集智俱乐部「复杂系统管理学」读书会第二季生态型组织进化中,云南财经大学企业管理专业在读博士常易从古老的政治哲学出发,探寻中心化与去中心化的来龙去脉;结合管理经典理论,分析DAO在组织治理中的缺陷及成因;基于大众心理的群体非理性,反思自组织的局限性和领导力的必要性;最后提出组织治理“去中心化-高效决策-唯一共识”不可能三角。
集智俱乐部「复杂管理学读书会第三季」邀请同济大学组织仿真中心主任陆云波,东华大学教授荣智海,以及产业界复杂科学推动者、树兰医疗集团总裁郑杰,北大纵横合伙人陈雁鸿共同发起。新的一季读书会聚焦在自组织、多主体模拟、创新型管理、网络等方向,分享复杂系统管理领域的前沿理论、经典科普图书,旨在促进学术交流、知识分享以及跨领域合作,共同探讨复杂科学理论在复杂系统管理场景的应用、实践与展望,一起应对复杂多变的人类发展未来。这是集智俱乐部的第一个全国性线下读书会,从2024年4月20日开始,每周六下午3:00-5:00,预计持续10~12周,期待您的积极参与,和我们一起知行合一,践行理想!
1.1 静态视角下的去中心化
1962年Baran《关于分布式通信网络》将网络结构划分为中心化、分布式,去中心化介于两者之间:一个“较大星形所连接的一系列星型层级结构”。
去中心化不等于没有中心。去中心化融合了中心化与分布式的特征,它不存在唯一一个中心。去中心化应视为一种状态表示“非集中式”。
去中心化不等于分布式。中心节点可能存在于前者而必不存在于后者。如图1所示,b只是相对a而言缺乏单一中央权威的控制,c则没有任何中心节点。去中心化未必是分布式,但分布式一定是去中心化。
1.2 动态视角下的去中心化
分布式到中心化:恒星系形成——分散的物质因重力聚合成一个有序系统。中心化到去中心化:恒星因能量耗尽导致爆炸、星系消亡——从聚合到分散的过程。
人类社会遵循“分久必合,合久必分”历史规律。东周式微诸侯称王可视为中心化到去中心化;秦朝统一,可视为去中心化到中心化;此后的历朝更迭可引申为中心化与去中心化的循环往复。
动态视角下的去中心化可理解为系统中各元素的离散趋势。作为一个动词,是把中心拿掉或者把大的东西打散成小的东西。
1.3 制度视角下的去中心化
权力主体不同。福柯指出,“在人口问题涌现之前,只能在家庭模式基础上,根据被理解为家庭管理的家政学来想象治理艺术。”两种家庭模式:父权模式:丈夫对家庭决策具有绝对权力,有且仅有一个决策中心;平权模式:夫妻双方独立工作并对家庭决策具有平等权力,双方共同商议和经营。
专制和民主常被用于区分国家制度。崇尚人文精神的雅典开辟了早期民主制,最高权力机构是公民大会;尚武好战的斯巴达则以军国主义和寡头政治闻名,最高权力由长老会把持。雅典倾向于去中心化,斯巴达倾向于中心化。
国际关系领域,中心化的模式叫强国模式,常见于强国和精英主导的国际组织,以倡导者为核心,将自身偏好的解决方案推向接受者的、由内向外的理念传播模式;去中心化的模式叫弱国模式,认为规范并非单向投射,而是在社会互动中产生和维持,更强调弱小的边缘行为体在规范生成过程中所发挥的作用。
1.4 思潮视角下的去中心化
基于对巨头公司数据所有权垄断、对私人信息侵占和大数据杀熟、掠夺行为不满,开拓者们认为数据也是一种财产,所有权应该归创造者所有,web3.0由此而生。区块链作为其底层架构,去中心化以多种形式反映在其表征层。虚拟货币、去中心化金融(DeFi)、去中心化自治组织(DAO)等新概念纷至沓来。web3.0与其说是技术革命,不如说是一场强调个体权益、对抗寡头统治的社会思潮。去中心化更近乎一种反垄断的价值观和政治理念。
总之,静态视角下攻击中心化的通信基站能让通信网络瘫痪,去中心化和分布式的网络更安全;动态视角下的去中心化跟中心化其实是一个循环往复的过程;制度视角下的去中心化讨论了权力主体和制度生成两个核心;思潮视角下的去中心化强调反垄断,一种新思考。
