重整化群如何得到费根保姆常数-以logistic迭代为例|集智百科

导语
Logistic 映射是一个用来模拟种群增长的数学模型,它的迭代形式看似简单,却能展现出从稳定到混沌的复杂行为。随着增长率参数 𝑟 的提高,系统会经历“周期倍增”的现象:先是变成2周期,然后4、8……最终进入完全混沌状态。美国物理学家费根鲍姆发现,这些周期倍增之间的参数间距以一个固定比例缩小,这个比例就是著名的费根鲍姆常数(约 4.669),它在很多系统中都一样,是混沌系统中的“普适常数”。
为了理解为什么会有这个常数,科学家借助了重整化群的方法,也就是不断“放大”和“压缩”映射过程,寻找其中隐藏的自相似结构。通过这种方法,我们不仅能计算出这个常数,还能理解为什么这么多系统都会展现出相同的混沌规律。
“集智百科精选”是一个长期专栏,持续为大家推送复杂性科学相关的基本概念和资源信息。作为集智俱乐部的开源科学项目,集智百科希望打造复杂性科学领域最全面的百科全书,欢迎对复杂性科学感兴趣、热爱知识整理和分享的朋友加入,文末可以扫码报名加入百科志愿者!

↑↑↑扫码直达百科词条
张江、李欣儒 | 编译
课程推荐
-
从有限的观测提取一般性规律建模的原则和常见框架是什么? -
怎样写出系统重要结构和运动模式的近似解析表达式? -
怎样将对称性、不变性、基本范式等先验知识放到系统解析描述中? -
怎样建立系统不同层级动力学间联系的方程?
目录
2.2 1<μ<3
2.3 3<μ<3.6
2.4 μ=3.6
2.5 3.6<μ<4
2.6 μ=4
3. 不同参数μ下的极限行为
4. 混沌与Logistic映射
5. 分岔行为
5.1 二分周期点
5.2 二分周期点的稳定性
5.3 其它的倍分周期点
6. 费根鲍姆常数
6.1 自相似性
6.2 δ
6.3 α
6.4 普适性
7. 重整化群方程与费根鲍姆常数
7.1 时间上的尺度变换
7.2 迭代法则的自相似性
7.3 图形变换与相似性
7.4 重整化
7.4.1 重整化群方程
7.4.2 重整化方程求解
1.Logistic映射
1.Logistic映射
Logistic映射,又称单峰映象,是一个二次多项式映射(递归关系),经常作为典型范例来说明复杂的混沌现象是如何从非常简单的非线性动力学方程中产生的。生物学家罗伯特·梅 Robert May [1]在1976年的一篇论文中推广了这一映射,[2]它在一定程度上是一个时间离散的人口统计模型,类似于皮埃尔·弗朗索瓦·韦胡斯特 Pierre Francois Verhulst首次提出的方程。
-
当人口规模很小时,人口将以与当前人口成比例的速度增长进行繁殖。 -
饥饿(与密度有关的死亡率) ,其增长率将以与环境的”承受能力”减去当前人口所得值成正比的速度下降

2. 数值试验
2. 数值试验

图1
首先,可以用一系列数值试验的方法来探讨这个迭代方程。如果使用Mathematica数学软件,只需要用两句话就能实现这个迭代:

通过对μ取值不同,分下面几种情况来进行讨论:
2.1 0≤μ≤1

图2
图2中左图表示的是当μ=0.2,右图表示的是当μ=0.9的时候方程的迭代结果。每张图都有两条曲线(蓝色和紫色),分别表示从初始值x(0)=0.1和x(0)=0.8开始得到的演化轨迹。每张图内的小图为纵坐标取对数之后的图形,可以看出系统趋向于0时候的速度,显然当x(0)=0.1的时候,速度更快。
可以观察到无论系统从何初值开始,也无论μ取什么值,系统最终都会渐进地趋近于0。因此,当0<μ<1时,系统的极限行为趋于0这个固定值。
也就是说,当0<μ<1时,种群最终会灭亡,不论初始种群数有多大。
2.2 1<μ<3
当μ在1到2之间,种群数量会很快接近
,不论最初种群为何值

图3
图3展示的是μ=1.2,右图表示的是μ=2.7的时候方程的迭代结果,我们看到,两种情况下,方程的迭代结果仍然收敛于固定值,分别是0.18和0.63。也就是说,这个稳定值可以随着μ发生变化。
-
当μ在2到3之间,人口数在经历一段时间的波动后会趋于稳定值
,其收敛速度满足线性变化。但当μ=3时,比线性收敛还要缓慢。(详情见Bifurcation memory)
事实上,只要μ<3,系统都会收敛到一个不动点,而这个不动点的数值可以通过求解下列方程而得到:

得到解为:

其中,
对应的是μ<1时候的不动点,
对应的是μ>1时候的不动点。
所谓的迭代不动点,也就是:一旦出现某一个T使得
,则对任意的t>T都会有:
。
这就是上述两种情况。方程会收敛到不动点,并不会再产生新的x(t)值。
2.3 3<μ<3.6
-
当μ在3到1+√6 ≈ 3.44949,在所有的初始条件下,人口数会持续在两个依赖μ的值之间近似永久振荡。
这个时候,方程的迭代会出现周期行为。随着μ的增大,周期的长度也会相应地增加。如下图所示两种情况,左侧的周期为2,右侧的周期为4。

图4
在左图4中,当μ为3.2的时候,图形呈现锯齿状,表明x(t)在两个值之间:0.5和0.8上下徘徊。虽然从不同的初始值开始(蓝线和紫线),系统演化的轨迹并不一样,但是它们的终值却始终是0.5和0.8。
-
当μ大约在3.44949和3.54409之间,在所有的初始条件下,人口数将在四个值之间近似永久振荡。后一个数字是一个12次多项式的根。在OEIS中查看A086181).
图4右图展示了当μ=3.5的时候,系统在4个值上下反复跳动即0.87–>0.4–>0.82–>0.5。蓝色的轨迹和紫色的轨迹在初始略有不同,但是最终收敛到了一起。如果进一步增加μ值,系统还会呈现出更多的周期,包括8周期、16周期……
2.4 μ=3.6

图5
事实上,从μ>3.54以后,系统震荡的周期就变得越来越长。
-
当μ≈ 3.56995(在OEIS中的A098587),出现混沌现象,在倍周期级联的末端。在所有的初始条件下,不再观察到有限周期内的振动。 随着时间的推移,初始种群数的微小变化会产生明显不同的结果,这是混沌的主要特征。 -
3.56995以上的μ值大多表现出混沌行为,但仍有一定的孤立范围表现出非混沌行为;这些岛屿有时被称为稳定岛。例如,从1 +√8(约3.82843)开始,[3] 有一个参数μ的范围,在3个值之间显示μ振荡,在6个值之间显示稍高的μ振荡,然后在12个值之间显示稍高的μ振荡,等等。
直到大概3.6的时候,周期长度趋向于无穷大,此时,系统开始了混沌状态。随着系统的演化,x(t)的值会一直在0.3到0.9之间徘徊,没有固定的周期,而且行为很随机。不同的初始状态演化的轨迹也不重合。可以统计不同时刻的x(t)值在区间[0.3,0.9]之上的统计分布,如下所示:

图6
图6中所示为一次模拟试验运行了20000个周期,x(t)在这不同时刻的值在[0,1]区间上的累计分布图。图形中的平台部分表示取值概率基本为0。也就是说x(t)的取值基本集中在0.3~0.6和0.8~0.9这两个区间里。而往右上按照直线倾斜的部分表示x(t)在该区间近似呈现均匀分布。由此可见,这个时候迭代系统表现出随机性,然而整个迭代方程都是确定性的,因此认为产生了确定性的混沌。
2.5 3.6<μ<4

图7 不同的初始条件下关于μ的函数 (横轴的r为μ)
当参数μ从大约3.56995变化到3.82843时,Logistic映射的混沌行为的发展过程有时被称为the Pomeau–Manneville scenario,其特征是周期性(层流)阶段被非周期性行为突然打断。The Pomeau–Manneville scenario在半导体器件中有应用。[4] 此时函数值在5个值之间来回波动;所有的振荡周期都依赖于μ。带参数c的倍周期是由一系列子序列组成的μ值范围。第k个子区间包含了μ的值,其中有一个2kc的稳定周期(一个周期吸引了一组单位测度的初始点)。这个子范围的序列称为谐波级联cascade of harmonics。[5] 在一个稳定周期为
的子范围内,所有k<k∗都存在周期为2kc的不稳定周期。在无限子区间序列末端的μ值称为谐波级联的积累点。随着μ的升高,出现了一系列具有不同c值的新窗口。第一个是c = 1;所有包含奇数c的后续窗口都以c的递减顺序出现,以任意大的c开始。[5][6]
当μ持续增大的时候,迭代运行的轨道就会在周期类型和混沌类型之间来回切换。直到μ=4,系统处于完全混沌的状态,最终的长期行为会在[0,1]区间上均匀分布。
2.6 μ=4
μ = 4的特殊之处与μ= 2相同,其可以获得精确的解,[7] 虽然,一般情况只能通过统计来预测。[8]
当μ = 4 时,[7][9]

给出初始参数 θ :

