Phys. Rep. 重磅综述:网络反应-扩散系统解析传染病传播的复杂动力学

导语
长久以来,传染病一直被公众和卫生部门视为严重的公共卫生威胁,这强调了制定高效预防和控制战略的关键必要性。在统计物理与复杂系统领域,最优控制理论已成为制定防控措施基本且不可或缺的框架。与此同时, 网络反应-扩散系统为解析传染病传播的复杂动力学提供了关键工具。这类系统整合了人类空间行为中多样性和重要性的三个方面——栖息地分布、小世界网络特性、大规模迁移模式,这些是深入研究复杂系统的关键要素。因此,学术界对利用反应-扩散方程解决最优控制问题的关注迅速升温。然而,针对网络传染病模型的复杂动力学与最优控制研究仍存在缺口,尤其在高阶网络中引入了多层复杂网络结构时更为显著。
2025年3月集智社区学者张子柯教授团队在 Physics Reports 杂志发布了一篇重要综述,系统梳理了网络反应-扩散系统动力学与最优控制领域的最新进展,揭示了其在疾病防控中的不可替代性。通过深入研究规则网络与复杂网络的动力学特征,阐明了网络结构与扩散参数对传播机制的作用规律。此外,重点阐述了几种最优控制策略,包括稀疏和局部最优控制,并创新性地提出了整合反应项与扩散项的全局控制方案。最后,概述了未来的研究方向,强调了耦合策略在有效应对空间疾病传播方面的巨大潜力,从而为这一广泛领域内的相关学科提供坚实的理论基础和实践指导。
关键词:最优控制、反应-扩散、复杂动力学、空间疾病
孙桂全、何润梓、侯丽峰、罗晓峰、高树鹏、常利利、王毅、张子柯丨作者
张俊丽丨译者
张子柯教授团队丨审校
如果你对传染病的传播与防控分析感兴趣,在「计算社会科学第二季」读书会有一个入门分享,希望对你有用。

1. 引言
1.1. 网络反应-扩散系统中动力学斑图的最优控制
1.2. 仓室模型发展历程
1.2.1. 三类基本的仓室模型
1.2.2. 多仓室机理模型
1.2.3. 时空多仓室模型
1.3. 规则网络反应-扩散系统斑图动力学与最优控制
1.3.1. 规则网络斑图动力学
1.3.2. 规则网络斑图最优控制
1.4. 复杂网络反应-扩散系统斑图动力学与最优控制
1.4.1. 复杂网络斑图动力学
1.4.2. 复杂网络最优控制
1.5. 研究动机与目标
2. 规则网络反应-扩散系统中的空间疾病传播的最优控制
2.1. 规则网络中的空间疾病传播动力学
2.1.1. 规则网络空间疾病传播斑图动力学
2.1.2. 规则网络反应-扩散系统空间疾病传播的复杂传播动力学
2.2. 规则网络斑图的最优控制
2.2.1. 最优控制
2.2.2. 稀疏最优控制
2.2.3. 局部最优控制
3. 复杂网络反应-扩散系统的空间疾病斑图动力学
3.1. 经典复杂网络的斑图动力学
3.1.1. 单层网络斑图动力学
3.1.2. 多层网络斑图动力学
3.2. 高阶网络斑图动力学
4. 复杂网络反应-扩散系统空间疾病传播的最优控制
4.1. 反应项的最优控制
4.1.1. 终端控制
4.1.2. 过程控制
4.2. 扩散项的最优控制
4.2.1. 扩散系数控制
4.2.2. 网络属性控制
4.3. 综合最优控制
5. 结论与展望