企业在历史上并非凭空出现,其思想和理论渊源与政治学密不可分。企业家关注“如何让公司发展得更好”,政治家关注“如何让国家发展得更好”, 许多大型、跨国企业治理比国家治理复杂。
2.1 权力与组织形式
崇尚专制的斯巴达击败民主自居的雅典原因何在?有研究认为雅典混乱失控的民主政治是失败的重要原因;斯巴达寡头政治的稳定性与延续性保证了国家政策的贯彻执行,在战争中发挥了高效率优点。战国时期,苏秦合众弱攻一强,张仪事一强攻众弱,最终天下归秦一统。斯巴达与秦国相似:国家制度以军事专政为主,外交以本国为主导,战略上采取远交近攻逐个击破方案,最后中心化取得胜利。
柏拉图提出一个城邦始终会在哲人政体、荣誉政体、寡头政体、民主政体和僭主政体间往复循环,划分标志即“一个人统治、少数人统治和多数人统治”。亚里士多德对不同政体划分为:(1)权力归个人所有——君主制/僭主制;(2)权力归少数人所有——贵族制/寡头制;(3)权力归多数人所有——民主制/暴民制。
现代企业延循了同样的划分思路。(1)权力归个人所有——独资制(投资者对企业债务负无限责任);(2)权力归少数人所有——合伙制(合伙人对企业债务负连带无限责任);(3)权力归多数人所有——公司制(股东以其出资额为限对公司承担有限责任)。独资制对应的是君主制或者僭主制,合伙制对应的是贵族制和寡头制,而公司制对应的是民主制和暴民制。
2.2 制度与组织结构
个体劳动者和作坊式的手工业组织分工和流程相对简单,基本没有结构设计问题。
周朝采取分封制,把权力分给诸侯国,属于分布式结构;秦朝采用李斯提出的郡县制,建立中央集权政府,授权不分权;更新国家管理系统,确立了“三公九卿”的中央行政体制,以行政为主导的行政、军事、监察三权分立,下设36郡县和配套的基层管理机制(乡亭里制)。
中央行政机构遵循专业化分工和统一指挥原则,地方行政体系遵循控制幅度原则,基本符合部门化和层级化原理。中央集权制高效稳定,逐步演变为“三省六部”并沿用千年。

现代企业制度和封建官僚体系有诸多共性:(1)独裁制对应作坊式的独资公司,师傅(即老板)拥有绝对权力并直接管理每一个人;(2)郡县制对应有限责任公司,在所有权与管理权分离的基础上,老板需要向下授权并间接管理员工;(3)分封制对应大型集团和上市公司,通常采取股份有限制,每个子公司都有独立法人资质,母公司的控制权相对有限,权力更分散。
公司制在管理上更偏向于去中心化,它介于独资制的“专权”和股份制的“分权”之间而选择了“授权”。
2.3 组织规模与生命周期
古罗马起于民主、盛于独裁,衰于共治、终于分裂,权力主体的演变可视为“去中心化-中心化-分布式”的过程。
从动态角度,企业的成长演化过程有生命周期特征,每一阶段都会伴随结构性与制度性变化,其规范化、集权化、复杂化、结构化程度与组织规模息息相关。
最早期的时候生产资料分布在自然界各地,市场能够将分布的生产资料集中再交易,企业能够将分布在市场中的生产资料集中再生产,这是从分布式到中心化的过程。当企业越做越大就形成了官僚体系,稳定期官僚制最高形式是中心化的金字塔结构,但是最后企业因僵化或不适应环境衰退而消亡,这是企业从诞生到衰亡的先中心化后去中心化过程。
企业开展数字化管理,是传统管理方式与新兴技术耦合的过程。但研究表明企业数字化投入和产出效率存在倒U型的非线性关系,且投资临界点在100至200万元之间,花费超过临界点才有收益,否则就赔。广大中小企业不要太迷信数字化管理。区块链作为新兴技术的重要基石,其去中心化的本质可能会与前者发生冲突。
3.1 区块链和DAO
DAO是以太坊创始人Buterin在去中心化自治企业(DAC)基础上提出的概念,本质仍是一群具有共同目标的人形成的组织。DAO中没有单一的领导或中央控制、正式的管理层级,采用的是去中心化的管理模式,通过智能合约技术自动运行,并将链上机器治理和链下人类治理相结合,实现人机共治。
