复杂网络建模如何助力供应链网络提高韧性?

摘要
供应链对现代生产至关重要,但其关键特性仍缺乏充分研究。本文提出了一种具有随机生产能力的模型,分析物料流向根节点的情况,重点关注网络拓扑结构(Network topology)和缓冲库存(buffer stocks)。通过数值模拟“临界需求”,即系统无法满足需求并出现显著缺口的情况。研究表明在没有库存的情况下,系统的运作由最低生产能力决定,此时网络拓扑结构变得无关紧要。然而,当引入库存后,系统会出现“记忆效应”,使得网络拓扑结构变得至关重要。因此,增强局部连接性是有益的:企业应优先选择“宽而短”而非“长而窄”的供应链结构。
关键词:供应链、随机模型、物料流、临界需求、缓冲库存、网络拓扑结构、系统临界行为
Yannick Feld、Marc Barthelemy丨作者
赵思怡丨译者
周莉丨审校

论文题目:Critical Demand in a Stochastic Model of Flows in Supply Networks
论文地址:https://journals.aps.org/prl/abstract/10.1103/PhysRevLett.134.217401
论文来源:Physical Review Letters
引言
引言
在全球化进程不断深化与产业链高度互联的背景下,供应链已成为现代生产体系中不可或缺的关键基础设施。其运行稳定性不仅关系到企业的持续运营,更直接影响国家层面的经济安全。然而,近年来一系列突发事件——如 COVID-19 疫情引发的全球供应链中断、俄乌冲突对能源和粮食流通造成的冲击——暴露出当前供应链在面对突发需求激增时所存在的系统性脆弱(systemic fragility)。
正如《Physics》杂志《FOCUS》栏目文章 “How to Make Supply Chains More Resilient”(作者 Mark Buchanan)所指出:
“在需求显著增长时,那些允许储存冗余物资、且具备多条冗余路径的供应链表现更为稳健。”
这一观点印证了学界当前的共识:传统以效率最大化为目标的供应链优化模型,在解释系统在非稳态条件下的临界行为方面存在明显不足。现实中,许多企业广泛采用“准时制交付”(just-in-time delivery)策略以降低库存成本,但在面对超出常规的需求峰值时,这类高度精简的网络往往缺乏足够的冗余与缓冲能力,从而导致系统失稳甚至崩溃。
为填补理论与现实之间的这一空白,Barthelemy 和 Feld 提出了一种基于随机生产能力的物料流模型(stochastic model of material flow),首次系统性地将网络拓扑结构与缓冲库存两个关键因素纳入分析框架,研究它们如何共同影响供应链在临界状态下的表现。本文将以该模型为基础,深入探讨在不同网络结构与库存策略下系统临界行为的演化机制,旨在为复杂供应链的优化设计与风险防控提供坚实的理论支撑与具有操作性的策略建议。
背景
背景
供应链对现代生产至关重要,进而对整个社会也极为关键 [1,2,3]。企业依赖于及时交付的输入材料——例如螺丝工厂需要金属原料——来维持生产。这些输入可以存储在缓冲库存中,也可以通过准时制方式直接交付 [4,5]。缓冲库存提高了抗冲击能力,但也增加了成本,因此在效率和抵御中断之间存在权衡,这也是供应链优化中的关键因素。供应链通常通过流动方程建模,其中节点代表企业或仓库,连线代表产品流动 [1,2]。这些模型通常通过变分不等式来求解最优的成本效率 [1,2,6]。虽然这些模型在管理中很有效,但它们无法深入揭示系统对扰动响应的行为,这些响应可能从小幅延误 [7] 到严重危机 [8] 不等。一个关键问题是:系统能否吸收扰动,还是会引发连锁故障 [9,10]。
复杂的现实世界模型 [11,12] 往往掩盖了背后的韧性原则,Moran 等人 [13] 最近提出了一个随机模型来研究动态拓扑下供应链中的延迟传播,揭示了一个重要现象:当系统延迟超过某一阈值时,会出现“临界行为”,即延迟快速放大,但该模型未纳入需求和库存等关键因素。本文提出了一个用于分析供应链中物料流的随机模型,研究一个向消费者销售产品的根节点企业。本模型重点分析了随机供应波动(stochastic supply fluctuations)如何影响物料流动,特别是缓冲库存如何左右系统的动态行为。我们将聚焦于临界需求速率𝑟*,即一旦超过此速率,系统将进入无法满足客户需求的状态。库存引入了“记忆效应”,根据统计物理的经验,库存引入“记忆效应”会显著改变系统状态,从而显著影响临界需求速率𝑟*。通过研究网络拓扑结构如何影响这一临界速率,我们的目标是找出构建韧性供应链的设计原则。
模型
模型
我们提出的基本假设是:物料流动网络可以表示为一个有向无环网络(Directed Acyclic Network) [14–17]。这意味着网络中不存在任何节点能够成为其自身的祖先(详见[20])。值得注意的是,这一假设排除了诸如回收、翻新等具有反馈路径的过程 [18,19]。整个网络拓扑结构由一个包含N个节点(企业)的列表来表示。每个节点i都有一个“父节点列表”Pi(即其直接客户)和一个“子节点列表”Ci(即其直接供应商)。我们关注某一特定产品的流动,该产品仅由唯一的根节点企业i=0生产并销售给外部客户。该根节点是网络中所有其他节点的共同祖先。它面临一个外部需求D0,即来自最终客户的订单量。在每一个时间步t,根节点的需求D0(t)由前一时间步未满足的需求u(t−1)和当前新增的固定需求r组成:

我们假设r是恒定不变的。对于任意企业i,其需求Di表示其需从所有子节点获取的产品总量。注意此处的数量单位是任意的,例如一次需求“1”可能代表从子节点A请求三吨产品、从子节点B请求十克产品。每家企业i可以为其子节点l维持一定库存kil(t),库存上限为s,我们假设所有企业的库存容量相同。如果当前库存kil(t)小于企业i的需求Di(t),则该企业将向其子节点追加订购:

这一机制驱动着需求在网络中的传播。除根节点外的所有非根节点i>0的需求,由其所有父节点发出的订单总和决定:

由于实际限制因素(如生产线数量、员工病假、设备维护等),每个企业在时间步t的最大生产能力为mi(t),这是其当期可生产的最大产量。我们假设所有mi(t)独立且服从区间[0,1]上的均匀分布,并在每个时间步重新随机生成,即采用“退火” (annealed) 设定。对于没有子节点的叶节点,其实际产量为:Ii(t)=min[mi(t),Di(t)],即不超出自己的最大产能,也不多于接收到的订单。对于其他有子节点的企业i,其产量还受到子节点产品可用性的限制,这些包括来自子节点l的交付量ail(t)和当前库存kil(t)。因此其产量为:

每家企业在t时刻能够供应给其父节点(客户)的产品总量显然不能超过其实际产量Ii(t)。如果企业有多个父节点,它需要决定如何将产量分配给各个客户。我们假设这种分配按各父节点在其总需求中的占比进行,即:

接下来,每个节点i会尝试将未使用的产品继续存储,以供未来使用。由于每类产品的最大库存为s,因此更新规则为:

根节点未满足的需求为:u(t)=D0(t)−I0(t)。由于网络是无环的,我们可以根据上述公式给各节点排序,以确保模型的可计算性。我们在[20]中提供了伪代码,并在图 1 中展示了模型的关键交互机制。本模型的核心问题在于探索其临界行为,即找出临界需求速率r = r*,一旦超过此值,未满足需求u会在平均意义上不断增长(关于如何测量r*详见[20])。该增长表明供应链已经无法满足外部需求。我们特别关注r*如何随网络拓扑结构变化而改变。