论文信息:Sun, Gui-Quan, et al. “Optimal control of spatial diseases spreading in networked reaction–diffusion systems.” Physics Reports 1111 (2025): 1-64.
作者团队:孙桂全、何润梓、侯丽峰、罗晓峰、高树鹏、常利利、王毅、张子柯
论文链接:https://doi.org/10.1016/j.physrep.2025.01.005
1. 引言
1. 引言
传染病是由病原体引发的临床显性疾病,其病原体包含微寄生体与巨寄生体两类。根据传播途径的差异,传染病可分为直接传播与间接传播两种类型。为建立数学模型,研究者已明确区分出四种传播途径:直接传播、媒介传播、环境传播及垂直传播[1]。然而,多数传染病往往兼具多重传播途径。以人类免疫缺陷病毒(HIV)为例,虽以性接触传播为主,但亦可经共用针具或输血等途径扩散。另外,HIV还能在分娩时通过母婴垂直传播。自20世纪80年代HIV疫情暴发后,传染病数学建模研究日趋重要。迄今,研究者已提出、分析并应用了多种数学模型,深入探究疾病传播规律[2–4]。这些模型聚焦于传染病的时空演化特征,例如,Snow 通过研究1855年伦敦霍乱疫情的时空分布规律,最终确定了霍乱感染源头[5]。
传统疾病模型假定全体人口聚居单一区域且均匀混合,这意味着不存在空间差异。然而,空间异质性深刻影响着环境与种群动态,因此必须将空间结构整合至疾病模型中。例如,人口统计学参数与疾病参数可能具有空间依赖性。人类群体既能栖息于孤立岛屿或不同国家,又可进行跨地域移动——走兽与人类以足迁徙,飞鸟与蚊虫以翼远行。尤其值得注意的是,航空运输使疾病得以远距离快速扩散,这在近期爆发的COVID-19疫情中尤为显著。此类空间异质性直接影响疾病传播态势。为精准揭示空间异质性对传染病动力学的影响,研究者须构建能体现该特性的流行病模型。此外,具备空间结构的传染病模型能更有效评估防控措施,特别是限制人员流动的干预策略。
为将空间结构与个体迁移融入疾病模型,学界提出了多种建模方法。空间结构可采用离散或连续方式处理。在时间连续的框架下,耦合斑块模型(即集合种群模型)[6,7]成为离散空间建模的主流范式。该模型通过大规模常微分方程组(ODEs)描述各斑块动力学,斑块间经迁移实现耦合。此类斑块可指社区、城市或地理区域。相比之下,连续空间建模的应反应-扩散方程,这类偏微分方程组(PDEs)规模更小。当亚群体随机移动时,反应-扩散方程堪称模拟传染病空间扩散的利器。方程包含反应项(对应常微分方程(ODEs)右侧表达式)与扩散项(以未知函数二阶导数表征)。反应-扩散模型的标志性特征在于存在行波解——即以恒定速度传播且形态稳定的解——此现象与真实疾病传播中的波状推进斑图高度契合。
自然界中斑图无处不在——从动物皮毛的斑点条纹,到神经元的同步放电,都彰显着时空相干斑图与自组织现象的涌现。英国数学家艾伦·图灵在形态发生领域[8],基于反应-扩散系统于1952年首次提出精妙理论,阐释自组织模式的形成机制。在其开创性论文中,图灵证明:当处于稳定均匀平衡态的激活子-抑制子系统受扰动时,会触发扩散驱动的不稳定性,最终形成空间非均匀的稳态。这一图灵(扩散驱动)不稳定性理论,为自然与人造系统的各种模型形成提供了普适性解释。但该理论直到1972年才重获关注——彼时 Gierer 和 Meinhardt尚未知晓图灵研究,却在含激活子-抑制子的特定化学体系中发现了稳态空间斑图。激活子正如其名,既能促进自身密度增长,亦会增强抑制子生成;抑制子则抑制两者的增殖。他们特别发现:仅当抑制子扩散速度远超激活子时,稳态斑图才会形成[9]。事实上,两人最终意识到其发现与图灵理论不谋而合。自此,图灵斑图研究于1970年代正式兴起,热潮延续至今[10,11]。
经典疾病模型存在显著局限,其假设群体呈均匀混合状态——每个个体与其他个体接触的概率完全均等。这种假设过于简化且违背现实。除空间分布差异外,个体间的接触结构直接影响每对个体的接触概率。例如,家庭成员、配偶及朋友间的接触概率远高于随机配对的陌生人。在群体结构中考虑接触异质性时,研究者能更精确地描述疾病传播[12,13]。捕捉接触异质性的方法之一是采用接触网络[14],该网络可表征群体内的接触模式。在此框架中,节点代表个体,边表示相邻节点间的潜在接触。通常,无向接触网络用二进制邻接矩阵表示:矩阵第i行第j列元素取0或1,分别表示个体i与个体j之间无接触或有接触。网络模型应用广泛,因其具有多重实用特性。例如,邻接矩阵的主特征值可反映传染病在网络中传播的初始扩散速度[15,16]。
在更广泛的背景下,传播现象——如疾病传染、信息扩散与级联故障——本质上都是复杂网络中的动力学过程[17]。网络中的每个节点具有离散状态值,其状态会随邻居节点状态变化而更新。由此自然衍生出诸多研究课题[18],例如:如何解析异质性对参数估计与疫情结果的影响;如何建立分析方法研究静态无权重网络上的疫情传播;如何阐明网络特性对疫情结果的作用机制;如何强化网络建模与流行病学数据的关联;如何设计基于网络的防控策略[19]。学界已发展出多种网络疾病模型。疾病与网络模型的密切关联可追溯至1980年代中期[20,21],流行病学领域对网络理论潜力的重视远超其他学科。但直到现实复杂系统中小世界现象[22]与无标度特性[23]被发现,相关研究才获得广泛关注。Pastor-Satorras和Vespignani[24]首次提出复杂网络中疾病传播的动力学模型。该模型根据疾病状态与节点度值(个体接触数量)划分人群,并假设同度值的群体内部均匀混合。研究揭示无标度网络中不存在流行阈值,这意味着无论传播率高低,感染都能持续扩散。此现象源于感染可通过同一链接反复传播,无论邻居节点是否处于易感状态。Newman[25]运用渗流理论,阐明了静态接触网络上SIR(易感-感染-康复)疫情的阈值条件与最终规模。然而渗流理论无法描述疾病动力学的动态演化过程。为此,Eames和Keeling[26]构建了一种成对状态的网络SIS(易感-感染-易感)模型,追踪邻居节点感染状态对应的链接数量变化,其模型复杂度高导致分析困难。Ball与Neal[27]、Lindquist团队[28]扩展了Pastor-Satorras-Vespignani模型,通过追踪”有效”(具有传播性)邻居数量推导出初始感染数,但因微分方程数量庞大而难以深入分析。针对SIR疫情,Volz[29]借助概率生成函数,建立了追踪不同感染状态节点间链接数量的三个非线性常微分方程组。Miller[30]将其简化为本质上的二维系统,与传统均匀混合SIR模型维度一致。对于SIS疫情,Simon和Kiss[31]利用网络度分布对易感节点度分布的先验近似,推导出描述异质网络SIS动力学的四个非线性常微分方程组。该模型引入包含平均度及二、三阶度分布的矩封闭关系,与异质对逼近网络SIS模型高度吻合。Corcoran和Hastings[32]进一步推导出流行阈值与稳态近似解,完成分岔分析。Taylor与Kiss[33]证明,在近似假设下Eames-Keeling模型与Lindquist模型具有等价性。近年来,复杂网络上的疾病动力学研究持续引发学界广泛关注[34-47]。
经典均匀混合反应-扩散疾病系统可作为网络化反应-扩散系统的特例,其网络结构为包含N个节点的大型完全图。该系统的动力学行为与斑图形成机制已获得了深入研究,相关成果详见文献[10,48,49]。虽然存在多种扩展研究,本文仍聚焦于网络反应-扩散疾病系统及其最优控制策略。网络系统的斑图形成研究始于 Othmer 和 Scriven [50,51],他们提出了描述网络图灵不稳定性的通用数学框架,并以小型规则格点为例进行验证。此后,规则型小型网络中的图灵斑图进一步被探索 [52–56]。2010 年,Nakao 和 Mikhailov [57] 取得突破性进展,成功将图灵理论从小型规则网络扩展至大规模随机无向(对称)网络。通过线性稳定性分析,他们利用离散拉普拉斯算子的特征向量展开扰动,推导了网络反应-扩散系统的图灵不稳定性区域。随着网络科学发展,研究者发现拓扑结构对图灵斑图形成机制具有关键作用。后续研究将图灵理论延伸至有向(非对称)网络[58–60]、多重网络[61–63]、时变网络[64–66]及新兴的高阶网络[67–69]。研究还揭示多种拓扑特性影响图灵斑图生成[70–72],例如Gao等[73]发现的多重网络交叉扩散效应、Chang等[74]建立的斑图形成与网络平均度量化关系、Luo等[75]揭示的图灵斑图与网络聚类关联机制。
疾病防控始终是推动传染病数学模型构建的核心动力。18世纪末,Daniel Bernoulli率先建立数学模型分析天花致死规律[76]。他指出,接种活性天花弱毒株虽偶致死亡,但整体可降低死亡率并延长预期寿命。这一防控理念在19世纪中叶由Louis Pasteur进一步深化——他不仅大幅降低产褥热死亡率,更成功研制首个狂犬病与炭疽疫苗,直接证实了病菌理论。探索动力学模型以制定防控策略的传统,可追溯至Ronald Ross爵士的疟疾研究[77]。他提出将蚊虫数量控制在特定阈值以下即可根除疟疾,并因此荣获1902年诺贝尔奖。数学工具在流行病学中的应用,为构建严谨的动力学系统理论框架奠定基础。该框架通过控制论方法解析传染病传播机制,评估防疫措施实效。早期研究常将防控参数在时间维度上设为恒定值,但实际防控具有时变特性。研究时变最优防控的数学理论称为最优控制理论,可应用于标准微分方程传染病模型,其存在性可通过Filippov–Cesari 定理验证[78]。尽管多位学者研究过网络反应-扩散系统的斑图现象,但在底层网络中实现特定斑图控制仍具挑战。基于常微分方程的流行病最优控制理论已有深入研究。然而现实中,医疗资源配置与地域差异使防控干预呈现时空差异。因此,发展基于偏微分方程的最优控制策略更具实践价值。近年来,学者开始将最优控制方法应用于网络反应-扩散传染病系统[79-83],为流行病防控研究开辟新方向。
1.1 网络反应-扩散系统中动力学斑图的最优控制
作为建模时空动力学的有力工具,反应扩散系统已广泛应用于生态学、流行病学等领域。这类系统精准刻画了个体物理运动的基本过程。其中,图灵不稳定性特指扩散作用导致空间均匀稳态失稳的现象。通过对简单反应扩散模型进行线性稳定性分析,可得出三个核心结论:其一,斑图形成需至少两种相互作用类型,也就是说,斑图出现在一个最小2×2反应扩散系统中。其二,图灵最突破直觉的发现表明,2×2系统中扩散反而引发失稳,与“扩散具有稳定系统作用”的常识相悖;其三,相互作用类型间显著的扩散速率差异是斑图形成的必备条件。基于空间约束特征,现有反应扩散疾病模型主要分为两类:二维格点类模型由偏微分方程构成(多为二阶抛物型方程),复杂网络类模型则表现为高维常微分方程,统称网络反应扩散系统。后者因能整合人口栖息地离散分布、小世界现象及大规模迁徙等人类空间行为特征[57],现已成为研究疾病传播的核心工具。相较于传统二维模型假设个体接触均匀、迁移概率均质的局限,这类系统提供了更精确的时空描述。网络反应扩散系统的重要应用在于疾病传播斑图分析,其能精准捕捉感染随区域扩散形成的空间分布特征[84,85]。此类研究成果为制定疫情防控策略提供了关键依据[68,74,81]。
网络反应-扩散系统已被证明是研究疾病空间传播动力学的有效工具。然而,决策者更关注的是如何预防与控制疾病扩散。在资源有限的情况下,制定有效的干预措施对政府减缓疾病空间传播至关重要。近期多项研究[74,81,83]表明,针对网络反应-扩散系统疾病斑图的最优控制策略正引发持续关注。疾病斑图可作为传播进程的指标,其变化能反映不同地区疫情的严重程度。因此,通过控制反应-扩散模型产生的斑图形成,或许能实现疾病传播控制。例如,Chang等人[81]率先在规则网络中探索流行病反应-扩散模型的图灵斑图最优控制,为该类问题提供了数值解法。基于此,研究者在成对和高阶网络化反应-扩散系统中,深入探讨了空间疾病传播的控制机制[67,74,86]。
1.2 仓室模型的发展
(此部分为经典仓室模型发展的文献综述,由于字数限制,隐藏内容可在原文进行查看)
1.3 规则网络反应-扩散系统的斑图动力学与最优控制
本节系统梳理规则网络反应-扩散系统中斑图动力学与最优控制的研究进展。规则网络的特征在于均匀度分布,即所有节点具有相同的连接数量。探究此类网络上的疾病传播动力学、优化控制策略并设计有效防控方案,是当前研究的热点领域。相关研究能够精确模拟疾病传播路径、定位关键干预要素,并准确预测各类控制策略的实施效果。
1.3.1 规则网络中的斑图动力学
分析网络的经典视角是将其视为连续流形的离散化表征。以具有周期性边界条件的一维区域(即环形结构)为例,离散化处理可生成一维晶格或环形网络。这种将连续支撑系统离散化为网格的研究范式已被广泛采用。值得注意的是,图灵在其奠基文献[8]中已深入探讨环形网络内的反应-扩散问题。约二十年后,该理论发展出两个互补方向:一支专注于网络系统研究,另一支着力于连续支撑体系。其中,Othmer与Scriven[50,51]解析了细胞网络中的斑图形成机制,Gierer和Meinhardt[9]则通过偏微分方程深化了图灵理论。前者采用规则晶格作为反应-扩散过程的物理载体,成为图灵开创性工作后首批研究离散支撑体系的代表性成果。Weimar与Boon[123]构建的元胞自动机(CA)可精确量化模拟多种反应-扩散系统。同期,Goraş、Chua团队[124–126]通过细胞神经网络(CNN)成功复现了图灵斑图。van Ballegooijen和Boerlijst[127]运用CA规则建立了空间结构化SIRS模型,揭示了二维空间中湍流波与稳定螺旋波的空间构型演化过程。基于文献[123]的CA方法,Liu团队[128]研究了空间结构化SEIR传染病模型,发现混沌域内会自发形成大尺度稳定的不规则螺旋波结构。为阐明疾病灭绝机制,Sun团队[129]提出了包含出生率、死亡率与迁徙率的CA模型,揭示了当感染率过低或过高时疾病在孤立区域长期消亡;而系统存在稳定螺旋波与湍流波共存态时,疾病将持续流行。广义而言,基于偏微分方程的经典反应-扩散系统可视为规则网络反应-扩散系统,因其反应项中的个体假定为均匀混合状态。关于反应-扩散疾病系统的拓展阅读,推荐参阅文献[10]。
1.3.2 规则网络斑图的最优控制
疾病控制是推动传染病动力学数学模型发展的核心动力。在该领域中,研究者们常运用最优控制理论来构建时变防控策略,尤其针对由常微分方程描述的仓室模型。早在二十世纪六十年代,Revelle、Lynn和Feldmann[130]与Taylor[131]就率先探索了流行病学中的最优控制问题,致力于开发特定疫情中经济可行的防控方案。Hethcote与Waltman[132]在研究SIR传染病模型时,基于动态规划技术推导出最优疫苗接种策略。Tuite团队[133]则通过数学模型解析了海地霍乱疫情的区域传播顺序与时间节点,评估了不同防控措施的潜在效应。学界还系统探讨了多种确定性SIR传染病最优控制模型[134]。Bolzoni等[135]针对具备多重控制策略的SIR疾病模型,深入研究了时间最优控制问题。近年来,针对COVID-19疫情的最优控制策略研究取得了丰硕成果(参见[136–138])。
虽然常微分方程最优控制理论在疾病建模中已广泛应用,但需注意控制策略还存在空间维度,这些维度受医疗质量与经济发展等因素影响。因此,将最优控制理论扩展至偏微分方程领域,构建有效的疾病防控策略具有合理性。据我们了解,已有研究者开始运用最优控制理论研究反应-扩散模型(RD)中的斑图调控问题[81,139–145]。例如,Garvie与Trenchea[140]针对非线性”营养盐-浮游植物-浮游动物-鱼类”反应-扩散(RD)系统,提出旨在改善富营养化湖泊水质的最优控制问题。他们进一步采用最优控制方法,探讨经典Gierer-Meinhardt反应-扩散模型(RD)系统的参数辨识[141]。Chang等人[143]率先研究具有非线性发病率的反应-扩散SIR传染病模型,尝试识别流行病模式并实现图灵斑图的最优控制。随后,Chang团队[81]在SIR传染病模型中引入恢复速率的调控函数,提出调控斑图形成的稀疏最优控制问题。最近,Chang等[81]开发新型最小二乘算法,用于辨识SIR反应-扩散(RD)系统中的图灵斑图参数。
1.4 复杂网络反应-扩散系统的斑图动力学与最优控制
本小节将综述复杂网络反应-扩散系统的斑图动力学及最优控制研究。自20世纪90年代末,特别是发现现实网络普遍具有小世界与无标度特性后,复杂网络理论已成为传染病时空传播建模的重要框架。相比规则网络,复杂网络展现出精细的拓扑特征[14],包括度异质性、聚类效应、社群结构及度-度相关性。这些特征能更精确地描述真实人群的疾病传播规律。
1.4.1 复杂网络中的斑图动力学
21世纪初,复杂网络因基础研究(参见文献[24,146,147])引发学界重视。Horsthemke等人[148]首创非规则离散结构模拟耦合化学反应器阵列。该方法虽具新意,却未充分利用复杂网络特征,仅聚焦小型网络且未明确关联网络拓扑与底层动力学。2010年,Nakao与Mikhailov[57]实现重要突破,提出复杂网络图灵失稳的理论推导框架,为网络系统图灵斑图动力学研究奠定基础,并催生系列后续研究[58,60–62,64–66,74,75,149–159]。
复杂网络斑图形成理论已拓展至多种拓扑结构与动力学规则。Asllani团队[58]将反应-扩散(RD)系统斑图理论从无向网络扩展至有向网络,揭示有向网络会引发无向网络不存在的新型失稳。Petit等人[64]研究时序网络中的多物种斑图形成,推导出失稳起始的解析预测式。Asllani研究组[61,62]发现多层网络可产生异质斑图,其形态与单层网络迥异。Gou等人[157]建立严格方法计算一般网络结构下反应-扩散(RD)系统的Hopf分岔规范型,其计算复杂度远超传统偏微分方程系统。现有文献表明,复杂网络斑图动力学多表现为激活节点或抑制节点的稳态分布,其形态受节点度值排序影响。这些研究揭示了网络度分布对斑图形成的调控机制。Chang团队[74]率先量化平均度对斑图形成的影响,通过非线性回归建立定量关系,证明斑图形成概率随平均度增加呈指数衰减。Siebert等人[152]发现缩短网络平均最短路径可增大拉普拉斯谱隙,从而抑制图灵失稳。Luo研究组[75]在经典反应-扩散(RD)系统中考察聚类效应,发现当网络规模与平均度固定时,聚类系数增大会线性削弱图灵斑图的稳定性。另有研究探讨时滞效应[160–162]或交叉扩散机制[73,163–166]诱导的斑图形成,这些研究通常假设交叉扩散项呈线性形式。
由拉普拉斯图描述的网络扩散过程仅考虑成对相互作用[42],并以线性扩散机制运行。近年来,研究将群体或高阶相互作用与非线性扩散(生态学中亦称非线性耦合或散布)引入网络模型[45]。Carletti团队[167]首创性地通过超边平均场方法将图灵理论拓展至超图,该方法等效于构建适当加权网络并在该框架内研究图灵斑图。受此启发,Gao团队[67]揭示单纯复形中的图灵斑图形成机制,发现基于单纯复形构建的反应-扩散(RD)系统所产生的斑图结构,与传统网络存在根本差异。基于Gambuzzo团队[168]提出的同步动力学框架,Muolo团队[86]构建高阶结构图灵斑图的普适理论体系。Wang与Liu[169]探究超图定义的非自治系统,发现其中图灵斑图与时空混沌共存现象,通过结合新型比较原理的线性稳定性分析,推导出图灵失稳与Benjamin-Feir失稳的精确解析条件。Giambagli团队[170]阐明狄拉克算子耦合的拓扑信号反应-扩散(RD)过程,确立图灵斑图生成的核心条件。Ye团队[159]基于多重网络构建通用型反应-扩散(RD)谣言传播模型,通过引入高阶相互作用,明确单层与多层网络图灵失稳的必要条件。Li团队[68]以经典SIR流行病反应-扩散(RD)模型为基底,剖析单纯复形中的图灵失稳机制,并量化单纯形强度对斑图结构的调控作用。
1.4.2 复杂网络中的最优控制
近年来,复杂网络的发展推动了一系列最优控制方法的研究(参见文献[82,171,172])。针对网络化反应-扩散(RD)系统的斑图控制,高等人[79]提出了在网络中生成特定斑图的控制方案,并开发了相应的专用数值算法。刘团队[80]设计的最优控制框架,即使在拓扑扰动的情况下,仍能精确引导系统生成目标波动斑图。此外,基于最优控制理论的反应-扩散(RD)系统参数识别也取得了重要进展:朱和袁[173]在反应-扩散(RD)网络传播模型、李和朱[174]在谣言传播系统、缪和朱[175]在捕食者-被捕食者反应-扩散(RD)系统中均验证了该方法的有效性。
1.5 研究动机与目标
复杂网络具有小世界效应和异质性等固有特征,与反应-扩散(RD)过程结合后,为模拟空间疾病传播提供了强大的框架。过去十年间,网络化反应-扩散(RD)系统的斑图形成研究已成为斑图动力学领域的前沿热点。斑图作为反应-扩散(RD)系统动态特性的集中体现,其形成控制本质上等同于掌控整个系统。通过最优控制理论开发网络化RD传染病模型的斑图调控策略,为遏制疾病传播开辟了新途径。然而,当前学界尚缺乏针对网络反应-扩散(RD)系统斑图最优控制的系统性评述。为此,本文聚焦双重目标:系统梳理该领域斑图动力学与最优控制的核心成果,同时揭示现有研究中悬而未决的关键问题,进而指明该领域未来发展的潜在方向。本文旨在推动最优控制策略在网络反应-扩散(RD)系统中实现疾病防控的实际应用。
因此,本文旨在系统评述网络化反应-扩散(RD)系统中流行病传播动力学与最优控制的研究进展,并就领域核心问题提出洞见与前瞻。全文架构如下:第二章重点研究规则网络化反应-扩散(RD)系统的空间疾病传播动力学及其最优控制;第三章深入解析复杂网络化反应-扩散(RD)系统的疾病传播斑图动力学,着重探讨单层网络、多层网络与高阶网络中的演化机制;第四章系统论述复杂网络化反应-扩散(RD)系统的空间疾病传播最优控制,涵盖反应项与扩散项的优化调控及综合控制策略;第五章总结研究成果并展望未来方向。
2. 规则网络反应-扩散系统中空间疾病传播动力学的最优控制
2. 规则网络反应-扩散系统中空间疾病传播动力学的最优控制
传染病始终是威胁人类生命健康与社会稳定的重大挑战。深入理解疾病传播规律,特别是空间结构化群体中的动态特征,对制定有效防控策略至关重要。本研究聚焦规则网络化反应-扩散(RD)系统的疾病传播动力学与最优控制。这类系统通过构建局部交互与空间扩散的耦合模型,为实际流行病传播场景提供理论框架。运用数学建模与计算技术,我们着力揭示空间疾病传播的内在机理,并提出缓解其影响的优化策略。本研究融合反应-扩散(RD)系统原理与网络理论,为空间结构化环境中的传染病防控开辟新视角。
2.1 规则网络中空间疾病传播的动力学
本节从两个核心视角剖析疾病的空间传播机制:斑图动力学与复杂动力学。斑图动力学聚焦于传染病的时空分布特征,通过数据映射与数值求解,直观展现疾病跨区域的传播路径,解析感染斑块的形成过程,为判断疾病传播的空间斑图提供关键依据。复杂动力学则深入探究区域异质性、人群异质性、扩散特性(包括随机扩散与定向扩散)、非局部相互作用、周期性季节波动、年龄结构、时滞效应及分岔现象(如Hopf分岔)等因素的作用。综合这两种分析方法,能够深入揭示疾病传播的复杂机理,为疫情预测与防控策略构建坚实的理论基础。

图1. 三种传染病的区域分布图。A图展示了截至2001年3月30日记录的口蹄疫病例分布,其中红色圆圈标注了初始感染点,淡蓝色三角标记了Longtown市场。养殖场间的传播链通过连线呈现,突显了Essex(红)、Devon(紫)、Wiltshire(金)与Hereford(绿)四地的接触网络。1967-1968年间的重灾区域则以灰色阴影标注[181]。B图模拟了美国季节性流感的传播态势,灰色背景代表各县的人口规模,黑色实心圆标注了初始病例位置,箭头追踪了主要州人口中心间的传染源传播轨迹[182]。C图对比了Rio de Janeiro两次登革热疫情的峰值强度,峰值比率采用色阶标注:蓝色表示次峰低于首峰,红色表示次峰更高,该差异反映了人口密度差异导致的空间异质性[183]。来源:改绘自文献[181-183]。
2.1.1 规则网络中空间疾病传播的斑图动力学
斑图动力学关注疾病传播的时空分布特征,常表现为感染斑块的不均匀分布。这一研究领域具有双重意义:既能揭示疾病跨区域传播的机制,又能阐明空间流行区的动态演变规律。以流感暴发为例[176],特定区域会形成高密度感染斑块,而其他区域则保持低感染密度,从而形成空间感染格局的差异性分布。这类空间斑图不仅展现了疾病传播的复杂性,还凸显了传播过程中的区域分化现象。研究者多采用反应-扩散方程进行模拟预测。通过求解方程,科学家能够揭示斑块形成的机制及其空间分布规律,进而阐明疾病在区域间的传播路径,并解析感染斑块的演化轨迹。值得注意的是,斑图的形成受双重因素影响:既源于疾病的内在机理,也受到人类行为、人口密度、时滞等外部条件的制约。这些因素的相互作用不仅塑造了疫情的分布格局,更主导着感染斑块的动态演变过程。
当新型病原体出现时,其传播受多重因素影响。行波[177,178]——即疾病发病率的周期性波动——由群体免疫、季节性传播规律[176]及人类行为与分布间的相互作用共同塑造。以季节性流感为例,受地域特征、季节性低谷与疫情持续时间影响,各城市的暴发规模差异显著[179]。此外,城市规模与人口密度同样左右疫情态势,大型城市常呈现绵延的疫情尾部,内部人口密度与流动性差异尤为突出。把握人类分布特征与城市空间结构,是解析传染病时空演变的关键。疾病传播天然具有地域性,人口密度与局部空间结构构成传播态势的核心要素。因此,深入剖析人口结构细节,既是理解传染病传播动力学的基础,亦为优化城市发展模型提供支撑[180]。这种认知可显著提升疾病传播的预测精度。下文将展示实际传染病的空间分布及其时序演变特征(见图1)。
图1展示了三种传染病的区域分布特征,并对A、B、C三图进行了分项解析。子图A显示了英国口蹄疫病例的分布,标注了初始感染点,并勾勒出农场间的传播路径,清晰地展现了疫情的空间扩散轨迹及区域感染强度的差异[181]。子图B模拟了美国季节性流感的传播态势,叠加了各县的人口密度数据,标记了初始病例的位置,并用箭头示意州际间的传染源头与传播方向,完整呈现了流感的扩散规律[182]。子图C采用了从蓝(第二峰低于首峰)到红(第二峰更高)的渐变色,对比了里约热内卢两次登革热疫情的峰值比,空间分布的差异反映了各地疫情强度的不同。基于真实数据的地图精准呈现了疫情的时空演变,直观展示了区域严重程度的差异,有助于理解传染病的动态传播与阶段影响,为评估当前态势、制定防疫策略提供了科学依据[183]。