创建DAO与成立公司非常相似:其一,创始人有明确的动机和目标,并将相关规则、技术路线、投资计划等撰写为“DAO白皮书”;其二,开发人员把白皮书中的内容编码为智能合约后再部署到区块链上,发布相应的代币;其三,认同组织愿景的人通过购买代币成为DAO的成员;其四,组织规则通过智能合约自动履行,成员通过协商与投票的方式集体决策。
从组织结构上看,DAO基本符合Baran对去中心化网络结构的描述,与公司组织图在数学上等价,但DAO不等同于公司制。公司内部存在单一领导(老板)或中枢机构(董事会),顶层决策需要自上而下的控制链去完成。DAO的创始人对其他成员没有控制权。
当DAO资产和成员数量达到相当规模时,出现寡头—散户分布和大股东垄断情形。分析deepDAO排名前十的股权分布发现,无一例外形成了寡头政治格局,马太效应十分明显,是典型的中心化局面,远远超过了常见的有限公司包括上市公司,完全背离了去中心化的初衷。
3.2 拜占庭将军问题和绝对控股
组织要通过集体行动达成目标需以统一决策为前提,“少数服从多数”投票是最常见的决策方式。公司和军队决策往往是自上而下的。DAO的决策是自下而上涌现的,每个成员都可以发起投票,得到多数人的响应就成为集体决策。
DAO集体决策涉及到区块链共识机制:拜占庭将军问题。假设一群拜占庭将军带兵驻扎在敌城周围,依靠信使通讯,必须就作战计划达成共识——超过半数同意进攻都必须进攻,撤退同理。但存在叛将传递假消息混淆视听,阻止忠将达成共识。衍生出来的概念就是拜占庭容错率:最多能够容忍多少叛徒而不影响决策一致性。数学证明拜占庭容错率是33%,也就是能容纳33%的叛徒,超过33%决策就不一致了。
中本聪引入工作量证明机制 (Proof of work),让网络中每一个互不相干的节点相互验证,进而产生信任并达成共识。在POW机制作用下,分布式系统的拜占庭容错率从33%提高到51%,要掌控比特币必须掌握51%的算力;但此时背叛的诚实收益将会高于破坏收益。
拜占庭将军问题在公司经营中有3个关键数字:股权分配时绝对控股(67%)、相对控股(51%)和一票否决(34%)。
3.3 云计算与算力垄断
从市场看,云计算是典型的资本×技术密集型行业,一旦形成规模优势就会发展为寡头市场,国内6家云厂商占据78%的市场份额。当绝大多数企业通过租赁“让渡”了服务器的所有权并将数字资产上传云端,云计算便会成为整个互联网的基础设施,出现中心化格局。头部厂商将聚集海量服务器集群,技术水平越先进、服务价格越低廉,普通企业自持服务器的代价就越高。从技术角度看,云计算属于分布式计算的范畴,突破集中式计算的算力限制,同时为多个用户按需提供计算资源。云计算技术上的去中心化和市场上的中心化是一个很矛盾但又很自洽的。
1.管理者。管理者是“通过协调和监管其他人的活动以达到组织目标的人”。DAO没有被管理者,每个人都是所有者、管理者和执行者,成员共同管理组织。DAO是去中心化的,公司管理者是中心化的。
2.决策。DAO的集体决策适用于对新提案的投票,方案有的与两千年前的雅典公民大会别无二致;有的将投票权委托给少数投票代表;有的与股权直接挂钩,导致投票成为“富人游戏”,有的为避免巨鲸垄断话语权,开始尝试“二次方投票”。DAO的投票制度关注“机制本身是否民主”。公司开会是为了解决问题,决策并非以民主为前提,无需考虑“老板跟所有员工开民主大会商议如何投票更公平”。
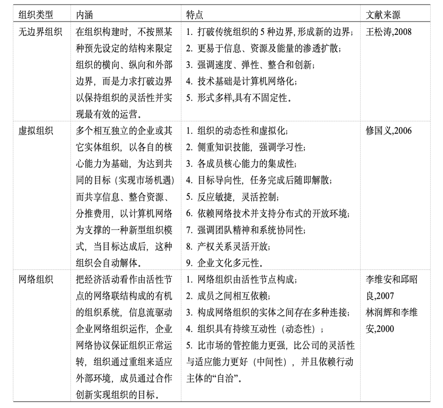
3.组织。无边界组织、虚拟组织、网络组织提出时间较早,特点跟DAO没什么区别,是学术圈提出的理想化的产物,但是在商业实战实践中行不通。
4.领导。领导者可以通过正式任命的方式出现,也可以从群体中自发产生出来。DAO中直接民主制导致选民参与度较低,具备某方面专业能力和感召力的个体有可能成为社区的关键意见领袖(KOL),这等同于公司中的非正式领导者,可能在DAO里边不是大股东,但是有很大的影响力。
