在《爱丽丝梦游仙境》中,红皇后告诉爱丽丝:“你需要竭尽全力奔跑,才能保持在同一个地方。”这个描述,很适合这个变化越来越快的时代。(参考《为何生活节奏越来越快?因为城市是一台不断加速的跑步机》)不止我们的生活节奏越变越快,创新的节奏也在加速,很多创新刚刚出现已被淘汰,在这个创新保鲜期越来越短的时代,我们需要理解什么时候创新的速度会超过淘汰的速度?
近期发表于PNAS的这项最新研究,从多个学科汲取养分,创建了关于创新动力学的统一定量数学理论,让读者得以一窥创新的本质。
论文题目:Idea engines: Unifying innovation & obsolescence from markets & genetic evolution to science
论文地址:https://www.pnas.org/doi/10.1073/pnas.2312468120
最近有证据表明,在全球化的世界里,技术和科学进步的速度在放慢,而流行病的风险却在增大——方向正好相反——这表明创新和淘汰的相对速度非常重要。从以上的描述,我们似乎可以将创新认为是新观点代替了旧理论,然而众多科学界的所谓颠覆,并非是证明之前的研究是错误的。例如相对论并非说明牛顿力学是错的,只是相对论扩大了应用范围(接近光速的情况),在构建关于创新的模型时,需要考虑观点间的相互关系和动力学。例如该研究中引入了可能性空间(Space of the possible)的概念,指一个系统内所有有可能实现的创意的集合,创新被视为扩大可能性空间,而淘汰则是缩小可能性空间。
不同领域有大量关于创新和淘汰的理论:从经济学家约瑟夫·熊彼特(Joseph Schumpeter)的创造性破坏(creative destruction)到理论生物学家斯图尔特·考夫曼(Stuart Kauffman)提出的可能性空间,或科学哲学家托马斯·库恩(Thomas Kuhn)提出的范式转移。该研究提出的模型并将不同理论的各个方面连接到一个数学模型中。介绍该模型之前,先简单看看其借鉴的前人的理论。
熊彼特认为,经济的发展不是平稳渐进的,而是通过一系列的革命性变化来实现的。这些变化通常是由新技术的发明、新市场的开拓或新组织形式的出现所引发的。比如,互联网的出现彻底改变了我们购物、交流和获取信息的方式,让部分实体店衰落的同时创造了直播等新行业,这就是一种“创造性破坏”。“创造性破坏”理论强调了经济变化的不连续性和革命性。它揭示了为什么一些看似强大的公司或行业会突然衰落,而新的公司或行业会迅速崛起。这主要是因为创新和技术变革在不断重塑我们的经济结构。
可能性空间可被想象成一个巨大的迷宫,每一个岔路口都代表着一种选择或变化。在这个迷宫中,不同的路径可能会通向完全不同的地方。在生物学中,这个迷宫代表了生物体可能发生的变化和进化路径。考夫曼认为,生物体的进化不仅仅是由自然选择驱动的,还受到这个可能性空间的影响。进化迷宫中有的路径可能是死胡同,但有些则可能通向新的、更适应环境的生物形态。这种探索过程,不仅受到环境选择的影响,还受到生物体内基因和生物化学过程的限制和可能性。“可能性空间”这一概念揭示了生物体如何在其基因和生物化学过程的限制下,探索和发现新的生存和繁殖方式。(参看《思考生命复杂性的新视角:从组装理论到梯径理论》)
库恩提出的范式转移与创造性破坏有相似之处。库恩指出,科学的发展不是简单地积累知识,而是通过一系列的革命性变化来实现的。这些革命性变化,他称之为“范式转移”(Paradigm shift)。在科学史上,许多重大的科学发现和理论,如哥白尼的日心说、牛顿的万有引力定律、爱因斯坦的相对论,都引发了科学范式的转换。在这些转换过程中,科学家们对世界的认识发生了根本性的变化,旧的理论被新的理论所取代,科学家们看待世界的方式也随之改变。
本文用一个简单的模型描述创新想法生长、死亡、重复的过程。其核心思路是应用了系统动力学的建模方法,将系统的增长定义为“驱动项”和“消耗项”。在本文的创新过程中,主要有以下几个设置:1)主体以速率G均匀分布于时刻t的晶格位点L(t)进入系统。2)之后主体以速度r重复进入临近的格点,例如,通过复制产生更具创新性的想法。3)主体以rd的速率死亡,即当r=rd时,就是主体本身在空间上移动,即主体不发生变化且不消失。在创新的前沿(即坐标轴最右侧),创新成功率正比于扩展搜索的频率r,创新能力I和在前沿的创新主体的数量n,最终用平均速度来表示这一复杂的过程。最后再引入关于想法过时淘汰的假设,即旧的想法会以速率r0被淘汰,来表示所有的主体最终都会消失在想法空间中。最终空间长度的变化