图2. 年龄分层接触矩阵展示如下:(A) 武汉人口接触矩阵仅包含工作日接触数据。每个单元格数值表示两个年龄段人群的平均接触次数,颜色深浅对应接触频率。该矩阵采用抽样法构建,使用武汉实际年龄分布替代调查样本权重,每个单元格基于100多次抽样结果计算平均值。(B) 武汉疫情期间接触矩阵,年龄分层方式与(A)相同。(C) 基准接触矩阵与疫情时期接触矩阵的差异对比。来源:改编自文献[184]。
接触矩阵不仅能够直观呈现传染病的空间分布,还能揭示疫情传播的动态变化。图2展示了年龄分层接触矩阵:图A反映了武汉各年龄组在日常生活中的接触模式,单元格数值代表特定年龄组与其他组个体的平均接触次数,颜色深浅显示接触频次;图B展示了疫情期间的接触矩阵;图C通过色差直观呈现了两时期矩阵的差异[184]。这种数据驱动的可视化方法显著提高了疫情评估的准确性,为制定精准的公共卫生策略提供了科学支撑。
斑图,尤其是基于反应-扩散(RD)系统描述的图灵斑图,已成为研究前沿热点。这类斑图作为反应-扩散方程的特解,对阐明传染病空间分布规律具有关键价值。通过系统性解析方程,研究者得以揭示不同层面的内在机理与演化特征。观测到的斑图形态不仅由疾病传播动力学决定,更受环境要素制约。具体而言,方程中的反应项刻画疾病传播机制,扩散项描述病原体空间传播过程。因此,深入探究反应-扩散(RD)系统的斑图动力学特性,对理解感染斑图的空间构型与时间演变规律具有核心意义。我们以经典SIR模型为例,其控制方程组定义如下:

其中非线性反应项 and 分别主导易感群体S与染病群体I的浓度变化。扩散系数 and 表征空间传播强度, 。忽略扩散效应时,系统特征方程退化为:
满足 and 。研究焦点为稳定正平衡点 。在此平衡点附近施加如下非均匀扰动:

我们得到以下特征方程:
式中 and 。因波数 恒为正, 始终为负。故欲形成图灵不稳定性,亦须为负。该条件可表述为:,,,

图3. 感染个体的图灵斑图。第一行显示不同感染率下的稳态斑图:(a)红眼斑图;(b)红眼-条纹混合斑图;(c)条纹斑图(据文献[81]改编)。第二行展示个体 点状斑图时序演化:(d)t=50,(e)t=250,(f)t=1000。图(g)展示感染个体空间分布(据文献[185]改编)。资料来源:基于文献[81,185]制作
基于图灵斑图生成机制,图3展示了传染病斑图的具体示例:通过不同感染率对斑图形态的影响,模拟疾病时空演变规律。图中感染者空间分布地图兼具双重功能——既全面评估疫情严重程度,又为科学预测和防控决策提供支撑。这些可视化成果深化了对疾病传播动力学的理解,为公共卫生干预提供了关键依据[81,185]。
我们的研究突出了几个关键方面。首先,采用数据驱动的可视化技术,精准呈现疾病在网络空间中的分布格局与演变态势。其次,基于反应-扩散方程推演传播规律,建立不同参数条件下疾病传播的理论模型。第三,将方程数值解转化为可视化图谱,直观展现疾病传播的具体场景。最后,数值解的时空分布图清晰勾勒出疾病随时间和空间延展的全过程。这些成果不仅深化了对疾病传播机制的理解,更为公共卫生策略的科学制定提供了坚实依据。
2.1.2 规则网络化反应-扩散系统中空间疾病传播的复杂动力学
为阐明疾病在空间维度的传播规律与全局行为特征,本研究通过构建传染病模型中的反应-扩散方程,深入探究了复杂动力学机制。研究系统分析了疾病传播的空间斑图、传染机制与分布预测,同时重点考察了稳态解的灭绝性、持续性及渐近性质。其核心在于揭示初始感染数 对疾病存续或消亡的决定性作用。为了评估这些动力学,该研究运用从属算子方法、谱理论与持续性理论等先进数学工具,精确计算了系统特征值并描述了稳态解特性。借助Harnack型不等式与极值原理方法,定量解析了扩散系数变化对稳态解渐近行为的影响。这些分析为揭示疾病传播的空间分布规律提供了坚实的理论支撑。基于上述成果,研究进一步整合了异质性[120,187,189]、非局部相互作用[190,191]、时滞效应[192]、随机扰动[120,193]、季节周期[187]与年龄结构[193]等多重要素,构建了复合传染病模型。各要素的协同作用深化了对传染病动力学的多维度认知。后续章节将系统阐释这些模型在解析现实复杂环境中疾病传播与演化规律方面的重要价值。
近年来,研究愈发聚焦于反应-扩散系统的异质性特征,深入探究其对疾病传播动力学的影响。这一研究既涵盖了空间异质性对疾病扩散的作用机制,也包含了非局部效应与周期性等复合因素的探讨。研究特别针对传播率 和恢复率 的空间异质性展开了深度解析[120]。通过理论推导,严格证明了模型的适定性,并精准确定了初始感染数 的有界性。深入研究表明, 随参数变化呈现严格单调且渐近收敛的特性。基于持久性理论,当 >1时,疾病将持续流行。研究不仅论证了模型解的存在性、唯一性与稳定性,更揭示了方程(9)中随机扩散的调控作用:相较于常微分方程模型,异质随机扩散能更有效地分隔易感者与感染者群体,从而降低疫情规模。

其中 ( ) 为具有光滑边界 ( )的有界区域, 表示 上的单位外法向量。函数 和 分别表示时刻 、位置 处易感者与染病者的种群密度。扩散速率 和 均为正常数。空间函数 和 分别表示 处的疾病传播率与康复率,两者均为Hölde连续函数。 和 分别描述易感群体与染病群体在 处的扩散速率。此类Fokker–Planck 扩散可表述为:
彭等学者深入探究了时间周期性作用机制,基于前人研究建立了 相关的阈值型全局动力学判据[118]。该工作阐明了感染者扩散率 和 的渐近关联,揭示了时空异质环境对疾病消长的双向调控效应。研究表明:时空异质性与时间周期性结合,显著增强了疾病持续传播;单独考察任一要素,则削弱了传播强度。当聚焦传播速率的空间异质性时,时空参数可精准表征人际传播的季节波动与地域差异[187]。数值模拟显示,细菌平流系数v与下游流失率c相互作用时,空间异质性既能遏制霍乱感染规模,亦可激化疫情扩散,呈现疾病传播的多重复杂性。另一研究[194]理论证实:在传播率与康复率恒定,或易感者与感染者扩散率相等时,则无病平衡态具全局吸引力; 时地方病平衡点具有全局吸引性,表明疾病传播既受参数调节,也由基本再生数决定。
在对空间异质性如何影响疾病传播的深入研究中,科学家发现该特性通常能促进传染病扩散[195]。除空间异质性外,研究同时考察非局部效应,通过引入非局部(卷积)扩散算子精确描述其作用机制。式中 表示位置x与时刻t的密度, 代表从y到x的转移概率分布。 衡量个体从其他位置抵达x的速率, 则对应个体从x流出至其他位置的速率。研究定义了初始感染数 ,用于分析非局部扩散SIS传染病模型中稳态解的存在性、唯一性及稳定性,同时考虑大规模扩散效应。研究揭示:当传播率 高于康复率时,疾病通常持续流行;若 低于 ,疾病则趋于消亡。但考虑空间异质性时,即便在区域,疾病仍可持续传播,突显空间异质性对疾病扩散的强化作用。具体而言,局部传播率低于局部康复率时,该区域划为低风险区,反之为高风险区。当时全域属低风险,时全域归高风险。从生物学角度看,即使物种栖息地以低风险区为主,只要存在高风险区且染病个体迁移缓慢,疾病仍可蔓延。反之,染病者快速迁移会抑制传播。总体而言,物种栖居高风险区易致疾病持续流行,栖息地以低风险区为主则易被根除。这些复杂动力学机制为疫病防控提供了关键洞见[195]。
进一步研究探讨了非局部效应对反应-扩散系统中疾病传播的影响。Wang [120]通过构建上界解确定了传播速度的上限,并引入含非局部时滞的辅助方程推导下界,从而界定了传播速度的理论范围。Zhao团队[196]发现人类迁徙模式具有类似Lévy飞行的重尾分布,呈现出无标度非局部动态特征,由此采用非局部扩散模型解析了这类扩散驱动的时空演变。研究表明,初始感染数是判断疫情平衡态存在及稳定性的关键阈值:在低风险区域,扩散速率与分数阶指数均显著影响该阈值。新冠疫情期间的实证观测显示,人类移动模式同样具备类似Lévy飞行的重尾无标度特征,该研究为此现象提供了理论支撑[196]。Sun团队[191]针对口蹄疫传播的非局部感染特性,建立了包含非局部感染与时滞效应的流行病模型,证实初始感染数是决定疫情走向的分界点——当时疾病消退,反之将持续扩散。
文献[191]系统探究了扩散、非局部效应与时滞对动力学现象的影响。当初始感染数时,扩散对稳态达成时间的影响因感染水平而异:在低感染水平下,染病个体与病原体扩散加速会缩短趋稳时间;而在高感染水平时(即值较大),扩散效应趋于复杂——整体趋稳时间虽缩短,但对感染密度与空间分布的关联更为精细。对、参数的敏感性分析显示,与平衡感染水平在平面上形成了分区结构。两个参数相关曲面的交线将平面划分为不同区域:当和分属不同区域时,与的敏感性响应各异。特别地,当两参数同为极值(极高或极低)时,对口蹄疫传播的影响更为显著。研究证实,控制染疫群体、隔离疫区是有效防控手段,同时确立了扩散机制在疾病传播中的核心作用。文献[190]深入探讨了不同扩散速率下传染病的存续与消亡,阐明了局部稳态的渐近分布规律。由于局部稳态存在不规则特征,其序列极限函数的求解难度剧增。当染病个体扩散率趋近于零时,会出现聚集现象。结论明确指出:仅限制易感个体流动无法根除疫情,除非群体总量保持较小规模。
2023年,刘等人[192]系统解析了时空异质性与非局部时滞在反应扩散系统中的耦合效应,重点针对布鲁氏菌病传播动力学展开研究。研究团队依据临床症状与感染特征的差异,将绵羊布鲁氏菌病划分为急性和慢性两类,并据此构建了SLICB动力学模型(易感-潜伏-急性-慢性-布鲁氏菌)。该模型有机融合了季节性变化、空间异质格局及非局部时滞效应,既明晰了疾病传播的内在规律,又精准量化了疫情扩散的风险层级。SLICB模型的偏微分方程组表述如下:

在此模型中,参数函数呈现周期性变化。 和 分别表示易感绵羊、潜伏期绵羊、症状感染绵羊及环境中布鲁氏菌的正扩散率。需要注意的是,急性和慢性感染绵羊均属于症状感染类别,且采用相同的扩散率。关键参数包括:补充率,接触感染率——分别对应易感绵羊与急性感染绵羊、慢性感染绵羊及环境布鲁氏菌的接触传播。参数b表示症状感染群体中急性病例的比例。函数反映了因治疗或管理不足,急性感染转为慢性感染的概率。急性与慢性感染绵羊向环境释放布鲁氏菌的密度分别为()。感染动力学由以下函数描述:
式中,S、I、C、B分别表示位置x与时间t的易感个体、急性感染个体、慢性感染个体及布鲁氏菌种群密度,对应感染反应时滞时长。附加死亡率与清除率分别为:,,,。其中表示潜伏期羊群()和有症状感染羊群()的监测扑杀率,与分别指羊群自然死亡率及布鲁氏菌自然衰减率,为环境中布鲁氏菌的清除速率。
基于前述模型及描述,得到如下结果。图6(a)显示随潜伏期延长呈现单调递减趋势。这一现象与羊群潜伏期延长密切相关——更长的潜伏阶段能够抑制布鲁氏菌在环境中的蓄积,从而降低接触暴露与继发感染的可能性。观察图6(b)可以发现,提高染病羊群与布鲁氏菌的扩散速率能够有效抑制布鲁氏菌病的传播。扩散速率的增加能够降低羊群接触传播的概率,这为疫情防控提供了新的途径。因此,延长潜伏期并增强扩散速率,是控制疫情的双重有效策略。图6(c)对比了仅考虑急性感染与慢性感染的染病羊群密度变化。结果表明:仅关注急性感染会高估布鲁氏菌病的传播风险,而仅考虑慢性感染则会低估该风险。因此,区分急慢性感染对于精准评估传播风险、优化防控措施至关重要。在模拟分析前根据症状对染病羊群进行分类,可以获得更准确的预测结果。图6(d)进一步证实:仅分析急性感染会高估染病羊群密度,仅关注慢性感染则会产生低估。这种分类既揭示了两类感染平均密度的显著差异,也展现了不同条件下达到稳定病程所需时间的波动规律。最后,图6(e)与6(f)显示:调整繁殖高峰期时间对急性感染羊群密度峰值影响微弱,但能推迟繁殖时间并加速系统达稳。该发现为把握干预时机提供了重要依据,为布鲁氏菌病疫情的预防预警构建了理论框架。

