物理学遇上达尔文:生命起源的临界点和相变
摘要
在我们的生物圈中,生命出现的过程涉及若干关键事件,这些事件使得分子系统得以持续存在、自我复制和进化。所有这些过程都在特定的环境背景下发生,并且需要分子多样性以及恰当的非平衡条件,以维持并促进能够通过自然选择进化的复杂自维持分子网络。生命是一种在多个方面有别于非生命的过程,不能简化为标准的化学反应。此外,达到更高的复杂性水平需要新事物的出现。这是如何发生的呢?在此,我们回顾了与生命早期起源相关的不同案例研究,从相变和分岔的角度出发,将对称性破缺和渗流作为两个核心要素。我们讨论了一些简单的模型,这些模型有助于理解生命起源的关键步骤,例如分子手性、向第一批复制子(replicators)和合作子(cooperators)的转变、错误阈值和信息丢失的问题,以及作为生命出现基础的“无秩序”(order for free)的潜力。
关键词:生命起源,相变,分岔,对称性破缺,渗流,准物种(quasispecies),超循环(hypercycles)、分子手性

论文题目:Bifurcations and Phase Transitions in the Origins of Life
发表时间:2025年4月14日
论文地址:https://arxiv.org/abs/2504.08492
生命的起源是科学史上最深刻的谜题之一。从非生命物质到活细胞的转变需要一系列关键事件:分子多样性的产生、自我维持的化学反应网络,以及自然选择驱动的演化能力。然而,这些过程如何在早期地球的混沌环境中涌现?最新研究提出,相变(phase transitions)和分岔(bifurcations)的数学框架,可能是解开生命起源之谜的钥匙。近期,一篇预印本综述论文,通过对称性破缺、渗流等物理概念,揭示生命起源中分子手性、复制子演化、自催化循环等关键步骤的普适规律。
相变建模:从统计物理到分岔理论
相变建模:从统计物理到分岔理论
相变是物质状态的根本转变,如水结冰或磁体失磁。统计物理学通过伊辛模型(Ising model)描述这类现象:微观单元(如原子自旋)的局域相互作用,在临界温度下引发宏观有序态(如磁化)。有趣的是,这种相变可通过平均场理论简化为低维动力系统,例如磁化强度M随温度变化的方程:

当温度 T 低于临界值 Tc ,系统自发选择两种对称有序态之一(磁化向上或向下),即对称性破缺。这种路径依赖的偶然性,与生命起源中分子手性的单向选择高度相似。

图 1. 动力系统中分岔的相变。
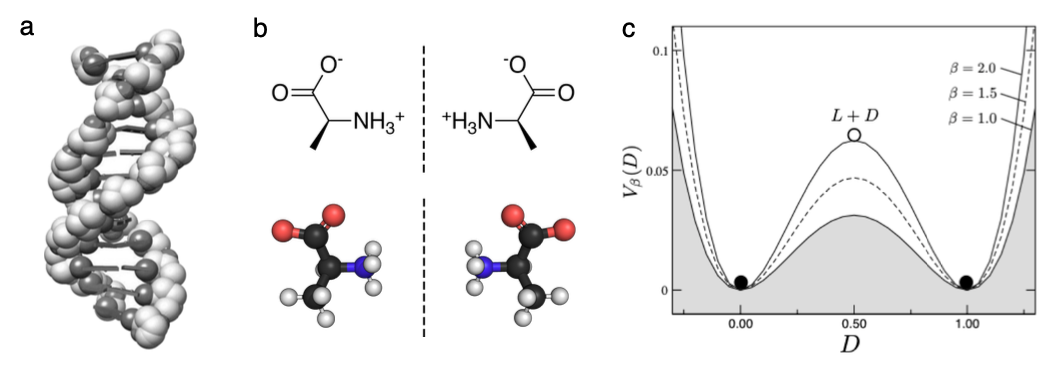
手性对称性破缺:生命的左手与右手
手性对称性破缺:生命的左手与右手
生物分子(如氨基酸和糖)普遍具有单一手性(L型或D型),但化学合成通常产生等量混合物。如何打破对称性?弗兰克模型(Frank model)给出了答案:假设两种手性分子 x1 = [D] 和 x2 = [L] 能催化自身合成并抑制对方,其动力学方程:

x2的解与其对称,三个固定点分别是0,1和0.5。其中中间态(x=0.5)不稳定,系统必然偏向某一手性。这一过程与磁体相变类似,微小扰动(如陨石携带的L型氨基酸偏倚)即可被非线性效应放大,形成“冻结的偶然事件”。

