网络理论之问:我们研究的是关系,还是结构?

导语
在社交媒体时代,社会网络分析已成为学术界和公众视野中的显学。社会网络分析不仅广泛应用于组织行为、创新扩散、犯罪预警与疫情追踪等领域,更在物理学、流行病学、生物医学等自然科学领域引发热烈关注。尽管“社交网络”概念深入人心,关于“网络理论”本身的理解仍存在诸多困惑:什么是网络理论?它有何独特之处?我们又该如何在网络研究中构建新的理论?
为回应这些核心问题,Stephen P. Borgatti 与 Daniel S. Halgin 在《Organization Science》发表的论文《On Network Theory》对“网络理论”(network theory)的概念边界、核心结构与推理机制进行了系统阐释。
关键词:网络理论,网络的理论,弱关系,结构洞,流模型,联结模型
李叶叶|作者
张江|审校

论文题目:On Network Theory
论文地址:https://pubsonline.informs.org/doi/epdf/10.1287/orsc.1100.0641
一、什么是网络?
——从节点与关系看社会结构的构建逻辑
一、什么是网络?
——从节点与关系看社会结构的构建逻辑
网络由一组节点(nodes)与一组关系(ties)组成。节点可以是个体、组织,甚至国家;关系则指将节点连接起来的某种特定联系,例如“友谊”、“工作沟通”或“信息传递”。这些关系通过连接节点形成路径,关系的模式构成了网络结构。个体在这一结构中的位置则影响其所能获得的资源与机会。因此,社会网络理论的一个核心命题就是:结构决定位置,位置影响行为。
1、网络是被研究问题定义的,而非“自然存在”
一个重要但常被忽视的事实是:网络并非自然存在的,而是研究者根据研究目的构建出来的分析框架。这就引出了一个重要的问题:我们应该研究哪些节点?换句话说,如何划定网络的边界?
Borgatti 指出,这一边界问题常因网络与“群体”的混淆而变得复杂。群体强调边界感与身份区分。而网络强调的是关系连接的模式,其边界往往是人为定义的。例如,若研究组织中沟通网络与工作绩效的关系,研究者可能选择“所有正式员工之间的沟通关系”作为网络构建基础。但这并不意味着外部沟通不重要,只是当前的研究目的决定了关注范围。
2、网络不等于“连通”:也可以是“断裂”的
在许多人的直觉中,网络应该是一个“连通”的整体,但网络并不一定是连通的。如图1所示,一个网络可能包含多个“断裂”的部分,其中一些节点之间无法通过路径相互抵达。虽然这可能违背我们对网络的常识认知,但却对研究网络的演化过程具有重要价值。

图 1 三个独立部分组成的网络
举例而言,在研究新生入学后形成的友谊网络时,最初每个新生都互不相识,网络呈现“极度断裂”状态。随着社交互动增多,网络开始融合,最终形成一个可以连通所有节点的网络。这种视角强调的是网络结构如何在时间维度上演进,而非是否本来就存在。
3、关系的类型:状态型与事件型
进一步来看,不同的关系类型决定了网络的结构含义。作者将网络关系分为两类:
-
状态型关系(State-type ties):持续存在、有延展性的联系。例如亲属关系、朋友、上下级关系、认知认同或情感偏好(如“喜欢某人”)。这类关系可被赋予强度、持续时间等维度。
-
事件型关系(Event-type ties):发生在具体时间点、可计数的互动行为。例如发送邮件、打电话、交易行为等。这类关系可以通过频率衡量其强弱。
值得注意的是,一个完整的社会网络常常由状态型与事件型关系共同构成,且二者之间可能存在交互作用。例如,“朋友”属于状态型关系,而“聊天”属于事件型互动;后者往往是前者的外显形式,也可能反过来强化关系本身。
4、关系的“定义权”在研究者手中
在实际研究中,许多看似是关系的变量,如共同参与某个活动、地理邻近性、特质相似性等,常被用作社会关系的替代指标。但这些变量本身并非关系,而只是关系的生成机制或外在表现。
此外,作者区分了两种认识关系的取向:
-
实在论视角(realist):客观存在一个“真实的”关系网络,研究者要尽力发现它;
-
名义论视角(nominalist):每一个关系问题(如“谁是你朋友?”)都对应一种特定的网络,网络结构是由研究目的决定的。
在名义论立场下,没有“唯一正确”的网络,只有针对不同研究问题构建的不同网络结构。例如,如果研究“八卦传播网络”,那么网络中的中心人物可能是消息灵通、深受欢迎的人;如果研究“谁最讨厌的网络”,情况可能截然不同,处在中心的人反而可能是最不讨喜、被多人提及的对象。因此,网络结构的呈现,取决于你关注的是哪种关系、问了什么样的问题。
二、弱关系与结构洞:流模型中的信息优势
二、弱关系与结构洞:流模型中的信息优势
在厘清了网络的基本构成单元、关系类型及其研究边界之后,一个更具关键的问题是,社会网络中,什么样的关系更有助于个体获取资源、行为改变以及获得发展机会?为回答这一问题,社会网络研究提出了多个具有解释力的经典理论。Borgatti 与 Halgin 通过剖析两大经典理论——Granovetter 的“弱关系的力量”理论(Strength of Weak Ties, SWT)与 Burt 的“结构洞”理论(Structural Holes, SH),揭示了两大经典理论背后共同的逻辑:连接能够带来独特的信息与资源的优势。
这一共同逻辑正是网络理论中“流模型”(Flow Model)理论的基础。流模型关注信息或资源如何在网络结构中流动,节点在网络中的位置如何决定其获取信息的速度、范围与多样性,进而影响个体或群体的行为表现。流模型为理解弱关系与结构洞理论提供了统一的解释框架。
1、Granovetter 的“弱关系的力量”理论(SWT)
Granovetter(1973)提出,个体之间的强关系(如密友)往往会导致其社交圈重合,也就是说,A 与 B 是好朋友,B 与 C 也是好朋友,那么 A 与 C 很可能也互相认识——这体现了关系的传递性,也被称为g-传递性。而弱关系则更可能连接不同的社交圈,形成桥接关系(bridging ties),从而带来新颖而独特的信息。如图2所示,A与G就是一种桥接关系,A是其社交群体中唯一与外群体有联系的人,所以A能从G那里听到A群体中其他人尚未听到的信息。