图6. 参数对疾病动力学及种群特征的影响。(a)初始感染数 随潜伏时滞增大而递减。(b)随有症状感染羊与环境布鲁氏菌扩散速率增加呈下降趋势。(c)揭示急性与慢性感染对有症状感染羊密度的差异性影响。(d)季节振幅对有症状感染羊密度的影响机制:当且时,密度对应急性感染区的有症状羊;且时,反映急慢性感染羊共存状态;且时,则表征慢性感染区羊群。(e)1月至3月期间急性感染羊密度的时序演变。(f)生育峰值曲线展示1-3月间出生率的时序分布特征。 来源:改编自文献[192]。
除了探究反应-扩散系统中影响传染病动力学的各类因素,本研究深入分析了稳态系统在扰动作用下的行为特征。当固有分岔参数变化时,常微分方程模型通常经历鞍结分岔、跨临界分岔或叉式分岔等常规分岔,进而实现稳定。然而,通过额外参数引入的外部扰动会诱发更复杂的分岔现象:这类扰动不仅破坏原始分岔的对称结构,还可能使鞍点与结点平衡态分离,最终形成不完全分岔或扰动分岔。众多学者对此类复杂分岔现象展开深入探讨,例如文献[197]构建了包含持续输入或感染者隔离机制的传染病模型,发现当输入速率或隔离率变化时,系统会出现类似的不完全分岔与 Bogdanov– Takens 分岔。值得注意的是,在此类模型中,种群储备、资源捕获、输入调节及隔离管理等干预手段,会对生物系统与流行病系统产生显著差异。因此,实施前需审慎评估这些措施,因其可能对系统造成重大且多变的影响。文献[198]聚焦不同初始感染数对应的分岔过程,针对具有广义非单调发生率 的易感-感染-康复(SIRS)传染病模型展开研究。研究证实当满足 时,不再作为疾病传播的唯一阈值,而引入的亚阈值 (即 )将导致多重传播态势(详见图7)。
(i) 当初始感染数R0<R 时,无病平衡点全局渐近稳定;
(ii) 当R0=R时,存在唯一局部平衡点,表现为至多三维的幂零鞍点;
(iii)当R*<R0<1时,出现两个局部平衡点:其一为至少三重弱多重焦点,其二为鞍点;
(iv)当R0≥1 时,存在唯一具弱焦点的局部平衡点,呈现至少三种多样性态。

图7. 余维1霍普夫分岔:(a) 超临界霍普夫分岔;(b) 亚临界霍普夫分岔。来源:改编自文献[198]。
参数变化时,模型会发生鞍结分岔、后向分岔、三维波格丹诺夫-塔肯斯分岔、三维霍普夫分岔及三维退化霍普夫分岔。研究表明:心理效应参数 存在临界值 ,感染率k有临界值 ,参数 则具有双临界值与() 。这些临界值决定疾病会逐渐消亡、持续周期性振荡,或趋于稳态共存,具体取决于初始种群规模。数值模拟证实存在一至三个极限环。如图9所示,该图展示了特定平衡点附近超临界霍普夫分岔产生的稳定极限环。相较于文献[197,198],文献[199]在纳入心理效应与聚集效应等客观因素时,深入解析了分岔过程。研究发现参数变化会引发鞍结分岔、余维波格丹诺夫-塔肯斯分岔、余维霍普夫分岔及退化霍普夫分岔。心理效应存在临界值 ,感染率则具双临界值k=k0,k1(k0<k1) 。这些临界值决定种群将走向消亡灭绝,或通过多重正周期振荡与稳态达到持续共存。

图8. 系统(1)在图灵-霍普夫分岔点附近,随参数 和微小扰动产生的分岔图、相图及动态响应。(a)二维参数空间中标准形式的分岔图。(b)对应(a)的相图:绿点表示稳定态,红点表示非稳态。(c)—(f)感染人群的时空演化。(g)—(j)易感人群的时空分布。来源:译自文献[200]。
复杂的时空斑图常现于图灵-霍普夫分岔点邻域。为探究该区域动力学特征,研究者常采用规范型分析法——这种经简化的非线性系统能精准捕捉分岔点附近的动力学特性。通过降维处理,可有效预测参数扰动引发的各类动力学行为。孙等学者[200]系统推导了反应-扩散系统在图灵-霍普夫分岔点附近的规范型形式,为阐明传染病时空演化机理奠定基础。本文着重研究经典的易感-感染(SI)反应-扩散系统,其控制方程组表述如下:
其中 ( S ) 表示易感人群,( I ) 代表感染人群,二阶导数项为和 。参数和 分别对应补充率、传播率、自然死亡率、疾病引发的感染者死亡率,以及易感者与感染者的扩散速率。实值Sobolev空间定义为:
其内积定义为:
正平衡态 是研究核心。对应的偏差量可展开为:
其中 为诺伊曼边界条件下拉普拉斯算子的特征函数。为了确定图灵-霍普夫分岔条件,需要计算其规范形为:
其中表征扩散系统的时间动态,s对应空间动态。系数、、、、和均为分岔参数的函数。分析系统(12)可得系统(11)在图灵-霍普夫临界点附近的分岔图(见图8)。研究表明,参数微小波动即可引发四种时空模式转变:均匀定常态、空间周期态、时间周期态及时空周期态。

图9.(a)系统(1)在 时的分岔图,显示感染者密度L2范数随分岔参数 变化的关系。实线代表稳定解,虚线表示不稳定解,系统尺度L=100。黑色直线对应无感染者的空白态,黑色曲线表示感染者均匀分布的状态。蓝色曲线展现周期态分岔,红色曲线显示由多种混合态组成的同宿蛇行结构,洋红色曲线表示多个单脉冲解。(b)图(a)中红色曲线局部放大图。(B1)-(B5)对应图(a)标注位置的解形态。来源:改编自文献[200]。
数值模拟验证了理论分析(见图8)。图8(c)与(g)分别展示了区域内感染者与易感者的时空分布,表明原始扩散系统(11)具有空间均匀的稳态解。在区域中,系统呈现出空间周期性稳态解(见图8(d)和(h)),这也印证了图灵不稳定性的存在。图8(e)和(i)显示了系统在、区域收敛于时间周期解。与区域的时空周期解如图8(f)、(j)所示。为了考察关键参数变化对感染者时空分布的影响,选取作为控制参数。通过AUTO-07P数值延拓软件构建模型(11)的解分岔结构(图9),该分析可明确多重稳态共存的参数范围。
在反应-扩散模型中求解图灵-霍普夫分岔的范式,为理解和预测复杂时空斑图构建了核心数学框架。该研究不仅深化理论认知,更为传染病传播控制提供了切实指导。
本节揭示复杂系统内疾病传播的精密动力学,着重阐明多重因素如何影响疫情扩散。系统解析异质性、非局部相互作用、扩散过程及复杂分岔机制对传播的作用机理。尽管多种因素交织影响传染病传播,本研究为理解规则网络中疾病传播的复杂动态奠定理论基础,并为未来制定高效防控策略提供科学支撑。
2.2 规则网络中的斑图最优控制
传染病对公众健康构成重大威胁,可能引发大规模疾病流行、死亡激增与经济动荡,同时使医疗系统不堪重负。因此,在流行病学领域,有效控制与管理疾病暴发仍是亟待解决的难题[201]。规则网络具有均匀的度分布特性,每个节点连接数量相同,这种结构为模拟疾病在人群中的传播提供了基础框架[25]。通过研究并优化这类网络的传播斑图,可设计精准干预策略,有效遏制疫情扩散。
本节深入探讨最优控制理论在疾病管理中的应用,着重阐释如何实现高效定向的疫情应对。最优控制理论提供数学框架,在最小化感染规模与控制成本间寻求平衡[202]。在此框架下,我们探索三种互补方法:最优控制、稀疏最优控制与局部最优控制。每种方法都为疫情防控提供独特视角。
最优控制通过数学模型识别干预策略,既能最大限度抑制传播,又可降低控制成本,旨在实现公共卫生最优管理。稀疏最优控制在传统理论中引入稀疏约束,确保干预措施既有效又节省资源。该方法聚焦网络关键节点或连接,优化资源配置效率。局部最优控制专注于特定区域或子群体实施策略,强调局部措施对提升疾病管理效能的核心作用。
这三种方法共同构建了管理规则网络传染病的多层次体系,助力实现精准、高效且资源节约的公共卫生干预,最终强化传染病防控能力。后续章节将逐项剖析这些方法,阐明其在疫情防控中的原理、方法与实践应用。
2.2.1 最优控制
在规则网络中,节点代表个体或群体,边则代表疾病传播的接触关系。规则网络的均匀连接度(节点度)简化了传播模式的研究,为分析疾病传播提供了一个稳定的框架。这类网络的疾病传播动力学特性可以通过数学模型来描述,例如易感-感染-恢复(SIR)模型或易感-潜伏-感染-恢复(SEIR)模型。这些模型整合了疾病传播概率、康复过程等参数,能够精确刻画网络内部的传播机制[203,204]。
规则网络的疾病最优控制通过调控疫情的时空分布来遏制传播。下文将阐述在常规规则网络中研究最优控制策略的方法与流程。其核心目标是在控制干预成本的同时,最小化疾病的空间分布,使其趋近于期望的目标状态。通常,目标函数在两个相互竞争的目标之间寻求平衡:(1)随时间推移使感染分布逐步接近目标状态;(2)将防控措施的成本降至最低[205]。目标泛函定义如下:
式中, 表示节点i在t时刻的感染个体数量,为同一时刻该节点的目标感染人数, 代表节点i采取的控制措施。非负权重系数a和b分别调控两个目标:前者对应感染水平与目标的偏差最小化,后者对应控制措施的成本强度优化。节点总数N体现网络整体影响,时间积分从t=0到t=T累计了控制策略在时段T内的持续效果。
该优化问题需寻找使目标函数 最小化的控制策略 ,需同时满足两个约束条件:既要符合疾病传播动力学规律,又受限于控制措施的附加限制。具体数学模型表述如下:
需满足系统动力学约束
其中 和 为状态变量,分别表示节点i在t时刻的易感者、感染者及康复者数量。表达式 与表征网络扩散,其中 为扩散系数,是拉普拉斯矩阵L的组成元素。函数 为反应项,描述节点i内易感者、感染者及康复者群体的局部动态,这些函数多基于流行病学模型建立,体现疾病传播机制与防控措施效果。控制变量 须限定于可行控制集 范围内:
方程(14)-(16)共同构成了最优控制框架的理论基石。通过求解该方程组,可以得到有效防控疾病传播所需的最优控制策略。模型中的目标泛函J可依据不同场景灵活调整,既能实现最小化感染人数,也可控制疫情峰值,还能优化干预措施的经济成本。
在疾病传播模型中,控制策略分为药物干预与非药物干预两类,二者均为疫情防控的核心手段。疫苗接种和治疗等药物干预措施,能直接减少疫情中的易感人群与感染人群。研究表明,科学部署这类措施可显著改变疾病传播态势[206–209]。以Towers团队研究为例:他们发现社交接触模式会显著影响防控效果,这在流感等疾病中尤为明显。其研究证实,针对老年群体等高风险人群精准投放疫苗与治疗资源,可使防控效能倍增[206]。基于此,Mehdaoui团队构建了包含异质非线性发病率的多群体反应-扩散SIR模型[210]。该模型既考量亚群体间传播动力差异,又为易感者开辟疫苗接种路径,为感染者设计多样化治疗通道。通过严格数学论证,他们确立了固定控制措施下生物学可行解的存在性与唯一性。仿真结果表明,根据群体特征优化配置药物干预资源——尤其是依据传播斑图精准调配——能有效改变疾病扩散轨迹,凸显资源定向配置的战略意义(图10)。
另一方面,在药物干预手段缺乏或有限的情况下,非药物干预措施(如隔离、社交距离和检疫)往往起到关键作用。Perkins等人分析了COVID-19疫情期间的最优控制策略,指出严格的社交距离等非药物干预措施尽管会带来一定的社会和经济成本,但在遏制疫情暴发方面非常有效[211]。在另一项相关研究中,Chang等人探讨了一种斑图最优控制方法,该方法以移除(康复或隔离)率(γ)作为控制变量,以实现较低的NSPA(归一化严重流行区域)为目标状态,从而达到传染病防控的目的[143]。数值仿真验证了该控制方法在控制效果、精准度和成本效益方面的有效性。如图11(a)所示,在高传播率(β)条件下,异质化地调整移除率(γ)能够显著降低感染人群空间分布的NSPA。进一步分析发现,在控制过程中,目标泛函值随迭代时间逐渐趋近于零(图11(b)),该现象清晰地展示了该方法在实现预定控制目标(尤其是降低感染人数)方面的有效性。此外,相对误差随时间逐渐降低至零(图11(c)),验证了数值仿真方法的准确性和稳定性,进一步支持了该最优控制方法在实际应用中的可行性与可靠性。
2.2.2 稀疏最优控制
稀疏控制是一种战略性的传染病控制方法,强调干预措施的高效性和选择性实施。其主要目标是在显著减少疾病传播的同时,尽可能减少资源和干预手段的使用。该方法通过识别并针对在人群或网络中对疾病传播最为关键的个体、地点或连接进行控制[212,213]。通过集中资源干预这些高影响区域,稀疏控制相比于覆盖整个群体的策略,能够以更少的资源有效遏制感染。
与覆盖全人群的策略相比,集中资源作用于高影响力节点,能以更低成本有效遏制疫情。这种方法在资源有限时尤为重要,尤其适用于全域统一防控难以实施的场景。例如,面对高传染性疾病暴发时,优先为接触频繁者或密集区人群接种隔离,效果远胜全民防控。通过锁定高风险目标,稀疏控制可高效斩断传播链,其效率远超全民接种隔离方案。

图10. (a)未接种疫苗与未治疗感染亚群的空间分布。(b1)-(b3)不同接种治疗策略下感染亚组的空间分布。(c1)-(c3)接种治疗协同的最优策略空间分布。(b1)(c1)第一亚群最大允许接种率与治疗率与第二亚群相同。(b2)(c2)第一亚群最大允许接种率与治疗率高于第二亚群。(b3)(c3)第一亚群最大允许接种率与治疗率低于第二亚群。来源:改编自文献[210]。
在网络传染病控制中,可通过调整目标函数引入稀疏约束,在降低控制成本的同时抑制传染病的传播。两种常用的促进稀疏性的范数是: 范数与 范数[214–219]。 范数统计控制输入的非零元素数量,通过限制过多干预实现稀疏性。含 范数的目标函数表达式如下[214]:
其中 表示控制向量 的 范数,为权重因子,用于平衡控制措施稀疏性与目标泛函中其他项的关系。另一种方案是将控制输入的 范数纳入目标函数,其表达式为[218]:
此时用控制输入的 范数 替换稀疏性促进项。 范数通过促使控制输入幅值随时间保持较小来增强稀疏性。相较于 范数, 范数允许连续松弛特性,使优化问题更易求解。这种方法既保持了稀疏控制的本质,又通过平滑优化曲面并简化求解过程,从而带来计算优势。参数 同样用于平衡稀疏项与轨迹跟踪项、控制能耗项之间的相对重要性。