图 2.对称性破缺和同手性的起源。
复制子与准物种:错误阈值的生存游戏
复制子与准物种:错误阈值的生存游戏
RNA等复制分子面临错误阈值(error threshold)难题:突变率过高会导致信息丢失。准物种模型(quasispecies model)揭示,复制子的最大基因组长度(ν)与突变率满足(μb),其中α为尺度因子:

当突变率超过临界值,主序列消失,种群陷入“遗传漂变”(图3)。实验证实,RNA病毒(如Qβ噬菌体)的突变率恰好接近此阈值,在演化可塑性与稳定性间走钢丝。

图 3. 突变自复制系统的错误阈值。
自催化与渗流:循环网络的涌现
自催化与渗流:循环网络的涌现
单一复制子难以突破复杂度极限,而超循环(hypercycles)通过合作打破瓶颈。例如,两分子相互催化时,有动力学方程:

其中x1,x2是它们的相对丰度,在催化强度(Γ)超过竞争效应时,系统从“赢家通吃”转为共存相。类似地,渗流理论(percolation)表明,随机化学反应网络在连接度达到临界值时,必然涌现自催化循环(如甲醛聚糖反应),为原始代谢提供基石。

相变视角下的生命起源:必然还是偶然?
相变视角下的生命起源:必然还是偶然?
生命起源的三大里程碑——手性均一化、信息稳定传递、代谢网络形成,均可视为动力学相变。这些临界点既受物理定律约束,又依赖种种历史偶然性。这可能提示我们,生命的出现并非“奇迹”,而是复杂系统在非平衡条件下自发有序化的必然结果。
彭晨 | 编译
生命复杂性读书会:
生命复杂系统的构成原理
在生物学中心法则的起点,基因作为生命复杂系统的遗传信息载体,在生命周期内稳定存在;而位于中心法则末端的蛋白质,其组织构成和时空变化的复杂性呈指数式增长。随着分子生物学数十年来的突飞猛进,尤其是生命组学(基因组学、转录组学、蛋白质组学和代谢组学等的集合)等领域的日新月异,当代生命科学临近爆发的边缘。如此海量的数据如何帮助我们揭示宇宙中最复杂的物质系统——“人体”的构成原理和设计原理?阐释人类发育、衰老和重大疾病的发生机制?
集智俱乐部联合西湖大学理学院及交叉科学中心讲席教授汤雷翰,国家蛋白质科学中心(北京)副研究员常乘、李杨,香港浸会大学助理教授唐乾元,北京大学前沿交叉学科研究院研究员林一瀚,中国科学院分子细胞科学卓越创新中心博士后唐诗婕,共同发起「生命复杂性:生命复杂系统的构成原理」读书会,从微观细胞尺度、介观组织器官尺度到宏观人体尺度,梳理生命科学领域中的重要问题及重要数据,由生物学家提问,希望促进统计物理、机器学习方法研究者和生命科学研究者之间的深度交流,建立跨学科合作关系,激发新的研究思路和合作项目。读书会目前共进行10期,现在报名参与读书会可以加入读书会社群,观看视频回放,解锁完整读书会权限。
非平衡统计物理读书会启动!
2024年诺贝尔物理学奖授予人工神经网络,这是一场统计物理引发的机器学习革命。统计物理学不仅能解释热学现象,还能帮助我们理解从微观粒子到宏观宇宙的各个层级如何联系起来,复杂现象如何涌现。它通过研究大量粒子的集体行为,成功地将微观世界的随机性与宏观世界的确定性联系起来,为我们理解自然界提供了强大的工具,也为机器学习和人工智能领域的发展提供了重要推动力。
为了深入探索统计物理前沿进展,集智俱乐部联合西湖大学理学院及交叉科学中心讲席教授汤雷翰、纽约州立大学石溪分校化学和物理学系教授汪劲、德累斯顿系统生物学中心博士后研究员梁师翎、香港浸会大学物理系助理教授唐乾元,以及多位国内外知名学者共同发起「非平衡统计物理」读书会。读书会旨在探讨统计物理学的最新理论突破,统计物理在复杂系统和生命科学中的应用,以及与机器学习等前沿领域的交叉研究。读书会从12月12日开始,每周四晚20:00-22:00进行,持续时间预计12周。我们诚挚邀请各位朋友参与讨论交流,一起探索爱因斯坦眼中的普适理论!
详情请见:从热力学、生命到人工智能的统计物理之路:非平衡统计物理读书会启动!
6. 加入集智,玩转复杂,共创斑图!集智俱乐部线下志愿者招募