就是创新和淘汰二者的差,这个差的大小代表创新的程度。即

当这个空间是稳定的,即
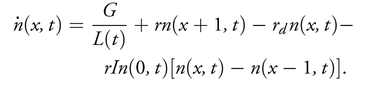
,整个系统就像是一列“创新火车”,驶向创新前沿。为了简化数学,我们可以把创新的过程想象成我们坐在火车上,并在一个坐标轴上向前移动(如图1)。我们可以写出t时刻x位置的创新主体数量的变化方程如下
第一项是新主体进入系统的速度,第二项是模仿创新复制的速度,第三项是离开系统(死亡)的速度,第四项是创新前沿运动的有效转移。这些公式可以直接扩展到如合作创新、更高维的模型、逆淘汰驱动创新(inverted obsolescence-driven innovation)和延迟过时(delayed obsolescence)等更加复杂的行为上。
图1:(A) 随机图结构和 (B) 线性网格投影的模型图示。(A) 在最现实的近似情况下,创新主体可以在随机、动态的想法网格上跨越单个或多个想法。然而主体往往集中在局部的专业领域。我们通过将图(B)中 一个长度为 L 的线性网格,沿着创新前沿x = 0处的创新前沿增长到右侧相邻的可能区域,同时沿着左侧的淘汰之前的观点。
基于可能性空间,研究小组模拟了创新和淘汰的一般动力学,确定了三种可能的情况。
图2. 不同淘汰率r0情况下模型描述的不同情况。(A)展示了空间大小的变化,当r0=0的时候,空间无限大;当r0=1的时候,空间会坍缩留下一些转瞬即逝的想法;而当创新和淘汰是平衡的情况下,会形成一个稳定的创新空间。(B)展示了 x=0 位置的创新数量随时间的变化。(C)展示了模拟1000次的创新前沿距离和创新主体的数量的关系。
研究人员用来自不同领域的真实数据对该模型进行了测试,这些数据包括企业生产率、COVID-19 变异和科学引文。因此,研究人员能够将迄今为止彼此孤立考虑的例子汇集在一起。模型和数据都是针对平均动态,而不是专注于特定的创新,这使得本文所强调的普适性成为可能。
图3. 模型相空间。(A)基本模型预测可能性空间的大小(或者说晶格长度),稳定(白色),无限增长(红色),或崩溃(蓝色)。子图展示了和图4对应的实际例子在相空间中所处的位置。(B)是一种模型的扩展形式——反合作,以及(C)是模型合作创新扩展形式。
图4的实证模型惊人地吻合——预测的特征指数上升到一个带有衰减尾的倾斜峰。下面我们对每个实证例子稍作展开。经济学提供了衡量成本效率的经典的熊彼得式创新例子,即一家公司从固定投资中提取利润的能力,这为公司(即主体)排序提供了一个看似自然的一维轴,其中更具创新性的公司降低了单位产出的成本(即想法格点坐标)。图4A展示了经典工作中美国金属冲压行业劳动力成本分布的一个例子。成本效率最高和最低的公司数量最少,尽管分布向右偏斜,因为成本较高的公司也能生存下来。这种特征形态也出现在图4D的印度公司的最近分布中,但当针对成本效率绘制时,本质上是反转的x轴。在这种情况下,按总资产计算的较大公司通常比较小的公司成本效率低——尽管这与效率和创新的经典解释相悖,但它与颠覆性技术最初开发效率低下的叙述一致(如特斯拉)。
对于生物领域,本文绘制了每个突变数量的独特菌株的数量,得出一个相对于创新前沿的直方图,这是与起源基因距离最远的菌株。图4B展示了实证和模型的吻合结果。不过值得注意的是,模型未能捕捉到像Delta变种出现时的尖锐、暂时性增长,这表明了一个重要的偏离模型预测:这些断断续续、不可预测且独特的“爱因斯坦式创新”违反了我们模型的假设。(注:爱因斯坦式创新描述了那些爆发式出现的,且具有革命性、根本性的改变我们对世界认识的创新。)