图11。(a)实施控制后感染者空间分布的归一化严重流行区域(NSPA),以及控制过程中控制变量强度的时空积分均值。横轴表示不同传播率下感染分布的目标状态,左纵轴显示控制变量的时空积分均值(带方框标记的黑线),右纵轴标示NSPA数值(带三角标记的红线)。(b)与(c)展示控制过程中目标函数值及相对误差随迭代次数的变化,各色虚线代表不同目标状态。来源:改编自文献[143]。
这些目标函数旨在平衡三个核心目标:(1)轨迹追踪——最小化实际感染水平 与目标水平 的偏差;(2)控制成本优化——降低防控措施 的实施强度与资源消耗;(3)稀疏性促进——限制干预范围以提升资源效率。选择 范数或 范数视具体需求而定: 范数通过严格限制非零控制项实现精准稀疏, 范数则通过调控变量幅值构建便于计算的替代方案。这种灵活设计使稀疏控制适用于多种疫情场景,在遏制疾病扩散的同时实现资源利用最优化。
最新研究表明,稀疏控制在传染病防控中成效显著。例如,Chang等人[81]基于SIR(易感-感染-康复)传染病模型构建的稀疏最优控制框架,通过引入稀疏促进项精准定位关键区域与人群。该模型在精简控制节点的同时,仍能有效遏制疫情传播。图12显示,虽然相对误差随稀疏度上升而递增(图12(c)),但整体误差始终维持在较低水平,证实稀疏控制既能保持防控效力,又可大幅削减成本(图12(b))。这为优化防疫策略——尤其在资源受限的环境中——开辟了新路径。总体而言,稀疏控制已成为传染病防控的利器。它特别适用于网络化群体,通过精准施策,能以最少资源切断传播链条。未来研究需持续探寻控制精度与资源投入的平衡点,以应对新型病原体涌现和社会网络日趋复杂的双重挑战。
2.2.3 局部最优控制
局部控制策略基于网络各区域对疫情传播贡献不均的原理。在规则网络中,虽然各节点连接数可能相同,但不同节点与区域的影响力仍会因疫情初始条件、易感者与感染者的空间分布等因素产生显著差异。将资源(如疫苗接种、治疗或隔离措施)集中投放于网络关键区域,可更高效抑制疾病整体传播[220]。疫情防控中的局部最优控制策略主要体现于三大维度:空间、时间与人群。这些维度使资源能精准投放至最需要的区域、时段或人群子集,从而提升防控效率与效果。
在空间维度上,传播网络被划分为多个区域或节点,对高风险地区及疫情快速扩散区实施严格管控。具体措施包括:重点区域强化疫苗接种、加强隔离措施、提高治疗率。时间维度则关注疾病传播动态,在疫情初期或高峰期等关键时段集中资源,在低传播期则减少干预力度。人群维度将居民分为易感者、感染者、康复者等子集,对高风险群体实施定向干预。例如优先为易感者接种疫苗,或向重症患者倾斜治疗资源,都能显著提升防控效能。通过统筹空间、时间与人群三维度,局部最优控制为传染病管理提供了灵活高效的解决方案。
此外,设计局部最优控制策略需以构建目标泛函为基础,该泛函用于量化并优化干预措施的有效性。针对空间、时间及人口控制三个维度,可构建不同形式的目标泛函,从而指导管控措施的精准实施。空间局部控制的核心在于聚焦资源,将其集中投放在网络中的高风险区域或节点。此时,目标泛函旨在引导控制措施落实于关键区域,使感染人数趋近目标状态。具体而言,该泛函需达成双重目标:既要最大限度减少感染水平与目标的偏差,又要有效控制高风险区域实施措施的运作成本。典型空间目标泛函表达式如下:
其中集合 代表网络中的高风险子集。该目标函数为空间局部化控制策略提供了结构化框架,确保资源能够精准投放至最急需的区域。通过明确纳入感染目标与成本约束,该公式可支持高效策略的设计,使防疫力量集中作用于高风险区域。此机制尤其适用于区域间易感程度和风险等级存在差异的网络,既可实现战略布局,又能做到精准施策。

图12. (a1)–(a3) 展示了不同稀疏度下控制变量零值率在各时间点的分布情况,稀疏度从左至右逐步增大,分别对应c=0、0.01与0.04。(b) 呈现了不同稀疏度下控制变量的时空平均强度。(c) 则描绘了感染者空间分布与目标分布的相对误差随稀疏度的变化趋势。来源:改编自文献[81]。
时间局部控制针对动态变化,聚焦关键时期(如疫情暴发初期或传播高峰期)实施干预。时间控制目标函数需兼顾感染水平与特定时段防控成本。其数学表达式为:
式中,表示关键时段,例如疫情初期或传播高峰阶段。该函数旨在优化防控资源配置,在亟需的时空节点集中投放资源。
从人口统计学上讲,局部控制针对特定人群亚组(如易感者、感染者、康复者)制定差异化策略。此类目标函数需同步呈现亚组感染动态与防控成本。典型群体目标函数可表达为:
其中 表示人群中高风险亚群的集合。第二项
对应特定亚群控制措施的实施成本。通过向高风险亚群倾斜资源,该函数可优化疫苗接种或治疗等干预措施,充分保护最易感或传播力最强的人群。
构建空间、时间与人群维度的局部控制目标函数,为规则网络疫情防控建立系统框架。这些函数能精准量化特定区域、时段及人群亚组的控制效果,实现资源最优配置。结合网络结构与疫情动态调整措施,局部策略显著提升防控效能,在资源受限或复杂网络中效果尤佳。最新研究系统探讨了局部最优控制的理论与实践,验证其在结构化网络疫情管控中的有效性。Laaroussi团队[221]针对埃博拉疫情构建区域控制模型,主张重点管控高风险子区域。其研究表明,优化目标区域治疗强度可低成本阻断传播链,遏制跨区域扩散(图13)。该团队进一步将空间异质性与人群流动纳入SIR模型,实现基于感染风险动态调整控制措施[222]。这些成果揭示空间与人群要素在策略设计中的核心地位,既提供数学模型框架,又获得实证支持。综合而言,研究不仅确证规则网络中局部控制的有效性,更为整合空间、时间与人群要素提升疫情防控提供理论基石。
3. 复杂网络化反应-扩散系统中空间疾病的斑图动力学
3. 复杂网络化反应-扩散系统中空间疾病的斑图动力学
根据对节点和边的界定,相关研究主要分为两类:第一类将节点视为独立个体,边表示人际接触,对应物理层面的直接互动;第二类通称为反应-扩散系统模型,将节点定义为空间位置,边表征区域间的连接关系。在此框架下,节点内的物理接触推动疾病传播,边对应个体跨区域流动,促进病原体的空间扩散。本章着重探讨复杂网络中的传染病反应-扩散系统,阐明其运行机制,并剖析网络中的各类现象——尤其是空间分布斑图的生成机理。
3.1 高阶网络中的斑图动力学
复杂网络按结构层次可分为单层网络与多层网络。下文将通过疫情传播案例,解析反应-扩散系统在两类网络中的斑图动力学。

图13. 不同控制策略下的感染者时空分布,每行代表不同场景。(a)-(d)首行显示无防控措施时的传播状态:(a)(c)中疫情始发于网络边缘,(b)(d)中疫情源于网络中心。(a)(b)第二、三行展示不同区域实施防控的差异;(c)(d)第二行显示圆形防控区域,第三行显示矩形防控区域。(c)(d)第二、三行均采用疫苗结合治疗的防控策略。色条表示感染强度,红色代表高感染区域,蓝色代表低感染区域。来源:引自文献[221,222]。
3.1.1 单层网络中的斑图动力学
为探讨单层网络 (即一般的复杂网络,如小世界网络、无标度网络) 的流行病传播斑图动力学,我们首先介绍几种经典单层网络类型。本综述旨在达成两个目标:既帮助读者区分前节所述的规则网络与本节研究的复杂网络,又为后续探索复杂网络丰富的动力学特性奠定基础。
网络中的反应-扩散系统是研究疾病传播空间动力学的核心框架,亦是本节研究重点。在单层网络体系内(见图16[223]),反应物既在节点内部相互作用,又沿连接节点的边扩散。以疫情传播为例:不同感染状态的个体在节点间发生反应,在节点间的连边进行扩散。根据菲克定律,反应物从节点i到节点j的扩散速率通常与两节点浓度差成正比。需注意,图16虽仅展示了感染者和被感染者的状态,实际建模时可拓展纳入更多感染状态。
影响单层网络反应-扩散系统动态演化的核心要素有二:反应项特性与网络拓扑结构。本研究聚焦反应项的作用机制。两类经典反应类型如下:
图17展示航空网络中两类反应形成的稳态分布,节点尺寸与其承载的个体数量成正比。Ⅰ型反应呈现异质稳态——各节点反应活跃度与自身个体数量正相关(此关联源自网络拓扑结构);Ⅱ型反应则形成均质稳态,所有节点反应活跃度保持恒定,既不随个体数量变化,亦不受网络拓扑影响。
图17(a)展示了非均匀稳态的近似图灵斑图。这种空间异质结构的形成,源于扩散作用引发的系统均匀稳态失稳现象,该过程被称为图灵不稳定性。作为自组织现象的典型范例,图灵斑图在跨学科领域中兼具重要的理论价值与实践意义,持续引发学术界的广泛关注。

图16. 网络反应-扩散系统示意图。该系统中,反应物在各节点内部相互作用,并通过连接链路在节点间扩散。来源:改编自文献[223]。

图17. 系统稳定斑图随反应类型分化:I型反应使系统形成非均匀稳态,II型反应则使系统趋于均匀稳态。来源:改编自文献[223]。
在传染病建模领域,图灵斑图研究备受关注。2012年,孙等人深入探究连续空间传染病反应-扩散模型的图灵不稳定性,推导出分岔条件,阐明感染率与康复率对空间斑图形成机制的影响规律[224]。2010年,Nakao团队突破连续空间框架,将研究拓展至复杂网络体系,建立网络结构下图灵不稳定性分析框架[57]。这些奠基性工作为网络化传染病反应-扩散系统的图灵斑图动力学研究开辟新途径,系统揭示流行病模型中空间斑图的形成机理与演变特征。
研究空间传染病反应-扩散系统的图灵斑图时,易感者与感染者通常被建模为激活节点与抑制节点,构成图灵不稳定性分析的理论基础。本研究以经典SIR模型为例,阐释网络化反应-扩散系统中图灵斑图的生成过程。方程(24)完整描述单层网络中空间传染病的传播动态:
式中, 和 分别代表易感者、感染者和康复者的密度。参数 , and 分别对应各仓室的扩散速率。函数 和为反应项,且 表示网络的拉普拉斯矩阵。在此单层网络中,易感者、感染者与康复者共享相同扩散路径,因此各扩散项中的拉普拉斯矩阵保持统一,如方程(24)所示。

图 18. (a) 临界特征值对应特征向量与网络不稳定节点的关联特性。(b) 活化子浓度最终分布,对应图(a)所示条件。来源:文献[57]改编。
单层网络反应-扩散系统的空间疾病传播斑图动力学研究取得重要突破。这些成果深化了人们对复杂系统自组织现象的理解,为实际应用奠定理论基础。研究者系统划分不同网络结构和动力学参数下涌现的斑图类型,识别出均匀型、非均匀型、周期型与混沌型等典型斑图[225]。这些斑图既揭示疾病传播的内在动力学机制,也凸显网络结构对斑图形成的关键作用。
在基于复杂网络的空间疾病反应-扩散(RD)系统中,拉普拉斯矩阵L的复杂程度与多样性远超规则网络。复杂网络中的L矩阵结构更加精细多变。大量研究表明,该矩阵对图灵不稳定性现象起决定性作用。例如Nakao等人(2010年)推导出系统增长因子与网络拉普拉斯矩阵特征值关联的色散关系式[57],发现当活化子扩散系数增大时,不稳定性会向低度数节点集中,如图18(a)所示。研究同时揭示临界特征值对应的特征向量与网络中的不稳定节点高度相关,如图18(b)所示。这一发现深刻阐明了网络拓扑结构与疾病传播反应-扩散模型中空间不稳定性斑图间的复杂关联机制。
2019年,Mimar团队基于网络拉普拉斯矩阵特征值拓展了Nakao的色散关系公式,界定了网络反应-扩散(RD)系统的图灵不稳定性区间[72]。研究表明,仅当特征值落在区间时(见图19),系统才会产生图灵不稳定性。图19(a)中彩色散点对应不同网络的拉普拉斯矩阵特征值,其数值分布于色散曲线,区间即为图灵不稳定性的触发范围。观察图18整体可见:当网络拉普拉斯矩阵存在该区间内的特征值(图19(a)黄绿点),系统会呈现图19(c)(d)的图灵不稳定性与斑图;若特征值处于区间外(图19蓝紫点),反应物浓度将稳定于平均平衡点,此时无图灵不稳定性(见图19(b)(e))。

图19. 网络拉普拉斯矩阵特征值的图灵失稳区间由界定。图(a)展示了系统色散曲线,该区间确定了图灵失稳的作用范围。通过对比四个网络的拉普拉斯特征值分布可以发现:其中两组特征值位于失稳区间内(图c、d),导致系统偏离平衡,形成空间异质结构;另两组特征值则处于区间之外(图b、e),系统因而保持均匀状态。来源:改编自文献[72]。
网络拓扑结构对疾病传播空间动力学中斑图形成的影响已得到全面探究。研究表明,度分布与平均路径长度等网络特性对斑图形成起着决定性作用。以异质度分布为特征的无标度网络更易生成复杂传播斑图;而小世界网络则能强化系统同步性,显著提升传播效率[22,23]。深入解析这些拓扑效应,既可揭示斑图形成的内在机制,又能为制定高效疾病防控策略提供理论依据。因此,基于网络拉普拉斯矩阵特征值界定图灵不稳定区间兼具基础价值与实践必要。本节在Nakao and Mimar的奠基性研究基础上,提出网络化传染病反应-扩散系统中拉普拉斯矩阵特征值不稳定空间的判定方法。该推导体系已成为此类系统斑图动力学研究的核心框架。SIR反应-扩散系统(24)可简化为:
令 和,可得平衡点。在此平衡点附近引入微小扰动,系统状态变为
将式(26)代入式(25),并对和作泰勒展开,得到
其中, 和 表示在平衡点 处对 和 的偏导数, 和 表示在平衡点 处对 and 的偏导数。此时扰动可展开为
其中 ϕα 为特征向量 ϕα 的第i个分量, α 是拉普拉斯矩阵L对应于 ϕα的特征值。由此可得
将式(28)与式(29)代入式(27),可推导出 λα 的线性化增长因子方程:
λα 的特征方程可表示为
其中,
(31)式的两个解为:
根据图灵理论,在无扩散条件下,扰动必须衰减至零。这要求满足:
通过适当调整模型参数,即可满足上述条件。
。假设
,其中 P(0)<0 (对应无扩散时的图灵不稳定条件),且
(因 σ 为正参数,拉普拉斯矩阵特征值为负)。因此,仅
,须满足
,即
解方程 得:
由于 与均为正数, 作为关于 的二次函数开口向上。当 处于 区间时, 。若拉普拉斯矩阵特征值在此范围内,即满足图灵不稳定性条件。
基于上述网络拓扑结构分析,传染病反应-扩散系统的网络化研究获得了理论支撑。在单层网络空间疾病反应-扩散系统领域,实证研究与实际应用均取得了突破。在公共卫生方面,解析疾病在网络中的传播规律,可增强疫情预测能力并优化应对策略[226]。研究者通过构建单层网络疾病传播模型,模拟不同群体的传播路径,从而制定有效的干预措施。此类模型能精准锁定关键枢纽与传播廊道,为遏制疫情扩散提供支撑。
在信息科学领域,疾病空间传播的原理可用于优化信息扩散策略,通过提升传播速度与广度来增强信息渗透力[227]。解析单层网络中的扩散过程有助于识别关键节点,进而实施优先级传播策略以扩展辐射范围。掌握此类动态机制有助于构建应对体系,有效抑制社交网络中虚假信息与谣言的蔓延[228]。探究单层网络的传播斑图既能明晰信息传导路径,又可定位易感群体,为精准化防控措施的制定提供科学支撑。
单层网络中空间疾病反应-扩散系统斑图动力学的研究突破,不仅拓展了复杂系统的认知维度,更赋予跨领域实践以重要理论指引。这些研究进展揭示了网络拓扑结构在疾病动力学中的枢纽作用,为预判和调控互联人群的疾病传播态势开创了全新范式。
3.1.2 多层网络的斑图动力学
为区分多层网络与单层网络并理解其独有现象,本小节首先阐释多层网络的核心概念。
多层网络由多个层级构成,每层代表节点间不同类型的交互关系。以社交网络为例,一层可表示友谊关系,另一层可表示职业关系。各层节点保持一致,但连接关系各不相同。相较单层网络,该结构能更细致完整地呈现复杂系统的特性,近年来备受学界关注[34]。与传统单层网络相比,多层网络可捕捉异质节点间的多元交互,更完整展现系统复杂性。研究证实,维持整体功能所需的关键节点数量,多层网络远少于单层网络[229]。值得注意的是,多层网络对随机故障的耐受能力更强[230],其鲁棒性差异可通过量化方法精确测定[231]。这表明面对突发扰动时,多层网络具备更优的可靠性与稳定性,因此更适用于复杂系统的表征与分析。
多层网络的斑图形成动力学植根于反应-扩散过程,这些过程与网络拓扑紧密关联(见图20)。(由于字数限制,隐藏内容可在原文进行查看)