图 2 A与G的桥接关系
基于这一逻辑,Granovetter 推断:在获取新信息、寻找工作机会等方面,弱关系往往比强关系更有效。这是因为强关系之间的信息高度冗余,而弱关系作为信息“桥梁”,能将行为者接入新的社交圈,获取不在原有网络中的信息资源。不仅如此,社区层面的弱关系数量也影响整体的凝聚力与对外连接能力。弱关系越多的社区,虽然内部关系松散,但更容易调动外部资源、实现协同行动。
2、Burt 的“结构洞”理论(SH)
Burt(1992)从“自我中心网络”出发,提出结构洞的概念:当一个行为者所联系的对象彼此之间并不相连时,他就处于“结构洞”位置。这个位置的个体能够获取非冗余信息,从而具备更高的创造力、影响力或晋升机会。
如图3所示,A 和 B 都有三个联系人,关系强度相同。但 B 的联系人彼此熟识,其提供的信息高度冗余 ;而 A 的联系人之间并无关联,因此,A 则能从三个完全不同的信息源中受益。这种信息的非冗余性构成了 A 的优势,也解释了为何处于结构洞位置的个体常与高绩效、高创造性相对应。

图 3 节点A比节点B的自我网络拥有更多结构洞
3、相似与差异:两种理论的比较
虽然 Granovetter 与 Burt 的理论在表述方式上不同,前者更强调社会现象的偶然性,后者更关注个体的战略行为,但二者在核心机制上高度一致——都是围绕“跨圈层连接带来的信息优势”。
不同的是:
-
Granovetter 更强调“关系强度”与“桥接功能”的因果关联;
-
Burt 则认为关键在于“非冗余性”,关系强度只是一个相关特征而已。
这种差异也反映出两种思维方式:Granovetter 关注远因(distal cause),即关系强度如何影响网络结构;而 Burt 更强调近因(proximal cause),即结构本身带来的效果。
4、理论模型与结构性解释:流模型
Borgatti 与 Halgin 指出,无论是“弱关系”还是“结构洞”理论,其背后共享一个基本逻辑框架:网络中的信息或资源像液体一样沿着路径流动,节点在结构中的位置决定了其接收速度、信息多样性与影响力。
“流模型”将网络看作信息传输的通道系统,信息通过关系流动。节点间的路径越长,信息穿越它所需要的时间就越长。流模型可以解释SWT和SH的理论核心:处于网络中心位置的节点比其他节点接收信息的时间更早;嵌入局部密集部分的节点,通常会从各个联系人那里收到相同的信息流,因为这些联系人之间也彼此关联。这些流动结果(信息到达的时间,接收到的非冗余信息的数量)与更普遍的结果相关联,如创造力、晋升可能性、获得工作机会等。
除了信息流动之外,尽管流模型是网络理论中最成熟的分析框架,但并不能解释所有问题。网络中还有一类关键现象——权力——无法通过信息流动来解释。网络关系还具备协调与排他的功能,这正是另一种重要的理论路径:联结模型。
三、网络权力的另一种逻辑:
联结模型的结构优势
三、网络权力的另一种逻辑:
联结模型的结构优势
除了信息流动路径之外,网络还承载着协商、依赖、联盟等更为复杂的行为逻辑。这类现象无法被“流模型”解释,需要引入另一种模型——联结模型,其核心机制在于:关系不仅传递信息,更能绑定个体、协调行为、形成排他性结构。
该模型的代表性研究来自 Cook 与 Emerson(1978)关于交换网络中的权力实验。在实验中,研究人员设置了不同结构的网络,每个节点代表一个谈判者。每轮实验中,每位参与者只能选择与其连接的节点之一进行交易,目标是在多轮博弈中达成尽可能有利的交易。
如图4所示,在一个三人网络中,B 节点连接 A 和 C,而 A 与 C 无法直接连接。由于 A 与 C 都只有 B 这一交易对象,而 B 可自由选择对象,因此 B 在博弈中占据主导地位。这种优势并非来源于“连接数量”,而是因为他人对 B 的依赖性。