图1:动态机制的示意图。(a)展示了一个小型示例网络,包含一个根节点 i = 0 、一个中间节点 i = 1 和一个叶节点 i = 2 ,图中可视化了需求与产品的流动过程。(b)展示了任意节点i的局部放大图,该节点具有父节点j和子节点l,图中展示了产量Ii如何由需求、随机生产能力mi、来自子节点的交付量ail以及库存kil共同决定。
无库存
无库存
我们首先在无库存(即s = 0)的极限条件下研究该模型,此时所有库存kij(t)始终为0。我们记Ci为节点i的所有后代(descendants)集合,包括所有直接或间接影响其生产的节点。我们聚焦于一种特殊情形:所有节点除了根节点外均只有一个父节点,这意味着所有节点的需求Di相同,且若l是i的子节点,则ail(t) = Ii(t)。此时,产量公式(见前文公式(4))变为:

在一个简单的一维链结构(one-dimensional structure)中,除叶节点外,每个节点i恰有一个子节点l = i + 1。当需求足够大时,最小值中的Di项可以忽略(见前文公式4、7),因此节点i的平均产量 〈li〉约等于N – i个独立同分布的 [0,1] 区间均匀变量的最小值的期望值。该值在统计学中是已知的,其表达式为:

这意味着,某节点的产量仅取决于它距离叶节点的距离。显然,临界需求速率r*就是根节点i = 0的平均产量,因此:

需要注意的是:这个公式对所有树状网络都成立,只要每个节点最多只有一个父节点[20]。有趣的是,在一维链结构的淬火情形(quenched case)下,所有mi固定不变,根节点需求的演化由如下随机微分方程控制:

这个公式清楚地说明了,生产瓶颈由最小的生产能力mi所决定。
非零库存
非零库存
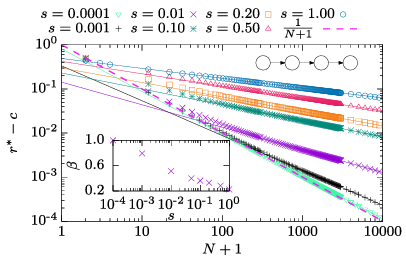
我们现在研究库存容量非零(s > 0)的情况,此时系统具有一定的“记忆”,使得分析变得更复杂。在一维链结构下可以得到一些解析结果[20],但我们主要通过数值模拟研究模型行为 [21]。为考察库存容量s的影响,我们测量不同节点数量N下的临界需求速率r*(在固定s的条件下)。需要指出的是:由于某节点的祖先不会影响其动态,因此在一维链中,平均产量仅与其距离叶节点的距离相关。
我们发现,对于大的N,数据可以很好地拟合如下幂律形式(power law):

其中α、β和c为拟合参数,依赖于库存容量s。图 2 展示了这一结果。为减小有限规模效应,我们仅使用N≥400的数据进行拟合。

与无库存情况一样,增加节点数量N会降低临界需求速率r*,因为依赖关系越多,系统越容易阻塞。当N = 1时,库存无影响,此时r* = 1/2。但当N增大时,库存容量s的提升会显著提高r*,因为库存可以缓冲供给波动(即缓冲kil的波动)。我们强调,库存不仅改变了幂律函数的前因子,还改变了指数本身,从根本上改变了系统行为。这一效应在长链式供应链中尤为显著,此时引入库存将带来显著优势。
开放与封闭链结构
开放与封闭链结构
我们现在研究一种开放链结构,即从根节点出发,有z0条长度相同的链。我们定义节点j的高度为从该节点到根节点的最短路径所经过的节点数。因此根节点的高度为h = 1,而整个网络的高度定义为所有节点中最大的高度。
我们测量不同z0和不同高度h下的临界需求速率r*,并使用先前的幂律拟合函数(公式 (11))进行拟合(详细见[20])。结果基本表明:当网络中链的数量增加时,系统的临界需求速率r*会下降,这也符合直觉,因为更多的链意味着更多的依赖路径,从而可能产生更多瓶颈。
对于封闭链结构,我们假设所有这些链最终汇聚至某个共同的节点θ,并向该节点再连接一条新链,以改变节点θ到叶节点之间的距离。该结构最重要的拓扑特征是:多个节点共享同一个供应商θ。由于θ的产品需分配给z0个父节点,因此系统的临界产能受到限制,其上限为:![]()
,也就是说:整个网络无法满足的需求超过了θ节点产能在所有父节点之间的分配份额时,系统将无法稳定运作。
规则树结构
规则树结构
我们现在转向研究一种规则树结构,即每个节点向下分出z个子节点,直到树的最大高度h为止。我们通过数值模拟发现,在可计算范围内,临界需求速率r*能很好地被以下函数描述:

其中α、β和c是依赖于子节点数z的拟合参数。当z = 1时,该公式自然退化为一维链的情况(见公式 (11)),说明它具有一致性。
为检验上述函数形式,我们注意到,如果该表达式成立,那么绘制以下变换后的数据:

对比h应当得到一条直线y = x。图 3 展示了实际数据的对比结果,我们看到不同z和h的数据成功对齐,验证了拟合函数的合理性(拟合参数详见[20])。我们进一步观察到:
-
随着子节点数z的增加,指数β也会增加。这说明更多的子节点意味着更多的依赖关系,从而降低了系统的临界产能;
-
常数项c基本保持不变,表明当节点数量N→∞时,所有规则树趋向相同的临界需求速率r*;
-
对于s = 1的情况,规则树的r*远大于一维链,但由于树的节点数随z指数增长,该结论较难在大z下验证。

图3:我们在此展示了通过将公式 (12) 拟合到不同正则树结构(由子节点数z和高度h定义)下数值测量得到的临界需求速率r*所获得的数据坍缩结果。所有拟合的决定系数R2均大于 0.999。图中所示的小型网络是一个视觉辅助,用于表明本图描述的是树状结构。插图为完整起见展示了r*随h的变化情况。
随机树结构
随机树结构
我们现在考察树结构中的随机性对系统性能的影响,方法是对比一棵规则树与一棵具有相同节点数量的随机树。为了生成具有N个节点的随机树,我们从根节点(层数为 1)开始构建。对于当前层的每个节点,从预定义集合(如{1, 2, 3})中随机选择其子节点数量,并逐一添加。这个过程层层递进,直到添加更多节点会超过总数N为止,从而确保最终的树结构恰好有N个节点。我们用以下指标来量化随机性对性能的影响:

-
若Δ r* > 0,表示规则树的平均产能更高;
-
若Δ r* < 0,说明随机树表现更优。
图 4 主图显示了不同子节点选择范围下的Δ r*分布密度函数。结果如下:
-
若随机树的本地连接度为z∈{1, 2},性能通常劣于规则树;
-
若z∈{2, 3},则随机树始终优于规则树;
-
若z∈ {1, 2, 3},性能介于上述两者之间。
这些结果表明,一般而言,避免线性段,并尽量将后代节点靠近根节点是有益的。

图4:在主图中,我们展示了在不同子节点数z分布下,通过数值模拟得到的临界需求差异Δr*的概率密度ρ(Δr*)(最大库存容量为s=1)。对于每种概率密度,我们生成了8×105棵独立的随机树,并测量了它们各自的临界需求速率r*,从而构建直方图。紫色柱状图对应z∈{1, 2},绿色柱状图对应z∈{1, 2, 3},蓝色柱状图对应 z∈{2, 3}。所有使用的树结构均包含恰好N=63个节点,对应高度h=6。插图展示了在不同最小树结构(仅包含根节点及其z0个子节点,即N=z0+1)下,库存s对生产差异![]()
影响的测量结果。
为了进一步探讨这个现象,我们比较两种极端结构:
1. 一棵树,其根节点拥有N – 1个直接子节点(“扁平结构”);
2. 一条长度为N的线性结构(“长链结构”)。
在相同的最大产能条件下,我们施加一个大于 1 的根节点需求(确保系统不是因需求太小而受限,具体细节见[20]),并测量树结构相对于线性结构的产量增益:

图 4 插图显示了不同库存容量s下的![]()
:
-
当s = 0(无库存)时,

= 0,符合预期:此时系统性能仅取决于节点数量,与结构无关;
-
对所有s > 0,

> 0,并随着z0增加而增长,说明“树状结构”比“线性结构”更具优势;
-
当s继续增加时,

在s≈0.315达到峰值;
-
对于非常大的s,

→ 0,因为此时库存无限大,产能不会浪费,结构差异影响减弱。
因此,在树状网络中,只要需求不是限制因素,平均产量趋近于系统最大产能,即1/2。
结语
结语
本文提出了一个用于供应链网络中物料流动的随机模型,并重点研究了系统的临界需求速率r*。在无库存(s = 0)的情况下,我们通过解析推导发现临界需求速率r*很简单,仅取决于节点数量N,与网络拓扑结构无关,只要每个节点至多只有一个父节点即可。
而在引入库存(s > 0)后,系统表现出记忆效应,使得动态行为更加复杂,网络拓扑结构开始发挥重要作用。除了[20]中提到的某些特例外,这一情况下的系统行为变得难以解析,我们主要依赖数值模拟进行研究。库存不仅改变了临界需求的前因子,还改变了指数本身,彻底改变了系统的动力学特性。对于真实世界的供应链,哪怕是适度的中间库存,也能显著提升长链系统的鲁棒性和韧性,应优先考虑,而非一味追求准时制交付。
我们研究了多种具有代表性的拓扑结构,从一维链、多链,到规则树与随机树。数值结果表明:
-
将节点尽可能靠近根节点是有益的;
-
相较于“长而窄”的链式结构,“宽而短”的树状结构更具优势;
-
若某个节点具有多个父节点(即多个客户),其产量需在这些客户之间分配,将显著降低整体系统的临界需求速率r*,因此这类结构应谨慎使用。
此外,我们还提出了几个值得未来研究的扩展方向:
1. 令某节点的最大产能依赖其父节点数量,以揭示更多结构效应;
2. 将固定需求率r替换为随机变量,以研究需求波动对系统的影响;
3. 引入节点产能之间的相关性(如共同能源成本等),以更贴近现实世界供应链。通过设定一个控制参数,可以系统性地分析这些相关性对临界行为的影响。
参考文献
[1] A. Nagurney, M. Yu, A.H. Masoumi, and L.S. Nagurney, Networks Against Time, 1st ed. (Springer, New York, NY, 2013).
[2] A. Nagurney, Labor and Supply Chain Networks, 1st ed. (Springer, Cham, 2023).
[3] A. Nagurney, D. Hassani, O. Nivievskyi, and P. Martyshev, Multicommodity international agricultural trade network equilibrium: Competition for limited production and trans portation capacity under disaster scenarios with implications for food security, Eur. J. Oper. Res. 314, 1127 (2024).
[4] A Journey through Manufacturing and Supply Chain Strategy Research, edited by E. Bartezzaghi, R. Cagliano, F. Caniato, and S. Ronchi (Springer, Cham, 2016).
[5] K. Katsaliaki, P. Galetsi, and S. Kumar, Supply chain disruptions and resilience: A major review and future research agenda, Ann. Oper. Res. 319, 965 (2022).
[6] J. Dong, D. Zhang, and A. Nagurney, A supply chain network equilibrium model with random demands, Eur. J. Oper. Res. 156, 194 (2004), eURO Excellence in Practice Award 2001.
[7] C. Colon and M. Ghil, Economic networks: Heterogeneity induced vulnerability and loss of synchronization, Chaos 27, 126703 (2017).
[8] P. Caraiani, A. M. Dima, and C. Păun, T. Stamule, and M. V. Vargas, Production networks and resilience: How dense production networks shield economies in financial crisis, PLoS One 19, 1 (2024).
[9] S. Battiston, D. Delli Gatti, M. Gallegati, B. Greenwald, and J. E. Stiglitz, Credit chains and bankruptcy propagation in production networks, J. Econ. Dyn. Control 31, 2061 (2007), tenth Workshop on Economic Heterogeneous Interacting Agents.