图20. 多层网络结构示意图。各层节点完全相同,拓扑结构各异。不同层级中代表同一实体的节点以虚线相连。
研究多层网络传染病传播的空间斑图动态,对疾病防控意义重大。该研究兼具理论价值与实践意义,尤其在真实多层网络表征方面。现有挑战集中于三方面:一是分析工具的突破,需开发应对层间复杂作用的新型计算框架,这依赖于精密建模与仿真技术;二是交互作用的甄别,层间连接具有异质性——抑制性联结与促进性通道并存,明确差异方能实现精准建模;三是时变网络的探索,需追踪层内拓扑与层间耦合的动态演变。这种流动特性更契合现实场景,尤以社交网络与神经科学领域为典型。虽增加研究维度,却为揭示斑图形成机制开辟了新路径。
3.2 高阶网络中的斑图动力学
在深入探讨本节核心内容之前,有必要先明确高阶网络的定义。理解这类网络对于把握其独特结构特征以及后文讨论的有趣现象至关重要。高阶数据在日常社交活动与自然系统中日益普遍[246]。Santoro团队通过重构现实世界的时序动态数据(如疾病传播、脑电磁信号和金融市场交互),证实了高阶网络的重要性。这些实证研究有力表明:高阶方法能够捕捉传统手段可能遗漏的复杂行为模式[247]。
大量现实数据集(尤其是涉及社会关系与科研合作的)包含群体关系,即参与者超过两人的互动。然而,传统的一阶网络模型却常常将此类群体关系简化为二元互动。如图25所示,在一阶网络中,节点a、b与c的群体关系{a,b,c}会被拆解为三个二元互动:{a,b}、{a,c}和{b,c},从而导致群体整体结构的丧失。相比之下,高阶网络模型完整保留了群体互动{a,b,c}的结构,能够更精准地刻画其中复杂的动力学特征。

图25. 高阶网络为捕捉现实世界复杂关系数据提供了有力框架。在分析实证观测关系时(如科学家合著网络),常规方法将交互简化为成对连接,以图结构呈现(左下)。更优解法则保留高阶关系,通过超图或单纯复形建模(右下),并借助概率模型深入解析,精准捕捉数据底层结构。来源:改编自文献[248]。
高阶网络是描述多节点复杂交互的数学框架。传统一阶网络以边表示节点间二元交互,而高阶网络则引入超边与单纯复形等概念,用于建模多节点交互体系[249]。该结构不仅能捕捉群体复杂互动,揭示非线性动力学,还能呈现一阶网络难以承载的精细模式。其应用已推动多领域突破:在博弈论中揭示爆发式合作现象[250],为解释群体非理性从众与激进行为奠基[251];同步动力学研究揭示不连续相变、滞后效应[252–254]与爆发式同步[255,256],并证实完美同步可作为不变解存在[168]。高阶网络的核心优势在于其表达能力,能辨识一阶网络过度简化的复杂模式[257,258],这对理解社交网络、生态系统及神经系统等复杂体系的涌现行为至关重要。
然而,高阶相互作用的引入显著提升了网络复杂度,这给数学分析和数值模拟带来了双重挑战。为此,我们需要开发新型理论模型与研究工具——特别是在社区检测[259]等领域——以应对这种复杂性。
高阶网络可视为一阶网络的更灵活、更精细的扩展,其节点间相互作用不再限于简单的二元关系。通过超边、单纯复形与高阶张量等工具,它们能准确描述多体相互作用,这种能力在社交网络、生态系统及脑神经网络等复杂系统中至关重要。
相较于传统一阶网络,高阶网络具备三大优势:(1)能更精确地表征集体行为或多体互动,这类现象在复杂系统中具有关键作用;(2)可揭示非线性动力学与复杂模式,例如涌现性同步或传播动力学的跃变,这些特征在一阶网络中难以捕捉;(3)拥有更强的表达能力,能识别复杂模式间细微的差异,而这些差异在一阶网络模型中常被过度简化。
然而,高阶网络的复杂性伴随双重代价:(1) 数学分析与数值模拟难度显著增加,因交互组件数量持续增长。(2) 数据采集与处理要求更高,因高阶相互作用需精确的多体信息,实际应用常难获取。
总体而言,高阶网络虽为刻画复杂系统及动力学提供利器,其增强的表征能力与新增计算成本之间的平衡,仍需在具体应用中审慎考量。
高阶网络模型主要由单纯复形和超图构成(图26)。在单纯复形中,高阶结构具有向下兼容性:若存在高阶边{a,b,c},则其所有子边——{a,b}、{a,c}与{b,c}——必然包含于网络。超图则无此限制:高阶边{a,b,c}的子边可有可无。如图26所示,Battiston等人在2020年综述[42]中完整阐释了单纯复形与超图的异同。关于高阶网络的深入解析,建议参阅文献[45,248]。

图26. 超图与单纯复形的矩阵及张量描述。超图与单纯复形的本质差异在于结构兼容性:单纯复形具备向下兼容特性,若存在{a,b,c}类高阶边,其所有子边——{a,b}、{a,c}与{b,c}——必存于网络。而超图含{a,b,c}等高阶边时,子边未必包含其中。本图通过关联矩阵、相交矩阵和邻接矩阵对比差异。左两列采用矩阵表达,右两列运用张量描述。来源:改编自文献[42]。
成对交互驱动的传播动力学与高阶交互主导的过程差异显著,有限信息常能有效区分二者[260]。高阶网络能更精准地表征现实系统,诸多研究借此探究疫情空间传播机制[46]。例如,Chen团队运用高阶网络模型模拟新冠传播,揭示明确考量群体(严格而言是多家庭)交互对理解传染机理、制定防控策略的关键价值[261]。群体交互强度直接影响模型中的高阶传播率。Matamalas团队发现,高阶传播率升高时,系统感染者数量呈现突变[262]。此突变既源于网络拓扑结构,亦受系统动力学内核调控[263]。当动力学非线性增强时,高阶交互促发传染的效力远超成对连接[264]。Mancastroppa团队指出,超核结构为忠诚群体间传播社会规范提供稳健策略[265]。高阶结构不仅改变传播规模,更在社会行为扩散中引发多重稳定性[269]、滞后效应[267]等复杂现象[266–268]。传统成对模型难以捕捉这些规律,凸显高阶交互在复杂系统中的重要性。
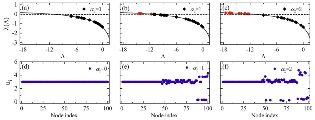
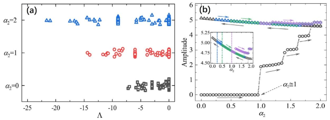
高阶网络的拓扑结构主要影响反应-扩散系统的扩散过程,进而影响空间斑图的形成。研究高阶网络斑图动力学的核心挑战在于:如何构建此类结构的扩散模型,并解析结构对系统整体动力学的具体影响。2023年,Gao等人在单纯复形中探究斑图动力学[67],提出d阶耦合强度概念(,其中D为单纯复形网络的最高阶数)。d阶耦合强度表征d维单纯形在系统单元交互中的重要性,直接决定单纯复形邻接矩阵的构建方式。具体而言,d维单纯形由d+1个全连接节点构成,0维单纯形则对应孤立节点。通过大量仿真与理论推导,研究者发现高阶边可诱发图灵不稳定性。如图27所示,在特定实验条件下,当2阶耦合强度设置为零时(此时单纯复形退化为传统二元网络),所有增长率为负值,系统维持均匀平衡态;当增至1或2时,系统开始出现正增长率,反应物浓度分布随即从均匀态转向空间异质斑图,最终形成空间斑图。

图27. 高阶耦合引发的失稳现象。首行展示色散曲线与拉普拉斯矩阵特征值分布,次行显示对应激活节点的稳态分布。当二阶耦合强度置零时,单纯复形退化为传统成对网络,此时所有增长率为负,系统维持均匀平衡态。当增至1或2时,系统开始出现正增长率。此变化促使反应物浓度由均匀态转为空间异质态,最终生成显著空间斑图。由此证明,高阶耦合可有效促进空间斑图形成。来源:改编自文献[67]。
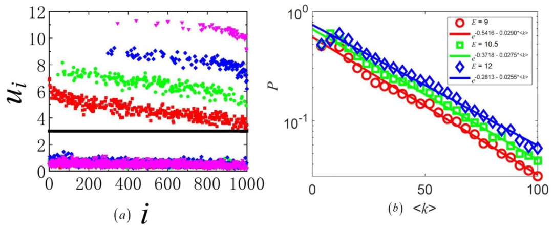
受此启发,高等人深入探究二阶耦合强度能否触发一级相变。补充实验表明,该参数不仅触发一级相变,还会引发系统滞后现象。同时发现统计特征与高阶平均度呈指数关联。因此将研究拓展至多层单纯复形系统,同样观测到高阶耦合诱发的图灵失稳[159]。这些发现揭示:当探究高阶连接时,网络斑图动力学研究中将涌现诸多新颖而有趣的现象。
在超图网络领域,Carletti等人[167]与Muolo团队[86]均发现高阶耦合引发的图灵不稳定性。值得注意的是,Muolo团队进一步揭示:在特定条件下,高阶耦合作用反而会抑制图灵斑图的形成,这为通过调控高阶相互作用来控制斑图动力学开辟了新的途径。
随着高阶网络动力学研究的持续深入,生成模型的构建也取得了显著进展。Courtney与Bianconi提出了两种规则——优先连接与非优先连接,用于生成加权单纯复形[270]。Kovalenko团队整合了这两种规则,提出了通用单纯复形模型,使节点度与连边度均服从幂律分布[271]。针对超图结构,Contisciani团队开发了Hypergraph-MT工具,这一可扩展算法能够快速推断大规模超图结构[272]。这些生成模型为研究高阶网络斑图动力学提供了丰富的拓扑结构样本。当前该领域研究尚处于早期阶段,感兴趣的读者可以深入探索这一新兴领域。
一个极具潜力的研究方向是构建统一理论框架,用以分析单纯复形与超图对斑图形成的影响。在同步动力学领域,Zhang团队发现高阶边在超图和单纯复形中对系统同步具有差异性作用(见图28)[253]。这引出一个值得深究的问题:斑图动力学中会否出现类似现象?我们诚邀学界同仁深入探索这一富有学术价值的研究领域。
4. 复杂网络反应-扩散系统中空间疾病传播的最优控制
4. 复杂网络反应-扩散系统中空间疾病传播的最优控制
近十年来,网络反应-扩散系统因能精准刻画大规模流动与运动异质性而备受瞩目。这种表征方式与人口的离散特性高度契合,在传染病防控中尤为重要。疫情传播包含两大核心要素:个体间传染与人群流动。研究表明,频繁的大规模人口流动会急剧加剧疫情暴发[273-275],新冠大流行便是典型例证[275]。因此,有效防控需双轨并进:既要控制传染过程,也要限制人员流动。抑制个体间传播主要依靠区域内部措施,例如通过疫苗药物增强免疫力,或减少社交接触——这些参数体现在系统的反应项中;而遏制全球蔓延则需限制大规模流动——这对应系统的扩散项。本文将从三个层面综述研究进展:前两节分别探讨反应动力学与扩散过程的最优控制策略,末节评估综合防控措施的实践效能与拓展前景。

图28展示了随机超图中高阶相互作用对同步的促进作用,以及单纯复形对此类动力学的抑制作用。图中描绘了随机超图(蓝色)与单纯复形(绿色)的最大横向李雅普诺夫指数随参数的变化趋势。随着的增大,系统从一阶耦合逐渐过渡至二阶耦合()。图源:改编自文献[253]。
4.1 反应项的最优控制
如前所述,在反应-扩散系统中,感染与恢复的动力学特征体现在节点层面,这些节点可表征为城市、国家或地区。针对此类动力学的防控措施,通常通过优化医疗资源配置、实施疫苗战略投放等干预手段,以降低感染率并提升康复率。主要控制目标分为两类:一是在预设时间节点根除疫情,或在特定临界时刻实现受控流行状态;二是在整个传播过程中最小化感染规模或累计病例数。前者属于与时间无关的终端控制,后者属于与时间相关的过程控制。下文将系统阐述这两类研究的进展。
4.1.1 终端控制
在传染病防控中,终端控制聚焦于特定时间节点的疫情态势。针对反应-扩散系统,该策略并不限制个体流动,而是通过优化医疗资源与干预措施,引导特定节点(如城市、国家或区域)的疾病动态在预定时间内达成预期目标。其核心在于:优化资源配置,实施精准防治,控制传播速度与范围,最终实现特定时点的流行病学目标。值得注意的是,无症状感染在流感[276,277]和新冠肺炎[278,279]疫情中普遍存在。此类感染者虽无显著症状,但仍可携带并传播病原体,导致疾病隐性扩散。因此,终端控制策略既要处置症状病例,更须优先识别并管理无症状携带者,以遏制疫情扩散升级。通过统筹医疗资源、优化治疗方案、落实预防措施,该策略能最大限度降低传播风险,守护公共卫生安全。

图29. (a)-(c)分别呈现ER40、SF20和RL24三种基础网络中激活节点密度的目标分布(红点)随节点索引i的变化趋势,并与未受控状态下三种测试网络的实测数据进行对比(图例标注)。(d)-(f)保持相同对比形式,展示受控状态下测试网络的密度分布。此时网络密度与目标值实现精准匹配。虚线指示平衡态,满足激活节点关系式 。资料来源:改编自文献[79]。
高等人首次构建了网络反应-扩散系统的最优控制框架[79]。基于该模型体系,他们定义如下目标泛函:
他们通过仿真验证结果(见图29),并在不同网络测试框架鲁棒性,包括Erdös–Rényi(ER)网络和无标度(SF)网络。具体操作中,先在某一网络生成目标状态,再以相同参数在不同网络生成非受控状态。非受控状态明显偏离目标状态。利用最优控制框架,可将非受控网络中的状态导向目标状态。通过将该模型应用于不同平均度的ER和SF网络,其鲁棒性得到进一步验证(见图30)。
复杂网络中反应-扩散系统的终端控制研究日趋活跃,但相关成果依然有限。该领域未来发展潜力显著。传染病防控关键在于优化资源配置。文献[280]探讨疫苗注射、城际限流、宣传活动等策略,如何在有限预算下控制直接接触网络的疫情初期爆发。在疫情终期阶段,其研究聚焦两大目标:一是确定实现预期衰减速率的最低成本,二是确定固定预算下实现最大衰减速率的最优资源配置。通过建立防疫资源(如解毒剂、疫苗、宣传措施或疫区隔离)的成本函数,他们达成这两个目标。首项研究揭示达成目标速率的最优成本,次项研究明确预算约束下的最大速率配置方案。这些成果为防疫提供重要策略。但需注意,传染病传播与人类活动存在天然关联。若将控制策略扩展至涵盖人口流动的最优管控措施,或将产生更深远影响。

