PRE速递:动力学粗糙化过程(Kinetic roughening processes)中的涌现

摘要
长程时间相关性在动力学粗糙化过程中的作用十分重要,可能会影响表面形态和动态标度特性。这种相关性在生长过程中作为非局部相互作用,通过局部相互作用导致非平凡全局性质的出现,从而破坏了自仿射分形结构。在这项工作中,对两种典型的离散生长模型,即随机沉积和弹道沉积,在存在长程时间相关性的情况下进行了数值研究。独立使用了两种定量测量方法,即Hellinger距离和新颖性检测,来确定是否出现涌现现象。我们的模拟结果表明,在时间相关性指数超过临界阈值时,系统表现出涌现行为,这与存在长程时间相关性时非平凡的标度特性和表面形态是一致的。

论文题目:Emergence in kinetic roughening with long-range temporal correlations 发表时间:2025年2月18日 论文地址:https://journals.aps.org/pre/abstract/10.1103/PhysRevE.111.024124 期刊名称:Physical Review E
表面新模式涌现:两种定量检测方法
表面新模式涌现:两种定量检测方法
研究团队选取了随机沉积(RD)和弹道沉积(BD)两种经典离散生长模型,通过引入具有幂律衰减特性的关联噪声,系统模拟了不同时间关联强度θ下的表面演化。研究独创性地采用Hellinger距离和新颖性检测两种判定方式,定量识别涌现现象:
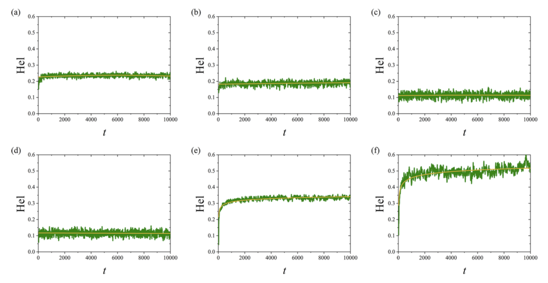
1. Hellinger距离:通过核密度估计比较不同时刻表面高度分布差异。研究发现,当时间关联指数θ>0.25时,Hellinger距离值持续上升,表明系统偏离初始统计特性,新秩序正在形成(图 1)。

图 1. 不同时间相关噪声下 BD 模型中 Hellinger 距离与生长时间的关系分析:(a) θ= 0,(b) θ= 0.10,(c) θ= 0.20,(d) θ= 0.25,(e) θ= 0.35,(f) θ= 0.40。系统大小 L= 2048,生长时间 t = 10 000。所有结果均基于 10 次噪声实现取平均值。

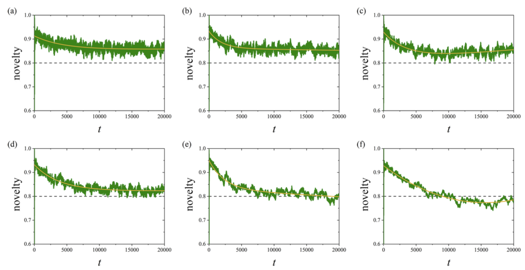
图 2. 不同时间相关噪声下 BD 模型的新颖性与生长时间分析:(a) θ= 0,(b) θ= 0.10,(c) θ= 0.20,(d) θ= 0.25,(e) θ= 0.35,(f) θ= 0.40。系统大小 L = 512,生长时间 t = 20000。所有结果均基于 50 次噪声实现取平均值。
临界θc=0.25:表面生长的相变点
临界θc=0.25:表面生长的相变点
-
弱关联区(θ<0.25):表面保持KPZ普适类自相似分形特征,粗糙度指数α≈0.5,符合经典标度律。 -
强关联区(θ≥0.25):Hellinger距离曲线显著抬升,新颖性值跌破阈值0.8,表面出现规则“刻面化”形貌,此时局域粗糙度指数αloc≠α,反常标度取代传统Family-Vicsek标度。

图 3. 时间相关BD模型中表面形态的比较:(a)–(c) θ = 0.10,(d)–(f) θ = 0.25,(g)–(i) θ = 0.40。从左到右分别使用三个不同的生长时间 t = 100,t = 1000 和 t = 20000。

图 4. BD模型的涌现机制示意图。黑色方框象征着微观层次上的单个组分,其中A和B表示正在生长的粒子。蓝色虚线表示这些粒子之间的相互作用。中心的椭圆形图示表示随时间演化的生长过程,而顶部的矩形图示则展示了在一定演化时间后生长系统所展现的宏观形态特征。向上的箭头表示向上的因果关系,侧面的向下弯曲箭头表示向下的反馈关系。
从沙堆到芯片:无序中的有序启示
从沙堆到芯片:无序中的有序启示
彭晨 | 编译
因果涌现读书会第六季
6. 加入集智,一起复杂!