最后,在科学和技术中发现了不同的现象,研究团队将论文和专利视为思想的创新组合。将引用率作为前沿附近主体密度的代表(图4C和G)。从图中可以发现,引用率会快速达到巅峰然后开始缓慢衰减,和前面的例子是镜像的。这意味着新的技术和科学思想必须与过去联系在一起,并且常常根据它们与已有的知识、理论和教学方法的一致性来判断,只有当现有的框架被证明是不足的,一个新的想法才能蓬勃发展。这表明了一种相反的动力学,即创新是由旧观念的过时所驱动的,这个过去的研究结论也是一致的。
图4. 模型预测和实证对比。A和D是公司系统,B是基因突变,C和G是科学引用。其中数据是带颜色的,模型拟合是虚黑线。A和D是不同的产业以及不同企业规模大小的对比。C和G是不同的论文集和专利数据库
这些例子展示了本文的方法可以作为一个基线,用于独立基本创新和过时动力学之外的附加过程,并且可以描述社会和生物领域的真实创新过程。
这一模型可以非常方便地描述更加复杂的创新过程。如合作创新的过程可以将前沿的创新过程引入非线性,意味着主体之间的创新行为不相互独立。或者,如果将可能性空间扩展到高维空间(如树状图),可以表明主体的相对维度会影响该主体演化的行为。文中给出了更多的模型扩展以及详细的解释。
最后,研究团队衡量了这些创新主体与失控创新边界的距离Δ,以此作为创新的指标。对于生物系统,北美和欧洲的数据中发现了一致的结果,即菌株的突变体和创新失控边界距离很近。而对于市场系统,小型非金融印度公司比大型公司更接近临界边界。对于科学研究系统,研究团队发现专利比引用次数相近的PRB文章更接近临界边界,而二者的区别在于科学引文不仅是创新性的一个指标,它需要参考已建立的教学方法、修正、证实证据等,而专利则侧重于突出新颖性。这一发现似乎验证了,创新更应该发生在失控的边界。不过这一发现背后的机制仍然是一个悬而未决的问题,它们如何反映了推动这些系统走向或远离失控创新的机制差异。
包括经济学、生物学和科学学的所有数据之间都有显著的相似性。这让我们看到,所有系统似乎都生活在创新与淘汰的的混沌边缘。生活在“混沌边缘”的系统,动力学的微小变化都可能导致系统状态的巨大变化。这对复杂系统是值得追求的特征,使得系统既能够维持一定的稳定性,又能够产生新的可能性。
创新和过时描述了不断搅动和适应社会和生物系统的动态变化,在特定的领域中这些概念会有特定的形式化表示。本文用一个简化的“可能空间”(space of the possible)(如技术、基因突变、科学理论)动力学模型形式化了创新和过时等概念之间的联系。在这个空间里,智能体(如公司、有机体、科学家)在成长、死亡和复制的过程中与之结合。本文预测了三种情况:1)空间是有限的,2)不断增长的,3)或者是熊彼特式的反乌托邦——在这个反乌托邦中,陈旧的东西会驱使系统崩溃。
研究团队将模型预测的结果与企业生产率、COVID多样性和科学出版物引用率的分布进行比较,模型的预测和实证数据表现出了惊人的一致性。本文从第一性原理推导出的最小模型与实证例子相一致,这意味着企业成本效率和生物进化中的追随领导者的动力学,而科学进步反映的是等待旧思想过时的共识。
文章提出的理论为统一创新引入了一个全新的、可实证检验的框架,将迄今为止单独研究的现象与定量理论统一起来,以了解创新的动态演变,从而为现实中制定推进创新的相关人员提供一个关于创新本质的视角。
集智俱乐部联合美国东北大学博士后研究员杨凯程、密歇根大学安娜堡分校博士候选人裴嘉欣,宾夕法尼亚大学沃顿商学院人力资本分析研究组博士后研究员吴雨桐、即将入职芝加哥大学心理学系的助理教授白雪纯子,共同发起AI+Social Science读书会,从3月24日开始,每周日晚20:00-22:00,探究大语言模型、生成式AI对计算社会科学领域带来的新思想新价值。
集智俱乐部「复杂管理学读书会第三季」邀请同济大学组织仿真中心主任陆云波,东华大学教授荣智海,以及产业界复杂科学推动者、树兰医疗集团总裁郑杰,北大纵横合伙人陈雁鸿共同发起。新的一季读书会聚焦在自组织、多主体模拟、创新型管理、网络等方向,分享复杂系统管理领域的前沿理论、经典科普图书,旨在促进学术交流、知识分享以及跨领域合作,共同探讨复杂科学理论在复杂系统管理场景的应用、实践与展望,一起应对复杂多变的人类发展未来。这是集智俱乐部的第一个全国性线下读书会,从2024年4月20日开始,每周六下午3:00-5:00,预计持续10~12周,期待您的积极参与,和我们一起知行合一,践行理想!