图30. (a)-(c)三组子图通过展示不同平均节点度⟨k⟩下的平均绝对相对误差MARE(公式42定义),验证测试网络拓扑结构的鲁棒性。误差条标示最小值与最大值。ER40和RL20网络对应的(a)(c)子图中,MARE始终≤2%;而SF20网络对应的(b)子图中,MARE≤6%。图源:引自文献[79]。
实际数据应用是当前关键且紧迫的研究方向,尤其在反应扩散系统中推算时变感染率与康复率的场景。文献[281]已有理论研究:将反应扩散系统与最优终端控制框架的时序函数结合,既证明最优解存在性,又推导出一阶必要条件。但其模型基于连续空间假设,未能体现人类分布的离散特性。这一局限性表明,亟需将理论方法引入网络化反应扩散系统。此外,依据真实疫情数据精准推算不同地区或社群的感染率与康复率时序值,对制定有效防疫策略具有关键作用[19,179]。
4.1.2 过程控制
过程控制与终端控制类似,核心在于优化治疗药物、疫苗等医疗资源,而非限制个体行动。其首要目标是在防控过程中,最大程度降低感染规模与资源消耗等指标。当过程控制包含终端条件时,实质上已将终端控制作为特定场景纳入考量。因此传染病最优控制研究多聚焦于过程控制领域[80,282,283]。虽然网络反应-扩散系统中的传染病最优控制研究尚处初期阶段,现有成果主要集中于无扩散网络传染病的最优控制[282–284]。为深入探索该领域,下文将从五个维度——有向网络、单层网络、多层网络、时变网络及集合种群网络——系统梳理研究进展,并探讨潜在拓展方向。
刘等人[80]率先构建了定向网络化反应-扩散系统的最优控制框架,旨在揭示网络拓扑结构演变对波模式图谱的影响机制。其目标函数定义为:
其中 和 分别表征T时刻的终态值,对应T时刻的目标态值。 和 分别表示节点i在t时刻的激活节点密度与抑制节点密度,故 and 特指该节点在t时刻( )的激活节点与抑制节点目标密度。(与终端控制相比,过程控制考虑了中间时刻的情形。由于字数限制,隐藏内容可在原文进行查看)
4.2 扩散项的最优控制
在反应–扩散系统中,扩散项描述了个体在节点(如城市、国家或地区)间的迁移行为。这种迁移的速度与距离会显著影响传染病的传播,在当今高度互联的世界中尤为突出。新冠疫情印证了个体流动对疾病跨地域传播的决定性作用[278,279]。因此,控制扩散过程成为遏制疫情的核心策略,其中非药物干预手段(NPIs)如隔离措施,通过限制人员流动可有效降低传播风险[102,291]。在该系统框架下,扩散项控制存在两种路径:(1)间接控制通过调节扩散系数实现。降低扩散系数能减缓个体在网络中的迁移速率,当系数降至零时,传播即完全阻断。此方法直接影响系统内人员流动,可用于模拟隔离政策或旅行禁令。(2)直接控制通过改变网络结构特性达成。调整平均节点度[74]、聚类系数[75]或高阶交互强度[67]等参数,可削弱网络整体连通度,从而遏制疾病扩散。尽管相关研究较少,此法为复杂网络系统中的疾病传播动态控制提供了新方向。现有研究多聚焦于扩散系数调节,对网络结构改造的探索仍显不足。下文将从这两个维度系统综述现有成果,并展望该领域未来研究路径。
4.2.1 扩散系数控制
传染病的传播受到扩散系数的显著影响,其具体特征取决于感染个体的移动模式。Berestycki团队的研究表明,与常规移动方式相比,高速公路、铁路及航运等交通网络会大幅提升扩散速率[292]。该模型将人员移动分为两类:沿交通干线流动者采用较高的扩散系数,普通移动者则使用较低的扩散系数(见图35)。
这一区分具有关键意义——当基本再生数接近1时,交通干线上的快速扩散仍可能引发疫情的暴发式传播,而特定区域整体的疫情发展却相对迟缓。典型表现为:单个区域虽维持中等传播速度,但依托道路网络的流动性,会催生出与核心疫区无关联的局部疫情。这些“感染种子”能够进行远距离传播,最终可能在远离初始传染源的地方引发疫情爆发。
交通网络对疫情传播的影响至关重要:扩散加速会加快感染蔓延,导致各地疫情峰值持续时间较无快速扩散情形更短。这一机制在新冠肺炎等全球大流行中尤为显著。疫情初期,航空运输极大助推了远距离传播,感染者迅速往返于城市与国家之间。随着疫情发展,封锁措施使航空运输基本停滞,地面交通网络的重要性愈加凸显。尽管为维持供应链需保障地面运输,局部疫情仍持续暴发,印证有限流动亦能维系疫情传播。
既有研究基于空间持续扩散的假设,而在网络化反应-扩散体系框架下,调控扩散系数方为更切实的管控手段。实施这类策略需契合现实情境,确保方案扎根于流行病学实践。这就要求策略设计必须统筹实际疾病传播的复杂动态,兼顾各类资源限制条件。

图35展示了刚果民主共和国交通网络(以铁路和水道为重点)的病毒空间传播速率预测。该计算结果基于坚实的数据支撑。来源:改编自文献[293]。
扩散过程中存在与自扩散截然不同的核心机制——交叉扩散。当某物种的迁移不仅源于自身浓度梯度,更受其他物种浓度梯度影响时,交叉扩散便会产生。以传染病传播为例,感染者扩散会直接改变易感者的流动模式。当易感者察觉疫情蔓延时,常会采取迁往安全区域等措施——这种规避行为反而同步加速了易感者与感染者的空间扩散。高团队在多层网络反应-扩散系统中发现:抑制节点的扩散竟能催动激活节点扩散。虽然共享相同节点,但抑制节点与激活节点扩散的网络路径迥然相异。抑制节点扩散时,会显著提升激活节点的迁移速率。该研究通过下列网络振幅公式解析此类相互作用:
式中 和 分别代表节点i处激活节点浓度、抑制节点浓度及对应平衡值。研究发现:交叉扩散能催生图灵不稳定性——当交叉扩散系数增大时,生成斑图的振幅稳定性增强、规模扩展。此关联性表明,提高交叉扩散系数既可强化图灵不稳定性,又能促进空间斑图的显著形成(详见图36)。
在多层网络中,调控交叉扩散系数至关重要,这些参数决定着网络的整体形态。由此引出一个核心命题:控制手段应作用于不同层级间的交叉扩散系数,还是聚焦单层内部的扩散系数?抑或需要构建更系统性的调控策略?平衡这些路径既可优化疫情管控,又能最大限度降低资源消耗。探明这些可能性对制定有效防控方案具有关键意义,该领域亟待深入探索。
应对新发疫情时,扩大社交距离是遏制疾病传播的核心策略。通过改变个体行为减少社交接触,可显著抑制感染风险。但需注意,社交距离的缩减效应在易感群体中尤为突出。如交叉扩散机制所示,感染者的流动不仅会触发易感者为避险而被动迁移,还能间接调控群体整体的社交距离。为量化此类影响,文献[294]将社交行为纳入交叉扩散模型,建立了同时最小化感染规模与社交距离缩减的双重优化目标:
其中, 与为权重参数,表示社交距离。通过优化该泛函,模型能够精确量化社交距离对疫情传播的影响。研究证实:在不同传播率函数下,该框架不仅保证了存在唯一正弱解,还满足了最优性必要条件。数值模拟验证了方法的有效性,在交叉扩散机制下,社交距离可使疫情强度显著降低(见图37)。
该模型虽具创新性,但假设空间扩散连续且社交距离函数连续。然而,现实中人群流动与交互多呈现离散特征,这一差异会严重影响模型精度。后续研究需将该框架拓展至更贴近现实的复杂网络,重点在于:解存在性的理论分析能否从连续域延伸至离散域,这种转换亟待深入研究。此外,需细致调整社交距离函数的配置方式,以更精准地反映现实动态。

图36. 图灵不稳定性振幅分析。(a)所有节点对的振幅演变。(b)图灵区(TR)与非图灵区(UTR)节点对的振幅变化,图例中”UTR”表示非图灵区节点结果,”TR”指图灵区节点振幅。来源:改编自文献[73]。

图37. 最优社交距离对感染总人数演化的调控效果。对比实施与未实施最优社交距离策略时,感染人群总量随时间的变化趋势。来源:改编自文献[294]。
社交距离与疫苗接种相结合,是控制传染病的另一高效方法。文献[295]通过整合这两项措施及感染年龄结构,构建了流行病模型。该模型将社交距离和疫苗接种作为控制变量,建立多阶段控制目标泛函。作者不仅证实最优控制解存在,还推导出一阶最优条件,并阐明解的核心特性。研究验证了新冠疫情期间的防控策略:疫情初期以社交距离为主要控制手段,后期转向疫苗接种。同时揭示疫苗配给挑战,证明接种阶段仍需保持社交距离。但与其他模型类似,该框架假设人群持续流动,未能真实反映疫情动态。为精准捕捉传播规律,后续研究需考虑个体离散移动特征。此类改进对提升模型精度、制定高效可行的防控策略具有关键作用。

图38. 全球航空运输网络的疫情传播控制。(A)网络由2219个主要城市组成,59151条连接边代表城市间客运流量。暖色调与较大圆圈表示距纽约(最大红圈所示)的信息距离(ρ)更短。(B)全球累计感染人口随时间变化曲线,对比无管控、局部管控及全局管控三种模式。(C)局部管控(蓝线)与全局管控(红线)下的每日治疗和疫苗接种实施情况。来源:改编自文献[220]。
4.2.2 网络属性控制
网络拓扑结构及其属性对反应-扩散系统的动力学起决定性作用。当前最优控制策略虽聚焦于反应控制,但随着现实数据可获取性提升,更复杂的网络结构得以揭示[296,297]。这凸显了反应控制的重大局限:资源受限时难以实现最优控制。因此,将网络控制策略融入传染病建模已成迫切需求。以新冠防控为例,隔离措施与社交距离缩减——这种针对社交网络结构的控制手段——成效显著。相较传统医疗干预,这些策略展现出更大潜力,表明控制网络属性(而非仅控制反应)可为疫情防控提供更全面的方案。该领域研究尚处初期,网络控制的实际应用仍需深入探索。
为填补这一空白,我们首先研究了不同拓扑参数对网络反应-扩散系统的影响,继而探讨了潜在的最优控制策略。网络控制领域提出的关键概念“网络局部性”(文献[220])——即网络内部相邻结构的影响力——显著简化了非线性网络的控制任务。基于此特性,我们可以设计最优控制策略,以最小的控制成本实现理想的动态性能。研究者提出了局部与全局控制策略,并将其应用于全球交通网络的疫情传播实证研究。虽然目标函数仍独立于网络结构(聚焦治疗与疫苗接种),但通过将信息距离 纳入最优控制问题(图38),他们成功融合了网络控制要素。这种整合方法使网络属性与疫情动态得以同步控制。

图39:(a)ER网络中激活节点密度随节点索引i变化的稳态斑图。(b)上层节点群占比P随平均度 的变化关系。来源:改编自文献[74]。
平均度作为网络拓扑中最基础的参数之一,对网络反应-扩散系统的动力学特性有着深刻影响。文献[74]采用定性与定量相结合的方法,系统性地研究了平均度对网络斑图形成的影响。在分析一维网络斑图时,研究者发现节点分布到上簇或下簇的变化与平均度的波动密切相关(见图39(a))。为了量化上下簇节点数量与平均度之间的关系,研究者定义了如下指标:
其中 和分别表示上层集群的节点数量及其占比。研究者基于该指标,构建了非线性回归模型
式中为网络平均度。该模型精准地捕捉了变化规律,表明P随平均度增加呈指数递减(见图39(b))。此规律在ER网络、BA网络等五种网络模型中均稳健成立。研究进一步通过平均场方法阐释了内在机制,揭示了网络拓扑结构与反应-扩散动力学间的复杂耦合关系。
聚类系数是网络的另一重要拓扑特征,其全局定义与局部定义存在差异。全局聚类系数的计算公式为:
其中, 表示网络的邻接矩阵, 代表其元素。节点 的局部聚类系数 定义为:
式中 表示节点 的度, 指该节点邻居间实际存在的边数。文献[75]采用特定度量(式44与式46)表明,网络斑图的两个指标与全局聚类系数呈线性衰减关系。该结论在小世界网络和经典高聚类网络中均得到验证。由于平均最短路径长度与聚类系数高度相关,研究进一步检验了该相关性是否影响观测结果。数据显示:当聚类系数较低时,两个指标均与聚类系数、平均最短路径长度呈线性关系,主因难以辨别;但随着聚类系数增大,二者关系不再线性,证实衰减由聚类系数主导。研究还发现,两个斑图指标与平均最短路径长度存在非线性关联(图40)。值得注意的是,文献[158]证明:即使网络平均度不满足传统图灵失稳条件,网络聚类仍可引发图灵失稳。这揭示了聚类对网络反应-扩散系统动力学具有重要调控作用。

图40. WS小世界网络(右侧红色)与GP集群网络(左侧蓝色)在相同参数变化下,平均最短路径(L)随全局聚类系数的变化关系。来源:改绘自文献[75]。
Siebert团队[152]进一步研究了网络模块化程度与平均最短路径长度对斑图形成的影响。研究表明,当模块化程度增强时,网络内部平均最短路径会随之缩短。这种路径缩短会扩大谱隙——即拉普拉斯谱中零特征值与第二大特征值之间的间距。谱隙的增大可有效抑制图灵不稳定性,从而阻碍自组织斑图的形成。该结果表明,网络模块化程度是功能活动自组织斑图形成的关键要素,其作用独立于网络模块内部的具体拓扑特征。
中心性是网络另一关键拓扑属性,可揭示单个节点的影响力。接近中心性衡量节点获取全网信息的效率:指标高的节点能更直接、更快地获取传播信息。介数中心性则量化节点作为信息桥梁的作用:指标高的节点构成关键路径或瓶颈,移除后会显著破坏网络内部通信。为评估SIS传染病传播中中心性指标识别关键节点的效果,文献[68]对网络化反应-扩散系统进行数值模拟。研究比较了不同中心性指标下,接收治疗资源的控制目标节点数量。结果显示,在无标度网络中,介数中心性识别控制目标的效果最佳。具体而言,在具有幂律度分布和低聚类系数的网络中,担任离散群体间桥梁的个体,比高度数节点或拥有大量邻居的节点更适合作为控制目标。尽管取得了这些成果,研究仍主要依赖数值模拟,最优控制的显式解析推导仍是重大挑战。此类理论突破将深化对传染病动力学的理解,提升控制策略的实际应用效果。
高阶网络中的反应-扩散系统研究近年备受瞩目。与传统网络不同,高阶网络——特别是基于单纯复形建模的体系——允许单条连接关联多个节点,为网络动力学增添新的复杂层级。该系统的核心特性是单纯强度,此参数对动力学演变起决定性作用。文献[67]证实,单纯强度从根本上调控高阶网络图灵斑图的形成。具体表现为:二阶单纯强度提升不仅增加斑图生成概率(见图41(a)),更会引发多重稳态——系统内多个稳定状态共存(见图41(b))。文献[68]进一步揭示,增强的二阶单纯强度将驱动网络斑图向平衡点聚集。这种平衡点附近的密集分布现象,由于可能阻碍医疗资源在网络中的有效分配与控制,对有限医疗资源的最优配置构成重大挑战。
分析揭示了网络特性在调控网络化反应-扩散系统动力学中的核心作用,强调必须实现系统性控制。现有两种主要控制路径:其一如文献[298]所述,目标函数未显式包含网络特性。该方法通过控制变量或反应项系数间接实现网络调控。其二则将网络特性直接嵌入目标函数,但需精准提取网络属性,这对动态演化的网络结构尤为困难。亟需深化研究突破技术瓶颈,拓展网络控制策略应用边界。例如单纯形强度指标为展现网络特性融入控制框架的潜在价值指明方向。选择终端控制(聚焦特定终态)或过程控制(全程动态管理),须依据具体目标而定。值得注意的是,终端控制可视为过程控制的特殊情形,二者在实际应用中存在深刻关联。