[10] E. J. Hearnshaw and M.M. Wilson, A complex network approach to supply chain network theory, Int. J. Oper. Prod. Manage. 33, 442 (2013).
[11] Sustainable Supply Chains: Strategies, Issues, and Models, 1st ed. (Springer, Cham, 2020).
[12] T. Sawik, Stochastic Programming in Supply Chain Risk Management, edited by U. Ramanathan and R. Ramanathan (Springer, Cham, 2024).
[13] J. Moran, M. Romeijnders, P.L. Doussal, F.P. Pijpers, U. Weitzel, D. Panja, and J.-P. Bouchaud, Timeliness criticality in complex systems, Nat. Phys. 20, 1352 (2024).
[14] M.J. Meixell and V.B. Gargeya, Global supply chain design: A literature review and critique, Transp. Res. Part E 41, 531 (2005).
[15] R. Wiedmer and S.E. Griffis, Structural characteristics of complex supply chain networks, J. Bus. Logist. 42, 264 (2021).
[16] T. Kito, A. Brintrup, S. New, and F. Reed-Tsochas, The structure of the toyota supply network: An empirical analysis, Saïd Business School WP 2014-3 (2014), https:// papers.ssrn.com/sol3/papers.cfm?abstract_id=2412512.
[17] S. S. Perera, M.G.H. Bell, M. Piraveenan, D. Kasthurirathna, and M. Parhi, Topological structure of manufacturing industry supply chain networks, Complexity 2018, 3924361 (2018).
[18] M. Fleischmann, H.R. Krikke, R. Dekker, and S.D.P. Flapper, A characterisation of logistics networks for product recovery, Omega 28, 653 (2000).
[19] D. Francas and S. Minner, Manufacturing network con figuration in supply chains with product recovery, Omega 37, 757 (2009), role of Flexibility in Supply Chain Design and Modeling.
[20] See Supplemental Material at http://link.aps.org/ supplemental/10.1103/PhysRevLett.134.217401 for addi tional results and figures.
[21] A.K. Hartmann, Big Practical Guide to Computer Simu lations, 2nd ed. (World Scientific, Singapore, 2015).
[22] https://cland.lsce.ipsl.fr
参考文献可上下滑动查看
金融复杂性读书会
当前,全球金融系统正遭受多重不确定性冲击,如气候风险加剧、中美贸易摩擦及俄乌冲突等,导致金融系统复杂性与不确定性达到前所未有的高度。在金融复杂系统中,市场、机构及异质利益相关者的行为呈现非线性与网络化特征,常引发意想不到的结果。
正如“知己知彼,百战不殆”所言,我们需系统探究金融复杂系统的理论基础、量化识别方法、生成演化机制及风险治理路径,以更有效地认知、建模与决策。为此,集智俱乐部联合北京师范大学李红刚教授、爱尔兰都柏林圣三一学院Brain Lucey教授、中国地质大学(北京)黄书培副教授、首都师范大学王泽讲师、北京林业大学幸小云副教授及北京化工大学王欣雅副教授,共同发起“金融复杂性”主题读书会。读书会自2025年8月4日起,每周一19:00-21:00举行,预计持续10周。欢迎扫码加入,共建“金融复杂性”社区。
6. 探索者计划 | 集智俱乐部2025内容团队招募(全职&兼职)