针对有理数的θ,有限次数的迭代后xt就会变成一个周期性的数列。不过几乎所有的θ都是无理数,此时xt不会重复,因此没有周期解。此解可以清楚的看出混沌的二个重要特征:拉伸及折叠。系数2t表示拉伸的指数增长,因此造成蝴蝶效应,也就是对初始值的高度依赖性,而解中包括正弦函数的平方,使解折叠在[0,1]的范围内。
对于μ= 4,用复数代替三角函数的等价解为:[10]

α也是复数
其模量为1,正如就像三角函数中的平方正弦函数不会导致点集的缩小或扩大,在后者的解决方案中,可通过α的单位模量来实现该种结果。
相比之下,μ =2的解为:[10]

对于x0∈[0,1)。此解没有混沌的特性。由于对不包括不稳定的不动点点0在内的x0,当t趋近无限大时,
会趋近于零,因此xt会趋近稳定的不动点½。
μ =4时,几乎所有的初值都会使Logistic映射出现混沌特性,不过也存在无限个初值会使Logistic映射最后呈周期性变化。而且对于所有正整数,都存在一初值使Logistic映射的周期为正整数。可以利用 Logistic映射和移位映射 Dyadic transformation之间的关系来找出任何周期的循环。若x依照Logistic映射xt+1=4xt(1−xt),而y依照移位映射

则二个变量的关系如下:

当y以二进制表示时,映射会将二进制的数字左移一位(若左边的二进制点为1,则这个1会变为0),该种映射也称为二元转换或移位映射。例如,如果迭代的二进制扩展中有一个3位重复序列(并不是一个1位重复序列),则会发生长度为3的循环。迭代001001001…映射到010010010…,映射到100100100…,反过来又映射成原来的001001001…;这是一个3循环的移位图。循环节为010, 011, 100, 101, 110 时也会有类似情形。
另外三个二值展开重复序列给出了三次循环110110110…→101101101…→011011011…→110110110。这些循环小数都可以转换为对应的分数,第一个给定的周期为3的循环小数若以分数表示则为:1/7 → 2/7 → 4/7 → 1/7。
将其转换到μ=4的Logistic映射后,所得到的逻辑循环为611260467… → 950484434… → 188255099… → 611260467…。其他周期为3的循环也可以转换为Logistic映射。同样地,任何长度为k的循环都可以在移位映射中找到,然后转换成相应的Logistic映射。
对于μ=4的Logistic映射,此时对应μ= 2的帐篷映射 Tent map。(最小)长度k = 1,2,3,…的循环数是一个已知的整数序列(OEIS中的序列A001037):2,1 ,2、3、6、9、18、30、56、99、186、335、630、1161…这告诉我们,μ=4的Logistic映射具有2个不动点点,长度为2时的周期为1,长度为3时的周期为2,依此类推。对于素数k有序列:
例如:
是长度为13的循环数。在所有初始条件下,映射都是混乱的,所以这些有限长度的循环都是不稳定的。
3. 不同参数μ下的极限行为
3. 不同参数μ下的极限行为
不论μ取任意值,最多有一个稳定的周期。 如果存在一个稳定的周期,那么它是全局稳定的,吸引了几乎所有的点。[11]一些具有周期稳定循环的μ在某些时候会有无穷多个不同周期的不稳定循环。
为了概括上述各种数值模拟试验的结果,我们用下面的相图来表示不同μ值对应的极限行为。

图8
图8中显示的每一个参数μ所对应的迭代的极限行为。在相同的参数下,我们通过从不同的初始值(共有1000个)开始迭代足够多的次数(T=2000次),记录下这些数据点对应的x(T)值。为了让显示效果更好看,我们对处于相同区域的数据点进行了归并,从而可以用某一点灰度的大小来表示该区域数据点的多少。最后的数学软件代码如下所示:

其中1000为初始值的个数,2000为迭代的时间步。interval为区域的划分尺度。
4. 混沌与Logistic映射
4. 混沌与Logistic映射

图9 Logistic映射f (blue)及其迭代版本f2、f3、f4和f5, μ = 3.5。例如,对于横轴上的任意初始值,f4给出后面迭代4次的值
Logistic映射f (blue)在μ=3.5的条件下进行迭代,得到f2、f3 、f4和 f5。 例如,对于水平轴上的任何初始值,f4为四次迭代之后得到的值。和其他混沌系统比较,Logistic映射的相对简单性使它成为考虑混沌概念的一个广泛使用的切入点。简单来说,混沌就是对初始条件的高度灵敏度。μ=3.5是在3.57及4之间的大部分数值都可以使Logistic映射出现该特性。[1] 由于映射本身对定义域的拉伸及折叠,使得其对初始条件有高度灵敏度,故表现出来了混沌特性。Logistic映射的二次差分方程可视为是对于区间(0,1)拉伸及折叠的过程。[12]