图 4 实验交换网络:节点B拥有最大权力
如图5所示,在更复杂结构中,研究发现:即便节点数相同、连接数相当,位置的不同也会带来权力差异。例如,C 节点的两个交易对象(B 和 D)各自还有其他选择,因此 C 的议价能力反而变弱。联结模型揭示的是一种“结构性权力”:不在于你有多少连接,而在于别人是否能绕开你。

图 5 实验交换网络:节点B比节点A拥有更多的权力
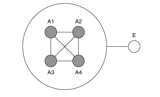
此外,作者还提到“虚拟联合”(virtual amalgamation)概念,即若多个弱势节点之间存在团结关系(如工会成员),它们可以协同行动、联合对抗强势节点。如图6所示,若 A1-A4 彼此团结,就能与 E 平等博弈,这就是协调性关系所带来的组织优势。

图 6 A方成员联合后的谈判网络
供应链协同、平台经济、网络型组织等现实结构,也都体现了联结模型的“虚拟资本化”逻辑:组织间通过关系绑定,实现能力共享,无需真正整合资源。联结模型超越了流模型中的“资源流转”思维,更关注关系所构成的协作基础。
四、从变量堆砌到机制建构:
网络理论的模型化转向
四、从变量堆砌到机制建构:
网络理论的模型化转向
作者进一步强调,真正的网络理论并非是对“中心性”、“连通度”等变量的简单回归分析,而应追求理论驱动的机制建构。也就是说,每一个理论模型都应明确逻辑链条:结构特征 → 中介机制 → 行为结果。
例如,在流模型中,路径长度影响信息到达的时间,而时间早晚则影响机会获取。这一链条不仅解释了为什么中心位置重要,也为具体的结构干预提供了依据。类似地,联结模型强调“排他性”与“依赖性”如何塑造议价权,进而影响合作或竞争结果。
此外,不同模型对“关系”的定义也不同。在流模型中,关系是信息流通的管道;而在联结模型中,关系更像是一种契约或约束机制,能够对行动者之间的行为施加影响。因此,网络分析不能止步于测量指标,而要理解指标背后的行为逻辑。
一个典型例子是“中介中心性”(betweenness centrality)这一概念,它不仅是一个计算公式,更是基于“最短路径优先”假设的理论产物,用于衡量一个节点在网络中控制信息流的潜力。其理论基础正来自流模型中“路径控制即资源优势”的逻辑。
五、研究目标与理论类型:
网络理论的四种模式
五、研究目标与理论类型:
网络理论的四种模式
Borgatti 与 Halgin 还提出了一个简洁的分类框架,结合理论机制(流动 vs 联结)与研究目标(社会资本 vs 社会同质性),将网络理论划分为四种基本类型,如表1所示。
表 1 Network Functions (Mechanisms) by Model and Research Tradition