图41. (a)二维单纯复形中拉普拉斯特征值 随2-单纯形强度 变化的分布规律;(b)解振幅随 变化的函数曲线,呈现上升或下降波动。该现象揭示了单纯复形中GM模型的多稳态特性。来源:改编自文献[67]。
4.3 综合最优控制
基于反应控制与扩散控制的研究基础,自然延伸的方案是将二者整合为统一的混合最优控制框架。该方法旨在优化医疗资源配置,同时协调个体移动与扩散过程,精准对应新冠疫情期间采用的实际干预策略[179]。具体而言:医疗资源(如药物、病床、疫苗)与行动管控(如隔离监测)相结合的模式,对有效遏制疫情传播起到关键作用。本节概述我们在此领域的最新研究进展。
针对单纯复形内的反应-扩散系统(节点规模N,最大单纯形阶数M,见图42),混合最优控制的目标函数(OBF)由反应控制主导,扩散控制表达式为
其中, 、和 分别对应系统状态、控制变量及 的成本函数;参数、、 为非负权重向量,容许控制集。变量u和v分别用于调节单纯形结构与节点通量强度。 系统动力学受控制变量u和v影响,由下列状态方程描述:
式中 ,其中 位于 空间( )。D为扩散系数对角矩阵,L(u)是由拉普拉斯矩阵L(u)构成的块对角矩阵(对应扩散控制变量),f({X,v)为控制变量v调控的反应项。具体表达式为
以及函数。 该问题的容许控制集由方程(50)-(51)联合定义为:
在区间[0,T]上,和均为本质有界函数,其中,。由此可得控制向量与。

图42. 二维单纯复形模型包含五个0-单形(节点)、六个1-单形(边)与一个2-单形。紫色节点对应0-单形,紫色边对应1-单形,紫色三角对应2-单形。表征1-单形强度,表征2-单形强度,两者分别度量各阶单形对其内部节点相互作用的贡献。来源:改编自文献[83]。
方程(50)-(52)描述的混合最优控制问题,同时包含反应项控制变量v和扩散项控制变量u。该框架应用于以下传染病模型,其反应项定义为:
式中 and (见方程51)分别表征易感者与感染者的种群密度。模型未包含康复者仓室 ,因其动力学过程不影响 和 的演化。参数 and 分别表示:人口补充率、疾病传播率、自然死亡率、感染者病死率、平均康复率,以及易感者与感染者的扩散速率。
这一混合控制框架同时适用于终端控制与过程控制。为直观说明效果,我们以终端控制为例展示结果,采用下列指标(见图43)。 衡量控制精度的相对误差定义为:
其中 表示目标状态。 控制策略的平均标准化成本计算式为:
式中 与 为归一化因子,用于平衡扩散控制项 与反应控制项 的量级差异。
在六种不同网络复杂度的单纯复形中开展仿真:反应控制在网络III、IV和中达到中等相对误差,但成本最高;在网络I、II和VI中成本中等。扩散控制在网络III、IV和V中相对误差最大而成本中等,在网络I、II和VI中成本最高。混合控制始终表现最佳,所有网络均实现最小相对误差与最低成本。综合OBF指标(整合相对误差与成本)评估显示:耦合控制OBF值最低,反应控制次之,扩散控制OBF值最高。结果表明,混合控制策略兼具稳健性与适应性,是平衡各类网络复杂度下性能与成本的最优方案。
将反应控制与扩散控制相结合以管理疫情,聚焦医疗资源优化配置与个体流动调控,标志着应对现代公共卫生挑战的关键进展。尽管网络结构固有复杂性及其动态演化构成严峻挑战,但制定有效策略应对这些复杂问题,是实现最优控制的核心。该研究有望提供高效且适应性强的解决方案,在日益动态且紧密互联的世界中提升公共卫生治理效能。

图43. (a)在相同模型参数下,通过三种控制方案将GS测试网络中的测试状态调控至指定目标状态(红色标示),获得最终受控状态。该目标状态对应系统(51)在另一GS网络无控制条件下生成的稳态。反应控制、扩散控制及耦合控制方案的结果,分别以蓝色、浅蓝与深蓝色圆圈进行可视化区分。(b)采用与图43(a)相同的测试与目标状态,在六个不同复杂度的GS测试网络中,通过相对误差RE(公式54)、平均成本(公式55)及目标函数OBF(公式50)三项指标,评估三种控制方案的灵活性。来源:改编自文献[299]。
5. 结论与展望
5. 结论与展望
反应-扩散系统是研究物质浓度时空演化的核心工具。这类系统主要由两大要素支配:驱动物质转化的局域反应,以及促进物质跨域迁移的空间扩散。其广泛适用性可模拟多元现实场景——既涵盖传染病传播、计算机病毒扩散、人口迁徙等社会现象,也包括化学反应、生态系统中捕食-食饵动力学关系、干旱地区植被分布等自然规律。这些实例揭示了反应-扩散机制在描述自然物质运动中的基础作用。以流行性感冒为例,这种高发急性呼吸道疾病的传播过程,可通过反应-扩散框架进行理论建模:在局域层面,特定地理范围(从村庄到国家)内易感人群与感染者接触产生新病例,对应局域反应过程;同时,人员通过交通系统跨区域流动,引发空间扩散效应,推动疾病跨地域传播。反应与扩散的协同作用,正是流感季节性流行的根本成因。
反应-扩散系统的本质特征在于生成时空有序斑图——具有规律性的非均匀结构。这类系统通过反应-扩散方程描述,方程既包含扩散项又含非线性反应项,能产生丰富的图案形态:静态如斑点与条纹[112],动态如螺旋波或靶形波[224]。其中,源于图灵不稳定性的图灵斑图最为典型——扩散速率差异导致均质态失稳时,空间结构便自发形成。
理论预测在实践中持续验证。Grassly等发现印度(2000-2005年)脊髓灰质炎病例呈斑点状空间分布[84]。Rietkerk团队在尼日尔与以色列旱区植被中,观测到迷宫状或条纹状图案[300]。Kevrekidis运用反应-扩散模型,揭示希腊与安达卢西亚地区新冠疫情的斑点状暴发斑图[85](图44)。这些例证彰显反应-扩散系统阐释自然与社会现象的深刻能力。
要对连续空间反应-扩散系统进行数值模拟,首先需用规则均匀网格划分空间域。对于二维区域,常采用三角形或四边形网格。规则性要求网格单元(三角形或四边形)的边长变化微小,且相邻单元需共享顶点或边。准均匀性则确保所有单元边长保持相对一致。
通过这种离散化处理,有限元法或有限差分法即可应用于偏微分方程的空间变量。每个网格节点对应建立常微分方程,这些方程整体构成偏微分方程的空间半离散格式。从网络结构看,二维区域的网格单元形成规则网络,绝大多数节点度数相同(仅边界节点例外)。因此,用偏微分方程描述的连续空间反应-扩散系统,可近似为规则网络上的反应-扩散系统(即空间半离散形式)[161]。

图44.(a)2000-2005年印度1型与3型脊髓灰质炎分布[84];(b)2020年3月12日至4月3日希腊本土新冠肺炎累计确诊病例演变[85]。资料来源:改编自文献[84,85]。
在传统研究领域中,斑图动力学主要聚焦于连续空间或规则网络中的反应-扩散系统[10]。然而,这类模型在现实应用中存在一定局限,例如在传染病传播、计算机病毒扩散以及捕食者-猎物互动等方面。以疫情传播为例(见图45)[74],主要面临三个关键挑战:首先,人群呈现点状离散分布,而非连续状态。例如,大型城市作为独立单元,通过交通网络相互连接。城市内部易感者与感染者接触引发本地传播,而城市间人口流动则导致疫情扩散。其次,人口流动呈现明显方向偏好,多集中于政治经济文化中心,而非均匀辐射。最后,现代航空与高铁等交通工具,使人流能够快速跨越地理阻隔。这些离散分布、定向迁移和跨域互动的特性,令传统基于连续空间或规则网络的反应-扩散模型,难以准确刻画复杂动力学[160]。为了更好地反映现实特征,亟需构建更贴近实际的新颖的模型。
复杂网络通常具备小世界特性与异质性等典型特征[22,23,179]。构建于这类网络之上的反应-扩散系统,能够有效突破连续空间或规则网络模型的局限,为描述反应扩散过程提供更贴近现实的框架。自2010年中尾与米哈伊洛夫发表复杂网络反应-扩散系统图灵斑图的开创性研究[57]以来,该领域持续引发学界关注,过去十年间已积累大量研究成果[69]。与连续空间或规则网络中的系统类似,复杂网络中的反应-扩散系统也可呈现静态斑图与波状斑图等空间构型[58]。其独特之处在于,斑图生成不仅取决于系统参数,更受制于底层网络拓扑结构[72]。这种双重复杂性既拓展了斑图动力学的研究维度,也揭示出网络结构影响时空行为的新机制。

图45. 网络中的反应-扩散过程(以易感-感染扩散模型为例):传染病跨城市传播示意图。来源:改编自文献[74]。
斑图动力学作为非线性动力学的核心领域,横跨数学、物理学、化学、生物学、生态学及计算机科学等学科。以传染病动力学为例,斑图不仅能精确定位疫情暴发热区,还可刻画疾病时空分布的非均匀特征。这些动态斑图清晰地展现了疾病传播的时空规律,为解析疫情演化机制提供了关键依据。因此,反应-扩散系统的斑图动力学研究兼具理论深度与实践价值。斑图本质上是系统动力学特性的集中体现,通过调控其形成过程,能有效掌控底层反应-扩散机制。然而在实际应用中,资源受限与时间紧迫的双重挑战,亟需构建最优控制策略:既要高效引导斑图形成,最大限度节约资源;又要在最短时限内达成预定目标。随着网络化反应-扩散系统斑图动力学研究的深化,相关最优控制策略正成为学界焦点。此类策略不仅推动了非线性动力学理论的突破,更为疫情防控、生态调控及工程系统优化等现实难题提供了精准解决方案。 从数学角度分析,研究反应扩散系统中斑图形成的最优控制策略,可视为微分方程主导的优化问题。这类受微分方程约束的问题,属于典型的无限维优化范畴。如图46所示,微分方程最优控制问题存在多种分类方式,划分依据包括:状态方程类型、目标泛函性质、约束条件形式与控制变量类型等维度。
在连续空间反应扩散系统中,斑图形成的最优控制由偏微分方程主导;而在网络化反应扩散系统(无论规则网络或复杂网络)中,最优控制通常由常微分方程约束。
按目标泛函分为三类:(1)最优追踪问题:使系统状态逼近目标状态;(2)资源最优控制问题:最小化资源消耗;(3)时间最优控制问题:最短时间达成目标。
按约束条件分为两类:(1)控制约束:控制约束问题;(2)状态约束问题:限制状态变量,包含两种形式——点约束:作用于特定时空点;积分约束:作用于区域或时段。
按控制类型分为:(1)分布式控制:全域施加;(2)边界控制:边界施加;(3)系数控制:模型系数作为控制变量。
按作用范围分为:(1)全局控制:全域存在控制变量;(2)局部稀疏控制:仅存于局部区域。若状态方程具有多阶段特性(不同时段对应不同方程),则称多阶段最优控制问题,否则为单阶段最优控制问题。

图46. 微分方程主导的最优控制问题分类体系
当控制策略基于状态变量反馈信息时,称为闭环控制问题;反之则为开环控制问题。
此外,最优控制问题还可分为两大类型:(1) 随机最优控制问题:其状态方程为随机反应-扩散方程;(2) 微分博弈问题:同一系统内两个目标函数分别寻求最大化与最小化。
根据网络拓扑结构,研究者还可以探讨高阶网络(如超网络与单纯复形)中反应-扩散系统主导的最优控制问题,以及网络拓扑优化问题。
当前,斑图结构最优控制策略的研究主要集中于单阶段控制问题。这类问题通常将最优追踪与资源高效控制相结合,约束条件多为逐点控制限制。因此,开发出的最优控制策略多为开环控制,缺乏反馈机制。例如,Garvie团队在研究湖泊生态平衡时,运用偏微分方程最优控制理论调控”营养盐-浮游植物-浮游动物-鱼类”反应-扩散系统的螺旋波[140],并破解了Gierer-Meinhardt模型中图灵斑图的参数辨识难题[141,301]。Casas团队在FitzHugh-Nagumo系统中探索稀疏最优控制,通过特定区域精准施控达成最优目标[302,303]。Trélat团队针对Allee效应引发的双稳态生态模型,着力控制系统行波解的最优控制[304]。Chang团队在非线性发病率SIR反应-扩散传染病模型中,研发了图灵斑图最优控制与稀疏控制策略[81,143]。在复杂网络反应-扩散系统领域,Hata团队深耕图灵斑图反馈控制[305],Tian团队剖析时滞趋化浮游生物模型的同步机制与Hopf分岔[160],Gao团队则在有向网络中探求图灵斑图与波斑图的最优控制策略[79,80]。
展望未来,以下研究方向亟待突破:时间最优控制、状态约束、积分约束、多阶段控制及含反馈的闭环控制。以反应-扩散传染病模型为例,如何在最短时间内遏制疾病传播,即构成典型的时间最优控制问题。将疫情控制在时空域的低流行水平涉及逐点状态约束,从确保特定时段感染总数不超阈值,则形成积分状态约束问题。鉴于疾病传播特征随时间演变,需分阶段采取适配措施实现防控目标,从而形成多阶段控制框架。基于实时传播态势动态调整策略,则面临反馈控制的核心挑战。随机最优控制与微分博弈理论为疫情传播斑图控制提供了新路径。当前复杂网络反应-扩散系统的控制研究多基于静态网络,未来构建动态拓扑结构——通过优化网络设计实现传播斑图高效控制——将成为关键拓扑优化命题。相较于单一层次、控制受限或开环系统等基础问题,这些高阶课题在理论构建与数值实现层面更具挑战。解决这些难题将为提升传染病防控能力提供关键支撑。
张子柯老师曾在集智俱乐部「社会计算」读书会以「网络科学视角下的计算社会科学」为主题做了一次分享。感兴趣的朋友可以扫码查看视频👇

复杂网络动力学读书会
6. 探索者计划 | 集智俱乐部2025内容团队招募(全职&兼职)