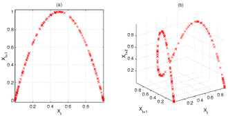
图10:二维和三维的庞加莱图显示了Logistic映射的拉伸和折叠结构
图10中,右图说明了在Logistic映射的迭代序列上的伸展和折叠。左边 图(a) 显示了Logistic映射在μ=4条件下的二维庞加莱图,并清楚地显示了差分方程的二次曲线。利用二维及三维的相图可以看出一些Logistic映射的特性。以μ=4的Logistic映射为例,二维相图为一抛物线,但是若用相同的序列绘制三维相图,可看出进一步的结构,例如几个一开始很接近的点在迭代后开始发散.特别是位在斜率较大位置的点。
此外,以便研究Logistic映射的更深层结构。 图(b)演示了在最初点的附近是如何开始分叉的,特别是在与图中更陡的部分相对应的 xt 区域。
拉伸及折叠的结果使迭代的数列以指数形式发散(参照李亚普诺夫指数),可以用有混沌特性时的Logistic映射的复杂性及不可预测性加以说明。事实上,数列的指数发散说明了混沌和不可预测性之间的关系:初值微小的误差在迭代过程中会以指数成长的方式增加,导致结果出现很大的误差。因此当对于初始状态的有微小的误差时.对未来状态的预测准确度也会随迭代次数增加而快速变差。这种不可预测性和明显的随机性使得在早期的计算机中利用Logistic方程生成伪随机数。[12]
由于映射的函数值收敛于某一特定值,其维度小于或等于1。依数值分析的结果,在μ=3.5699456…时(刚开始混沌特性时),其关联维度为0.500 ± 0.005(Grassberger,1983)、豪斯多夫维数大约是0.538(Grassberger 1981),而分形维数为0.5170976…(Grassberger,1983),还可得知关联维度进一步精确在0.4926和0.5024之间。
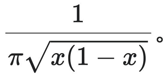
有些混沌系统可对于其未来状态的可能性作准确的描述。若一个可能有混沌特性的动力系统存在吸引子,则存在一概率量测描述系统长期在吸引子各部分所花时间的比例。以μ=4的Logistic映射为例,初始状态在区间(0,1)中,而吸引子也在区间(0,1)中,其概率量测对应参数a=0.5,b=0.5的Β分布[13],其不变测度为:

不可预期性和随机并不一样,不过在一些情形下这二者很类似。 因此,幸运的是,即使我们对Logistic映射(或其他混沌系统)的初始状态知之甚少,我们仍然可以说一些关于任意未来状态分布的问题,并参考一些信息来判断系统的状态从而做出决定。
5. 分岔行为
5. 分岔行为

图11 物流图的分岔图。参数μ的任何值的吸引子都显示在那个μ的垂直线上。(横轴的r为μ)
图11中分岔图总结了这一点。横轴表示参数μ的可能值,纵轴表示x的一组值,通过与该μ值的Logistic映射的迭代,从初始条件中一步步接近所得到的x一组值。
分岔图具有自相似性:如果我们把上面提到的μ≈3.82843的图像放大,然后把焦点放在这三个值中的一个上,那么附近的情况看起来就像是整个图的缩小和略微扭曲的版本。这同样适用于所有其他非混沌点。这是混沌和分形之间深刻而普遍的联系的一个例子。
5.1 二分周期点
观察图形,我们发现,随着μ逐渐增大,系统迭代的周期会逐渐增多,从1个变2个,2个变4个,……。我们将这些周期分岔点所对应的μ参数值记为μ1,μ2,⋅⋅⋅。我们会发现,这些点之间的间距,即μi+1−μi会变得越来越小。那么,这些点是如何确定的呢?
事实上,迭代方程x(t+1)=μx(t)(1−x(t))决定了系统的一切行为。因此,它也必然决定了这些分岔点所对的位置。我们知道,如果迭代的极限点只有一个,那么,我们事实上可以通过求解下述方程得到这个极限点:

同样的道理,当迭代方程的极限行为出现两个周期点的时候,我们不妨设这两个点分别为x1,x2,则从x1开始一步迭代应该能得到x2,而从x2开始迭代又得到x1,周而复始,因此,我们可以列出方程:

其中,我们定义f(x)=μx(1−x)。如果将x2=f(x1)代入第二个方程,那么上述方程组相当于求解:

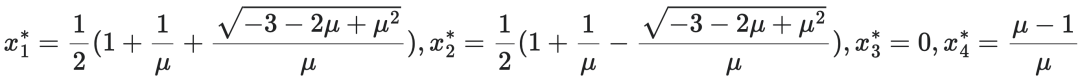
显然,这是一个一元四次方程,我们可以求解该方程得到四个解:

其中第3个是和第4个是不动点。我们知道,如果x∗是迭代方程的不动点,那么,x∗一定也是迭代方程的2周期点、4周期点、任意的周期点。所以,后两个解并非我们要求的二周期点。而第1和第2个解才是真正的二分周期点。我们可以验证:

为了让这2个解有意义,μ必须使得根号中的式子大于0,也就是−3−2μ+μ2>0,于是可以推得:
μ>3或者μ<-1
因为μ始终在范围[0,4]之内,因此,只要μ>3就会存在二分周期点。并且,我们可以画出这两个解
随μ而变的图形:

图12
其中,下面蓝色曲线为
,上面的为
。与上一小节的系统极限行为随μ变化图相比,该图显然夸大了二分周期点的存在范围。看来,我们不能仅仅根据满足迭代关系这一个条件来确定二分周期点发生的参数区间。
5.2 二分周期点的稳定性
仔细分析会发现,如果系统的极限行为要产生二分周期点,除了需要满足迭代关系之外,还需要满足稳定性条件。也就是说从周期点
或者
邻近的点出发,系统经过几步迭代仍然能回归到这两个周期点之一,而不能跑掉。于是,这就给参数μ设置了更加苛刻的条件。
下面,我们来对该迭代方程在二分周期点
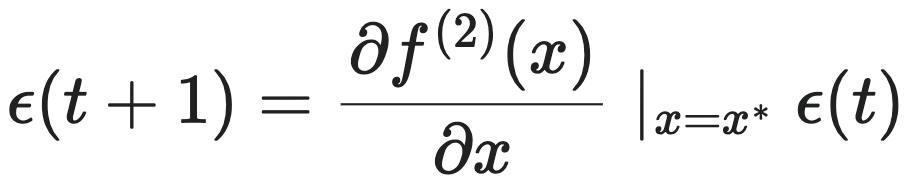
附近做稳定性分析。首先,我们知道如果x∗是二分周期点,那么必然有:

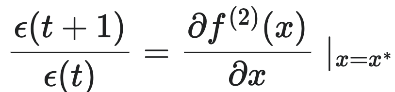
我们对x∗做微扰,即把x∗加上小量ϵ(t)再代入迭代方程,得到的新点应该仍然在x∗点附近,因此:

我们将右侧在x∗附近做泰勒展开,并求一级近似。得到:

于是,代入迭代方程:

因为x∗=f(2)(x∗),所以:

于是:

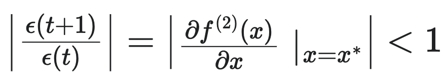
因此,要让小扰动ϵ(t)不会对系统后续的演化轨道造成太大的偏离,就必须让新的ϵ(t+1)随着迭代越来越小,也就是让

将已经求得的二分周期点
代入上式,进行化简、去除不合理的参数范围,得到μ需要满足如下不等式:

也就是说,在这个参数范围内,迭代方程存在着两个稳定的二周期极限点。对照图1,我们实际上已经求得了二分周期的启始和终止位置
。
5.3 其它的倍分周期点
接下来,我们可以利用同样的方法求解稳定的4周期点,只需要求解f(4)的稳定不动点,由此给出参数μ的范围。一般地,对于2p周期点,我们只需要求解如下方程:

并要求此不动点是稳定的,即:

就可以相应地求出参数的范围,即μp,μp+1。
6. 费根鲍姆常数
6. 费根鲍姆常数
6.1 自相似性
这个Logistic映射的分岔图具有明显的自相似性:

图13:分岔图的自相似性
可以看到在两个分岔点μn与μn+1之间的区域,图形是自相似的两个“小山头”。为了刻画这种自相似性,引入两个比例数值,分别是费根鲍姆第一、第二常数。
6.2 δ
此时倍分周期点所对应的参数值序列μ1,μ2,μ3,⋅⋅⋅彼此之间的间隔会变得越来越小,而且似乎呈现出按照指数衰减的趋势。可以如下定义:

来刻画这个区间长度逐渐变小的速度。下面是相应的数值计算:

可以明显的看到,δn会越来越趋近一个常数:4.6694,人们把这个常数计作δ,并命名为费根鲍姆常数 (第一常数),用来纪念他的发现者,美国物理学家费根鲍姆,它的精确值可以写作:
δ=4.6692016091029906718532038⋅⋅⋅
6.3 α
除此之外,在这个简单的Logistic映射中,费根鲍姆还发现了第二个普适常数可以用来刻画分岔图的自相似性。 如图2中,定义第p个周期点第q个分岔的高度为lp,q,其中横坐标的选取是迭代映射在第p个周期分岔中满足超稳定不动点条件的特殊的参数μ值,该数值
为满足下列方程的解:

其中,f(μ,x)=μx(1−x), x∗是2p周期迭代的不动点,即方程
的解。例如,在Logistic映射中,如果p=1,则:
。由这些
代入不动点方程,就可以求出相应的高度。
费根鲍姆发现,沿着任意一个分岔的分支行走,任意两个相邻分支的高度之比,例如图2中的l1/l2,1的极限为常数α。这个常数称为费根鲍姆第二常数,近似值为α=2.5029。
6.4 普适性
具有抛物极大值和费根鲍姆常数(包括δ=4.669201…,α=2.502907…)[14] [15] 的一维映射在Logistic映射作为离散激光动力学的模型时容易察觉其具有的普遍性质。x→Gx(1−tanh(x)),x为电场振幅,G[16]为激光增益分岔参数。
当G在区间,[0,∞)中逐渐增大时,其动力学由规则型变为混沌型,[17] 其分岔图在某些性质上与Logistic映射相同。
更有趣的是,费根鲍姆常数δ不仅仅对于Logistic映射方程成立,它对一类映射方程:x(t+1)=f(x(t))都成立,并且取同样的值。其中f(x)=ag(x),a为常数,g(x)为[0,1]区间上的Logistic函数。例如,对于迭代方程:

也可以计算得到相同的费根鲍姆常数:

又比如函数f(x)=ax(1−x2),可以计算得到:

由此,可见费根鲍姆常数具有很强的普适性。
7. 重整化群方程与费根鲍姆常数
7. 重整化群方程与费根鲍姆常数
通过图像可以观察到,Logistic迭代的倍分岔图产生了自相似的现象,即从2p周期到2p+1周期的小山峰彼此相似。这种自相似性可以用费根鲍姆常数δ和α刻画。一般通过重整化方法得到两个常数的精确解,且发现对于不同方程的迭代,会得到同样的费根鲍姆常数。重整化方法可以根据系统所具备的自相似性,写出重整化方程,从而给出相变点的精确位置以及临界指数。这种方法在渗流模型,ISING模型中得到了成功的应用。因为在Logistic迭代中也存在着自相似现象,因此,也可以利用重整化的思路。
7.1 时间上的尺度变换
重整化方法涉及到用多个不同的尺度来观察系统,从而抓住尺度变换过程中不变性。对于一维的迭代系统:
x(t+1)=f(x(t))
时间 t 相当于空间,该映射可以得到一系列不同时刻的点x(1),x(2),……。假如进行放大尺度,忽略掉一些信息,即不是以1为间隔进行采样,而是以2为间隔进行,就会得到:x(1),x(3),x(5),……。因此这个粗粒化的序列相当于按照如下方程进行迭代而成:
x′(t+1)=f(f(x′(t))=f(2)(x′(t))
所以,对Logistic迭代进行扩缩,实际上就是在对迭代进行归并,从而将迭代的法则f(x)变换成f(2)(x)。而迭代法则f(x)实际上制约了动力系统的全部性质。所以,当人们说系统在不同的分岔点具有自相似性质的时候,实际上就是在考察迭代法则f(x)在尺度变换下,即f(x)→f(2)(x)是否具有某种不变的形式。如果迭代法则f(x)具有了尺度变化下的不变性,那么根据前面的讨论,它的一切性质(包括分岔的长度和高度等)就会具有自相似性。因此,迭代法则f(x)就像ISING模型中的配分函数,起到了主导的作用。
7.2 迭代法则的自相似性
可以将不同时间尺度下的f(x)图像画出来进行直观地比较,透彻分析迭代法则f(x)在尺度变换下的自相似性质。首先,画出f(x)当
的时候,f(2)(x)在
的时候的函数图像(其中
为满足相应第p重迭代函数的超稳定周期条件:
下对应的参数值)。函数图如下:

图14 f(x)与f(2)(x)
可以在这种“超稳定”的参数下观察函数的自相似性,如图2所示,不同小山峰之间彼此相似,而每个倍分周期的超稳定参数点刚好位于小山峰的“中心”位置,所以,该点附近的迭代法则的相似性就直接对应了不同小山峰之间的相似性。在上图中,右图中的绿色区域刚好和左图全体相似,就好像把左图上下颠倒、左右颠倒,再缩小一定比例α(一个固定的常数,后面可以求出),就得到了右图。
同理再看f(2)(x)与f(4)(x)之间的相似性,如图15中两张图所示。

