PRE速递:当信息几何遇上量子随机热力学

摘要
近期的研究进展揭示了信息几何与经典随机热力学之间新的联系,尤其是通过时间相关的Fisher信息(FI)。鉴于希尔伯特空间中量子Fisher信息度量的非唯一性,我们利用了任何量子Fisher信息(QFI)都可以分解为与度量无关的无相干部分和与度量相关的相干这一事实。证明了任何 QFI 的无相干成分可以直接与熵加速度相关联,并且对于具有局部详细平衡的 GKSL 动力学,与广义热力学力的变化率和熵流相关联,这与经典结果相平行。此外,我们加强了经典不确定性关系,即状态空间中路径的几何不确定性与时间平均的信息变化率之间的关系,并证明了它也适用于量子系统。我们通过引入由相干动力学引起的几何作用所产生的非负量子贡献,将经典远离平衡过程的熵率的几何界限推广到了量子系统。最后,我们将信息几何分析应用于最近提出的量子热力学Mpemba效应,展示了这一框架捕捉热力学现象的能力。
关键词:量子Fisher信息,熵加速度,几何热力学,Mpemba效应,GKSL动态

论文题目:Information geometry approach to quantum stochastic thermodynamics 发表时间:2025年1月16日 论文地址:https://journals.aps.org/pre/abstract/10.1103/PhysRevE.111.014133 期刊名称:Physical Review E
在经典随机热力学中,信息几何为理解非平衡过程提供了新视角——通过Fisher信息(Fisher Information, FI)量化系统状态变化的“速度”,并建立其与熵产生等热力学量的联系。然而,量子系统由于叠加态、相干性等特点,需要一套更普适的信息几何理论框架。Physical Review E的一篇最新论文中,首次将这一经典框架推广至量子领域,提出了量子Fisher信息(QFI)的分解方法,揭示了量子热力学与信息几何间的深层关联,并发现了量子系统的独特控制优势。
分解量子Fisher信息
分解量子Fisher信息
量子态由密度矩阵描述,其演化轨迹在希尔伯特空间中呈现更复杂的几何结构。研究团队发现,任何QFI均可拆解为两部分:
-
非相干部分:仅依赖密度矩阵的谱演化,与经典随机热力学的FI一致,对应熵加速度和环境熵流的变化率。
-
相干部分:由量子态本征基旋转引起,对应哈密顿量驱动的几何作用,这是经典系统所不具有的,纯粹由量子系统贡献。
以用于描述开放量子系统动力学GKSL主方程为例,非相干QFI部分直接联系广义热力学力变化率和熵流,将经典结果推广至量子;而相干部分作为正值项,增强了熵速率变化的几何约束,为量子控制提供额外自由度。
Mpemba效应的几何解码
Mpemba效应的几何解码
团队以量子热力学Mpemba效应为例,即“热水比冷水更快结冰”的量子版本,展示了信息几何的实用性:
-
统计距离比:测量系统弛豫过程中“完成度”(Ratio of Completion),初始含相干性态因为旋转自由度,平衡时间延迟,速度差异可以由此量化。
-
几何不确定性(Geometric Uncertainty):含相干路径偏离测地线的累积偏差反映能量耗散涨落,相干贡献使不确定性低于纯经典轨迹,揭示量子效应对优化的天然适应性。

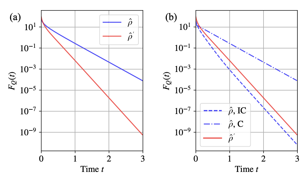
图 1.(a)参考态(蓝色)和旋转态(红色)的SLD QFI 的时间演化。(b)红色:旋转态的经典演化,因此量子费舍尔信息仅包含非相干项。蓝色:参考态在能量本征基中是相干的,因此既有无相干项(虚线)也有相干项(点划线)。我们发现无相干项的衰减速度比相干项快得多。

