PRL速递:高阶时序网络的渗流与拓扑

关键词:高阶网络,隐藏变量框架,渗流,拓扑


论文题目:Percolation and Topological Properties of Temporal Higher-Order Networks 论文期刊:Physical Review Letters 论文地址: https://journals.aps.org/prl/abstract/10.1103/PhysRevLett.132.037401
网络科学常通过节点和边的关系图来描述系统中的交互关系。传统的网络模型在描述涉及复杂系统中的非成对交互时存在局限,如科学家合作网络、复杂生化反应系统、脑网络等。为了更准确地捕捉这些系统的结构和动力学行为,研究者们将目光投向了高阶网络模型。
隐藏变量框架(hidden variable framework, HV)理论是统计建模的有力工具,已被广泛应用于一阶生成过程,如将网络映射到嵌入空间;HV形式理论在普通网络中的应用已经取得了显著的成果,已被应用在存在结构相关性的网络、时变网络、存在内在相关性的网络等等。这一框架通过引入未观测的变量,可以更好地解释模型中的复杂结构和潜在关系。然而,对于高阶网络的研究,尤其是高阶活动驱动模型(higher-order activity-driven model,HOAD),隐藏变量框架的应用还相对较少。
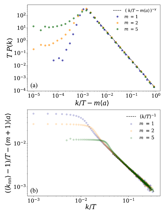
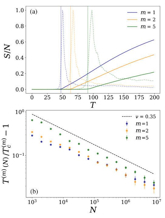
最近发表在Physical Review Letters的这篇文章提出将隐藏变量框架应用于高阶活动驱动模型。在传统的网络模型中,活动往往指的是节点之间的两两交互。而在高阶活动驱动模型中,不仅考虑了节点间的成对交互,还考虑了多个节点之间的高阶交互,即超图的结构。 他们研究了系统的连通特性,并得到了极限条件下的解析表达式。此外,研究者还提供了关于高阶系统中渗流时间的估计。
这项研究为我们提供了一种全新的视角,来理解复杂系统中高阶交互的动态演化。通过将隐藏变量框架引入高阶活动驱动模型,我们能够更准确地建模系统的结构,揭示出隐藏在复杂网络背后的潜在规律。这不仅对网络科学领域具有推动作用,还在社交网络、药物设计、生物学等领域显示出广泛的应用前景。通过对高阶活动驱动网络的深入理解,我们可以更好地预测系统的动态行为,为未来的网络科学研究和实际应用提供新的方法和思路。



高阶网络社区
详情请见:
点击“阅读原文”,报名读书会