4.1 委托代理问题
委托代理问题。由于信息不对称或利益冲突,代理人通过资源不当配置等行为侵害委托人的利益,这叫委托代理问题。DAO没有委托代理问题。
DAO的用户只需同意遵守公开声明或购买代币就能加入,没有公司制所具备的成熟的人力资源管理体系,意味着很难基于专业化分工建立竞争优势并甄选出有管理才能的人。因此在“管理的专业性/独立性”和“去中心化”之间,DAO将面临两难选择。DAO的所有权和管理权合并,不一定是好事。
4.2 投票悖论
民主制度的经典问题是诞生于18世纪的孔多塞投票悖论,即多数原则没有产生可传递的社会偏好。DAO的投票方式可能导致最终投票失效。
广义上说,无论直接民主还是代议制民主,多数原则本身无法回答社区真正想要什么结果,在数学上也严格证明世界上不存在一种完美的投票制度。
4.3 低效决策和分散共识
通常情况下,“x个人基于y个因素从z种方案中选择一种”问题可用多属性群决策求解,该方法常见于多位专家打分评估。DAO的决策者并非专家,而是所有人基于所有信息共同决策。DAO面临的是“300个闺蜜基于80个因素在40个餐馆中选择一家”,DAO的决策低效。
“有限理性”原则认为决策者在识别和发现问题时容易受到知觉上的偏差影响。决策人能够处理的信息有上限,超过了很难做决策。当信息收集成本大于决策收益、难以制定全部备选方案、更多的信息情报意味着更长的决策时间等问题出现,对现实中时间敏感型问题,DAO的决策机制很难保证所有人对所有信息的讨论能在时间约束下求出最优解。
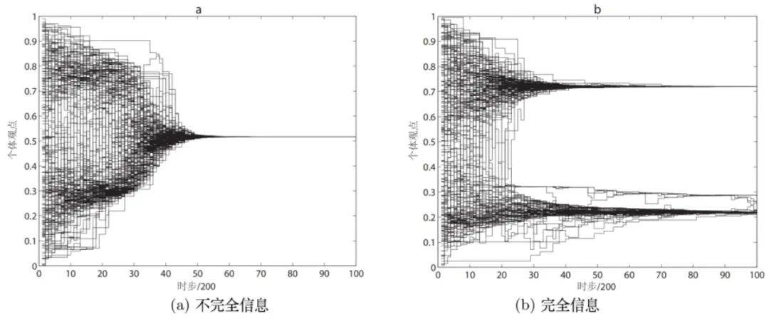
消除信息不对称是否利于组织更快形成共识?一个有力的证据来自对连续观点演化博弈模型的仿真实验。蒙特卡罗仿真的结果是,不完全信息系统演化观点集中、宏观簇的规模更大,比完全信息系统收敛速度更快、更容易达成共识。对于一个组织来说,不能达成共识,意味着这个组织什么也干不了。
信息不对称本身是中性的,不存在绝对的好坏之分。基于“信息不对称是不好的”假设不一定成立。国家跟国家之间的博弈,企业跟企业之间的竞争都充满了信息不对称。信息不对称,在真实的商业环境里边是企业或者一个组织的护城河。捐款、企业纳税需要监督等不存在博弈的地方,用区块链公开透明可信度更高,也有助于提高公信力。区块链是公开透明的,所有人都能看见,但是市场行为是博弈行为,一旦竞争对手知道区块链上的信息,反而是劣势。

4.4企业家精神 V.S 乌合之众
从管理职能的角度看,去中心化的核心问题是领导者能否被取代?DAO的决策优势在于群体智慧决策能够突破传统组织中的个体智慧瓶颈,但这是建立在“集体智慧优于个体智慧”的假设之上。一个批判性的视角表明,作为一种稀缺的内在禀赋,企业家精神并非人人拥有。
自身发展壮大和所在外部环境变化是组织变革的动机,但涉及到权力和利益的洗牌,充满了不确定性,会遭到员工反对。企业家要有极强手腕,极高念力,力排众议推动组织变革,这个时候企业家精神是不可或缺的,真理站在少数人一边。
大众心理学承认群体非理性。勒庞认为个体孤立存在时具有鲜明的个性化特征,融入群体后很快就会被群体淹没,取而代之的是普遍的从众心理;群体通常在智力上低于个人。心理实验表明,当被试者单独回答问题时正确率约99%,而当他与其他人一起回答、且其他人故意回答错误并先于他时,正确率会降到65%。当个人与乌合之众联结时的决策是不会有效率的,劣币驱逐良币。
通过以上分析,可以梳理形成七个要点,提出组织治理“高效决策—唯一共识—去中心化”不可能三角:
①合并所有权和管理权的代价是丧失管理职能的专业性和独立性;
②基于代币份额的投票本质上是money talks,结局必然是寡头政治格局,普通成员的参与度和影响力很低;
③2/3投票阈值和少数服从多数原则均受限于投票悖论;
④直接民主转向代议制民主意味着DAO将出现中心化,决策权由股东大会让渡到少数人组成的董事会;