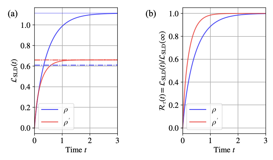
图 2. (a)参考态(蓝色)和旋转态(红色)在状态空间中的统计距离(SLD)轨迹。半透明线表示相应路径在无限时间极限下所追踪的距离,表明在选定的时间段内已达到充分的热化。旋转态的统计距离比参考态短。然而,参考态与热态(蓝色虚点线)之间的 SLD 测地距离比旋转态与热态(红色虚点线)之间的短,这与统计距离一致。(b)此外,我们发现旋转态(红色)完成路径的速度更快,这从所有时间点的完成率更高可以看出。
关于Mpemba效应,集智俱乐部非平衡统计物理读书会邀请北卡罗莱纳大学教堂山分校副教授卢至悦以“反常热力学现象:Mpemba 效应”为主题进行了一次分享,如果你想了解更多,扫码查看视频👇

不确定性关系新边界
不确定性关系新边界
研究团队还将经典不确定性关系拓展至量子领域,即路径几何涨落 vs 信息速率均值,并发现:
-
量子-经典普适新边界:统计发散度量了偏离理想路径的程度,而路径长度与信息变化的累积有关。统计发散总是大于或等于路径长度的平方,两者之间存在权衡关系。
-
量子增强的熵速率约束:引入相干项后,熵速率变化上界进一步收紧,如开放系统热化中,相干贡献可降低路径“能量成本”。

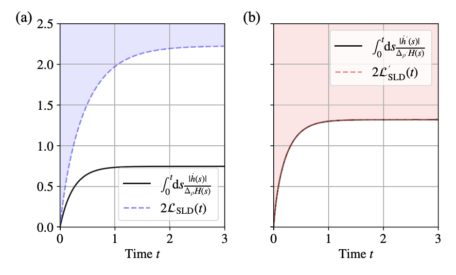
图 3. 热流与随时间演化的状态下的哈密顿量标准差的时间积分比值,其路径依赖上限为随时间演化的密度矩阵在状态空间中路径所关联的统计距离的两倍,如(a)参考态和(b)旋转态所示。旋转态所描绘的路径与测地线路径重合(尽管其并非以恒定速度描绘)。因此,由统计距离设定的界限与测地线长度所提供的一般最紧界限一致。由于状态纯非相干演化,该界限达到饱和。

图 4. (a) 旋转状态(红色)的路径的几何不确定性 。我们使用SLD、WY和HM度量(蓝色)计算时间演化参考状态的几何不确定性。SLD度量给出了最小的几何不确定性。从参考状态和旋转状态到热态的测地线偏离在短时间内逐渐积累。(b) 时间平均量子费舍尔信息(QFI)与几何不确定性之间的权衡。
量子热力学的信息几何工具
量子热力学的信息几何工具
这项研究为量子热机优化、耗散控制带来新思路:可用于测地路径设计,通过量子相干性最小化J-L偏差,或实现更快热化;在资源表征场景下,相干QFI贡献可作为非平衡量子态的“燃料”指标;还可用于解析反常现象,如量子Mpemba效应中,几何速度与热力学自由能的竞争机制等等。
彭晨 | 编译
关于集智俱乐部
集智俱乐部成立于 2003 年,是一个从事学术研究、享受科学乐趣的探索者的团体,也是国内最早的研究人工智能、复杂系统的科学社区。它倡导以平等开放的态度、科学实证的精神,进行跨学科的研究与交流,力图搭建一个中国的 “ 没有围墙的研究所 ”。集智科学研究中心(民间企业)是集智俱乐部的运营主体,长期运营社区生态,催化理论创新。使命:营造跨学科探索小生境,催化复杂性科学新理论。

非平衡统计物理读书会启动!
详情请见:从热力学、生命到人工智能的统计物理之路:非平衡统计物理读书会启动!
7. 加入集智,玩转复杂,共创斑图!集智俱乐部线下志愿者招募





