的是何种已知的动力学场景。这个问题最初在三篇近期的报告中得到了探讨。在第一篇报告中,Kitzbichler等人分析了正常志愿者在休息状态下使用功能性磁共振成像和脑磁图记录的数据,利用不同空间位置之间的相位同步。他们发现两个大脑区域平均保持锁定状态的时间长度遵循一种无标度分布。这种分布也在Ising模型和Kuramoto模型的临界状态下出现。

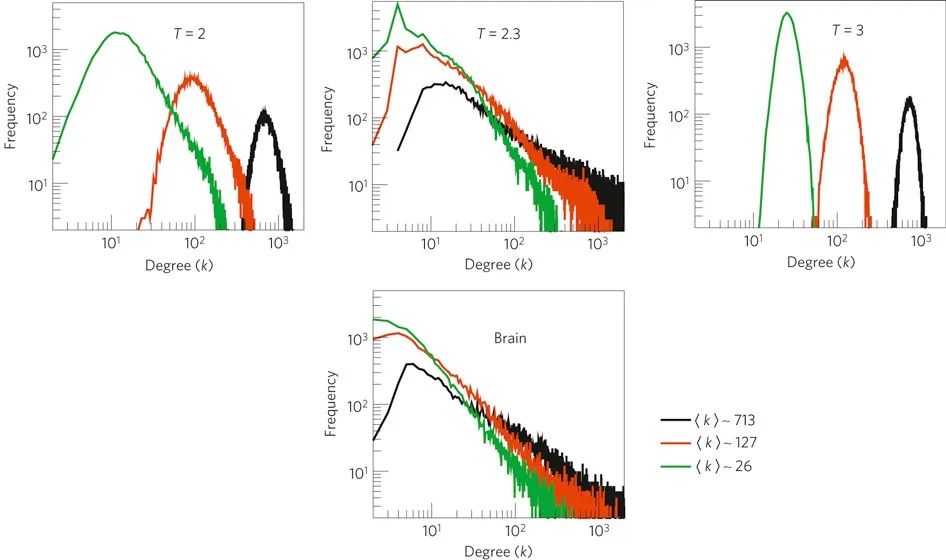
在第二篇报告中,Fraiman等人将典型的二维Ising模型在各种温度下与休息状态大脑数据进行了比较。他们通过计算所有格点上的Ising状态间的互相关,构建了相关网络,并在相关系数超过一定阈值时,在这些点(节点)之间建立连接。对于大脑功能性磁共振成像数据,也进行了相同的计算。在比较最具描述性的网络特性后,作者们得出结论:虽然亚临界和超临界温度下的Ising网络与大脑网络有很大不同,但在临界温度下产生的网络与大脑网络“无法区分”。图3显示了其中一个进行对比的特性——这些网络连接数量(即度)的分布。可以发现,在大脑数据中存在厚重尾部(幂律分布的一个特点),只有当Ising模型处于临界温度时才能复现这种现象。此外,计算具有正负相关性位置所占比例(一个与磁化相关的变量)表明数值接近一,这与此前研究一致,该结果将此平衡视为静息状态下健康大脑功能的指标。总体来说,这些结果显示,从人类大脑的功能性磁共振成像信号中得出的相关网络,与从临界温度下Ising模型中提取的网络无法区分。

图3 从脑部功能性磁共振成像(fMRI)数据中得出的复杂网络仅在临界温度下与Ising模型相似。图示为来自fMRI大脑休息状态数据(底部图例)和在温度T=2、T=2.3和T=3时的Ising模型(顶部三个图例)在不同平均度值下的网络度(k)分布。


第三篇报告旨在揭示静息状态下功能性磁共振成像动力学机制,作者是Expert等人。他们研究了在空间粗粒化——一种临界现象中广泛使用的重整化技术——连续步骤后的两点相关函数。研究结果表明了空间自相似性,再加上功率谱在时序上频率呈1/f行为,这都意味着临界动力学的存在。

从最初的功能性磁共振成像研究以来,我们已经取得了诸多方法进展,利用这些方法可以评估正常与病理条件下(包括阿尔茨海默病、精神分裂症和癫痫)的脑功能完整性。甚至长期慢性疼痛的影响似乎超出了疼痛本身的感觉,这进一步激发我们去更深入理解大脑静息状态下,大尺度自组织结构背后的基本机制。

我们已经回顾了近年来关于神经动力学中集体复杂性涌现的关键成果。值得注意的是,至今还没有一种理论(以文章开头段落的标准)能在不引入临界性的情况下全面解释这些结果。神经科学寻求理解控制其他复杂系统的物理定律,其动机之一是期望这种普适性能给予该领域优势。与“假装生物学有其特殊性,为大脑寻找特设规律”的观点相对,对普遍原理的深入理解可能会带来突破,因为大脑必然遵循一些基本的自然规律。过去十年与当前的一个主要区别在于,我们现在有了用以检验理论的时空大脑数据:这是一个等待物理学家接受挑战、揭示集体行为底层机制的未开垦之地。




八、总结与展望




至此,我们已经回顾了近年来关于神经动力学中集体复杂性涌现的关键成果。值得注意的是,至今还没有一种理论(以文章开头段落的标准)能在不引入临界性的情况下全面解释这些结果。神经科学寻求理解控制其他复杂系统的物理定律,其动机之一是期望这种普适性能给予该领域优势。与“假装生物学有其特殊性,为大脑寻找特设规律”的观点相对,对普遍原理的深入理解可能会带来突破,因为大脑必然遵循一些基本的自然规律。过去十年与当前的一个主要区别在于,我们现在有了用以检验理论的时空大脑数据:这是一个等待物理学家接受挑战、揭示集体行为底层机制的未开垦之地。


计算神经科学读书会


人类大脑是一个由数以百亿计的神经元相互连接所构成的复杂系统,被认为是「已知宇宙中最复杂的物体」。本着促进来自神经科学、系统科学、信息科学、物理学、数学以及计算机科学等不同领域,对脑科学、类脑智能与计算、人工智能感兴趣的学术工作者的交流与合作,集智俱乐部联合国内外多所知名高校的专家学者发起神经、认知、智能系列读书会第三季——「计算神经科学」读书会,涵盖复杂神经动力学、神经元建模与计算、跨尺度神经动力学、计算神经科学与AI的融合四大模块,并希望探讨计算神经科学对类脑智能和人工智能的启发。读书会从2024年2月22日开始,每周四19:00-21:00进行,持续时间预计10-15周,欢迎感兴趣的朋友报名参与,深入梳理相关文献、激发跨学科的学术火花!



详情请见:计算神经科学读书会启动:从复杂神经动力学到类脑人工智能



推荐阅读

1.  前沿综述:大脑复杂自适应动力学的神经调节控制
2. 复杂神经动力学:分析与建模
3. 神经动力学模型新进展:神经元自我调节增加信息传递可靠性
4. 张江:第三代人工智能技术基础——从可微分编程到因果推理 | 集智学园全新课程
5. 加入集智学园VIP,一次性获取集智平台所有内容资源
6. 加入集智,一起复杂!



点击“阅读原文”,报名读书会