⑤决策者的信息数量过高时会增加沟通成本、降低决策效率,完全信息状态下群体需要更长时间形成共识,且不一定能收敛到唯一共识;
⑥集体智慧不一定优于个体智慧,群体非理性也会催生从众心理,去中心化的代价是丧失企业家精神;
⑦受限于区块链的技术缺陷,DAO仍存在系统性风险和安全隐患,同时在法律承认和伦理问题上有很大争议。
如果要同时保证去中心化和高效决策,做不到唯一共识;要在短时间内做出一个决策,可能会出现好几个共识,方案不止一个;如果是去中心化和唯一共识,不可能高效决策;如果要做到高效决策和唯一共识,是不可能去中心化的。现在的企业既要高效决策,又要拿出一个方案来,那一定是老板说了算,不可能去中心化。在不可能三角下,如果强调去中心化,必然要牺牲一个,愿意牺牲哪个取决于目的是什么,要么低效,要么多共识。
去中心化作为web3.0的原生属性,迟早会与工业时代延续至今的中心化管理发生碰撞。企业实践应注意以下两点:其一,不是所有企业都适用于去中心化技术;其二,企业数字化管理是否需要考虑去中心化,应视自身所处行业和发展阶段而论。
去中心化更适合互联网及信息技术产业。规模优势理论表明生产资料集中可以降低边际成本,故企业在发展初期大多选择中心化策略;随着产业聚集和平均成本上升,企业在发展后期或因规模不经济“倒戈”去中心化策略。网络公司在生产虚拟商品时更依赖人的创意而非工业原料,去中心化策略因其灵活性和公平性而有利于发挥个体的自由度和创造力,但在发展后期又会显现出典型的中心化特征。
客观来说,中心化与去中心化是一组相对概念,没有绝对优劣之分。尽管web3.0的初衷是构建一个去中心化的网络世界,但现实中的“ABCD”技术都在向中心化的方向发展。目前看来,上述领域基本未见完全竞争市场,反而催生了少数科技和资本巨头的“垄断式创新”。
DAO类似于古希腊广场政治,是对早期管理思想和古典决策理论的一种回归。DAO可能在组织柔性、民主程度、信息化和快速响应等方面优于公司,但不能断言DAO就优于公司制,这是一种优点比缺点的逻辑。企业的基本战略是为顾客创造价值并赢得竞争,但这不是DAO的根本目的。信息革命背景下的去中心化是否能够回归初心,抑或再次堕入中心化的历史循环, “历史信息不可篡改,信息追溯成本低,采用分布式构架”是否有助于提高组织的核心能力,尚有待长时段的观察。
常易,云南财经大学企业管理专业在读博士,研究领域包括企业管理、组织治理、国际贸易和图论。硕士专业为国际贸易,本科专业为数学与应用数学。
学者主页:https://pattern.swarma.org/user/59717
1.明庆忠,常易.组织治理视野下的去中心化:解读与反思[J].昆明学院学报,2023,45(05):1-13.DOI:10.14091/j.cnki.kmxyxb.2023.05.001
2.常易,明庆忠.DAO亦有道:去中心化自治组织的理论溯源和内在冲突研究[J/OL].外国经济与管理:1-19[2023-09-25 14:18].https://doi.org/10.16538/j.cnki.fem.20230815.301.DOI:10.16538/j.cnki.fem.20230815.301.
集智俱乐部「复杂管理学读书会第三季」邀请同济大学组织仿真中心主任陆云波,东华大学教授荣智海,以及产业界复杂科学推动者、树兰医疗集团总裁郑杰,北大纵横合伙人陈雁鸿共同发起。新的一季读书会聚焦在自组织、多主体模拟、创新型管理、网络等方向,分享复杂系统管理领域的前沿理论、经典科普图书,旨在促进学术交流、知识分享以及跨领域合作,共同探讨复杂科学理论在复杂系统管理场景的应用、实践与展望,一起应对复杂多变的人类发展未来。这是集智俱乐部的第一个全国性线下读书会,从2024年4月20日开始,每周六下午3:00-5:00,预计持续10~12周,期待您的积极参与,和我们一起知行合一,践行理想!