作者指出,社会网络研究主要围绕两类结果变量展开:一是“选择类结果”,包括个体的行为、态度、信念及组织的结构特征,主要关注节点之间的同质性;二是“成功类结果”,如绩效、声誉、资源获取等,强调网络位置对结果的影响。这一划分分别对应社会网络研究中的“社会同质性”(social homogeneity)与“社会资本”(social capital)两大类传统研究。
表格左上象限的“资本化(capitalization)”代表基于流模型对成就类结果的解释。其基本观点是,网络中的结构位置决定了节点获取资源的能力。典型理论包括:Granovetter(1973)的“弱关系理论”、Lin(1988)的“社会资源理论”以及 Burt(1992)的“结构洞信息效益理论”。
表格右上象限的“感染(contagion)”代表的是基于流模型对选择类结果的解释。这类研究强调,网络中的节点会相互影响,从而在行为、态度或特征上变得相似。典型的研究包括创新扩散(diffusion)、采纳行为(adoption of innovation)等,反映了信息或观念如何在网络中传播,并促使个体做出相似的选择。例如,组织理论中的研究认为组织结构的相似性在一定程度上源自扩散机制(Davis 1991;DiMaggio & Powell 1983)。
表格左下象限“合作(cooperation)”则是基于联结模型对成就类结果的解释。这种类型强调,多个节点形成协作单位,排斥他者并利用结构分化获取利益。这方面的代表性研究包括:实验性交换网络研究(Bonacich 1987;Cook & Emerson 1978;Markovsky 等 1988)以及 Burt(1992)提出的“控制性效益”理论。
表格右下象限“趋同(convergence)”则是基于联结模型对选择同质性的解释。典型研究包括结构等价理论(Lorrain & White 1971;Burt 1976),该理论认为处于类似结构位置的节点会适应其所处的环境,呈现出行为和态度的趋同。例如,两名地理位置相距较远、但在各自网络中均处于中心地位的个体,可能因频繁被求助而对电话产生厌烦情绪,表现出相似的态度。
结语:网络理论的未来路径
结语:网络理论的未来路径
在《On Network Theory》一文中,Borgatti 与 Halgin 不仅系统梳理了网络理论的核心概念与代表模型,更重要的是提出了一个清晰的研究方向:从描述网络结构的“统计学”走向解释结构作用机制的“理论建构”。
网络是信息传递的路径系统,是权力互动的博弈平台,也是合作与控制的基础结构。理解网络理论,意味着不仅要看“谁连了谁”,更要理解“连接意味着什么”以及“连接带来什么”。
未来的网络研究,将更关注跨层级(个体-群体-组织)、跨关系类型(认知-情感-制度)的整合视角,发展出更具解释力与预测力的理论模型。
网络理论,不仅是一套分析工具,更是一种看世界的方式。
参考文献
Bonacich, P. 1987. Power and centrality: A family of measures. Amer. J. Sociol. 92(5) 1170–1182.
Bonacich, P. 2007. Some unique properties of eigenvector centrality. Soc. Networks 29(4) 555–564.
Borgatti, S. P., P. Foster. 2003. The network paradigm in organizational research: A review and typology. J. Management 29(6) 991–1013.
Burt, R. S. 1976. Positions in networks. Soc. Forces 55(1) 93–122.
Burt, R. S. 1992. Structural Holes: The Social Structure of Competi tion. Harvard University Press, Cambridge, MA.
Cook, K. S., R. M. Emerson. 1978. Power, equity and commitment in exchange networks. Amer. Sociol. Rev. 43 721–739.
Davis, G. F. 1991. Agents without principles? The spread of the poison pill through the intercorporate network. Admin. Sci. Quart. 36(4) 583–613.
DiMaggio, P. L., W. W. Powell. 1983. The iron cage revisited: Insti tutional isomorphism and collective rationality in organizational fields. Amer. Sociol. Rev. 48(2) 147–160.
Erickson, B. 1988. The relational basis of attitudes. S. D. Berkowitz, B. Wellman, eds. Social Structures: A Network Approach. Cambridge University Press, Cambridge, UK, 99–121.
Granovetter, M. S. 1973. The strength of weak ties. Amer. J. Sociol. 78(6) 1360–1380.
Kilduff, M., D. Krackhardt. 1994. Bringing the individual back in: A structural analysis of the internal market for reputation in organizations. Acad. Management J. 37(1) 87–108.
Lorrain, F., H. C. White. 1971. The structural equivalence of individuals in social networks. J. Math. Sociol. 1(1) 49–80.
Markovsky, B., D. Willer, T. Patton. 1988. Power relations in exchange networks. Amer. Sociol. Rev. 53(2) 220–236.
Podolny, J. M., J. N. Baron. 1997. Resources and relationship: Social networks and mobility in the workplace. Amer. J. Sociol. 62(5) 673–693.
Podolny, J. M. 2001. Networks as the pipes and prisms of the market. Amer. J. Sociol. 107(1) 22–60.
参考文献可上下滑动查看
本文为科普中国·星空计划扶持作品
作者:李叶叶 海南大学博士
审核:张江 北京师范大学系统科学学院教授
出品:中国科协科普部
监制:中国科学技术出版社有限公司、北京中科星河文化传媒有限公司
高阶网络社区
详情请见:
网络科学系列课程
6. 加入集智,玩转复杂,共创斑图!集智俱乐部线下志愿者招募