图15 f(2)(x)与f(4)(x)
对于f(2)(x)与f(4)(x),可以画出当μ在相应的超稳定周期参数的时候的函数图像。右上图中的蓝色和红色区域刚好与左上图中的蓝色和红色区域相似。它们也是上下颠倒,再进行缩放变换、左右颠倒。如果选择右上图中的蓝、红色区域进行放大得到右下图,同样将左上方图的染色区域放大得到左下图。另外,如果将坐标系原点移到了中心位置(即f(x)=μx(1−x)最大值所对应的位置(0.5,0.5))。
7.3 图形变换与相似性
我们可以把这种图形变化用数学来表示。为了让图15中右下子图和左下子图彼此相似,我们需要对右下子图进行水平、竖直翻转、缩放(以(0.5,0.5)为轴)才能与左下图重合。也就是:

其中箭头的意思表示对应关系,或者相似关系,也就是说f(2)这个函数图形与f(4)经过缩放、翻转之后的图形相似。
如果我们不停地画出更高阶的函数图像f2p(x),f2p+1(x),⋅⋅⋅,都能发现它们与p+1阶的函数图像都有上述自相似关系,也就是:

7.4 重整化
上一节仅仅针对Logistic迭代,然而,对于其他的单峰函数,也有类似的自相似性,以及不同阶映射法则之间的图形变换对应。更普遍的是,可以把不同阶映射法则的自相似性作为一个前提而非最终的观察结果来引入,从而反过来求解什么样的函数f(x)才会具有这种性质。最终发现f(x)函数的具体性质并不重要,有相当一大类函数都可以最终得到同样的自相似性结果。而费根鲍姆常数也跟具体的迭代函数f(x)无关,而仅仅与所要求的系统具备的自相似性质有关。
事实上,如果从不同时间尺度来考察迭代系统的行为,那么迭代函数的自相似要求就变成了重整化群方程。而最终满足重整化方程的函数集合实际上就是重整化理论中的普适类。
7.4.1 重整化群方程
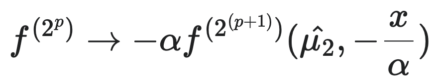
下面,将不同阶迭代法则之间的相似几何关系作为一个基本要求。即对于任意的迭代法则f(μ,x),其中f(μ,x)可以写为f(μ,x)=μg(x),g(x)为[0,1]内的单峰函数,要求它在变换R下不变。其中R为对函数f进行一系列操作:
(1) 从f得到f(2):
,其中
为f的超稳定不动点对应的参数;
(2) 从f(2)可以计算出它的超稳定不动点
对应的参数;
(3) 对f(2)进行尺度缩放和上下左右翻转:
(其中α为一个常数,将从重整化方程的求解过程中确定它的值)。
或者,可以简单地把上述3个步骤写为:

于是从一个函数f1(
,x)出发,不停地运用变换R,就能得到一个函数序列:

其中任意一项可以写成:

在用重整化的方法研究迭代函数的时候,又得到了一个迭代序列,只不过这里面被反复迭代的对象已经不再是数了,而是变成了迭代函数本身。于是,一切就升级了。假设,这一函数的迭代过程也存在着一个不动点,注意这个不动点不是数,而是一个函数,记为:

那么,它应该满足:
g(μ,x)=R(g(μ,x))
再把R具体的定义带进去,就有:

于是,得到了一个函数方程。它是重整化的不动点方程。对这个方程的求解其他需要求解的量。
7.4.2 重整化方程求解
本文不打算对重整化方程的求解进行详细地讨论,仅展示结论。如果把所有经过重整化方程迭代而收敛到同一个点的函数集合记为一个普适类,就可以解释不同的函数形式也具有相同的费根鲍姆常数的原因。同时将R变换在不动点附近进行泰勒级数展开,并保留线性项,我们就可以计算出费根鲍姆常数δ和α。因此,整个问题就都得到了解答。具体求解可以参考重整化这个词条的方程求解部分。
参考文献
-
May, Robert M. (1976). “Simple mathematical models with very complicated dynamics”. Nature (journal). 261 (5560): 459–467. Bibcode:1976Natur.261..459M. doi:10.1038/261459a0. hdl:10338.dmlcz/104555. PMID 934280. -
“Weisstein, Eric W. “Logistic Equation”. MathWorld.
-
Zhang, Cheng (October 2010). “Period three begins”. Mathematics Magazine. 83: 295–297. doi:10.4169/002557010×521859.
-
Jeffries, Carson; Pérez, José (1982). “Observation of a Pomeau–Manneville intermittent route to chaos in a nonlinear oscillator”. Physical Review A. 26 (4): 2117–2122. Bibcode:1982PhRvA..26.2117J. doi:10.1103/PhysRevA.26.2117.
-
May, R. M. (1976). “Simple mathematical models with very complicated dynamics”. Nature. 261 (5560): 459–67. Bibcode:1976Natur.261..459M. doi:10.1038/261459a0. hdl:10338.dmlcz/104555. PMID 934280.
-
Baumol, William J.; Benhabib, Jess (February 1989). “Chaos: Significance, Mechanism, and Economic Applications”. Journal of Economic Perspectives]]. 3 (1): 77–105. doi:10.1257/jep.3.1.77.
-
Schröder, Ernst (1870). “Über iterierte Funktionen”. Math. Ann. 3 (2): 296–322. doi:10.1007/BF01443992.
-
Little, M.; Heesch, D. (2004). “Chaotic root-finding for a small class of polynomials” (PDF). Journal of Difference Equations and Applications. 10 (11): 949–953. arXiv:nlin/0407042. doi:10.1080/10236190412331285351.
-
Lorenz, Edward (1964). “The problem of deducing the climate from the governing equations”. Tellus. 16 (February): 1–11.
-
Schröder, Ernst (1870). “Ueber iterirte Functionen”. Mathematische Annalen. 3 (2): 296–322. doi:10.1007/BF01443992.
-
Collet, Pierre; Eckmann, Jean-Pierre (1980). Iterated Maps on the Interval as Dynamical Systems. Birkhauser. ISBN 978-3-7643-3026-2.
-
Gleick, James (1987). Chaos: Making a New Science. London: Penguin Books. ISBN 978-0-14-009250-9.
-
Jakobson, M. (1981). “Absolutely continuous invariant measures for one-parameter families of one-dimensional maps”. Communications in Mathematical Physics. 81 (1): 39–88. Bibcode:1981CMaPh..81…39J. doi:10.1007/BF01941800.
-
Feigenbaum, M. J. (1976) “Universality in complex discrete dynamics”, Los Alamos Theoretical Division Annual Report 1975-1976
-
Feigenbaum, Mitchell (1978). “Quantitative universality for a class of nonlinear transformations”. Journal of Statistical Physics. 19 (1): 25–52. Bibcode:1978JSP….19…25F. CiteSeerX 10.1.1.418.9339. doi:10.1007/BF01020332.
-
Okulov, A Yu; Oraevskiĭ, A N (1986). “Space–temporal behavior of a light pulse propagating in a nonlinear nondispersive medium”. J. Opt. Soc. Am. B. 3 (5): 741–746. Bibcode:1986OSAJB…3..741O. doi:10.1364/JOSAB.3.000741.
-
Okulov, A Yu; Oraevskiĭ, A N (1984). “Regular and stochastic self-modulation in a ring laser with nonlinear element”. Soviet Journal of Quantum Electronics. 14 (2): 1235–1237. Bibcode:1984QuEle..14.1235O. doi:10.1070/QE1984v014n09ABEH006171.
(参考文献可上下滑动查看)

本词条由集智俱乐部众包生产,难免存在纰漏和问题,欢迎大家留言反馈,一经采纳,可以获得对应的积分奖励噢!
加入我们
亲爱的社区伙伴与知识探索者:
我们诚挚邀请热爱知识分享的您,加入集智百科词条编写志愿团队!无论您是领域专家,还是对特定主题充满热忱的学习者,这里都有您的舞台。通过编写百科词条,您将为全球读者传递权威知识,同时获得专家指导与个人能力跃升的双重成长。
📝 志愿者职责
创作新词条:覆盖复杂系统、人工智能等前沿领域
迭代经典内容:更新现有词条,守护知识的准确性与时效性
质量守护者:参与内容校对审核,共建精品知识库
🌟 我们期待您
集智读书会成员(需完成共创任务并获得退费资格)
拥有清晰表达复杂概念的写作能力
对特定领域有深度研究或强烈兴趣
具备信息检索与整合素养
怀揣责任感与协作精神,愿为知识共享赋能
🎁 您将收获
百科积分(支持兑换集智俱乐部周边:文化衫、复杂科学知识卡等)
集智俱乐部创始人张江教授亲自指导写作
科研助理晋升通道:表现优异者可加入张江教授科研团队

加入张江组发起的任何一期读书会并完成共创任务即可 让我们一起,用知识连接世界!
「重整化群分析在非线性物理中的应用」系列课程
-
从有限的观测提取一般性规律建模的原则和常见框架是什么? -
怎样写出系统重要结构和运动模式的近似解析表达式? -
怎样将对称性、不变性、基本范式等先验知识放到系统解析描述中? -
怎样建立系统不同层级动力学间联系的方程?
推荐阅读
6. 加入集智,玩转复杂,共创斑图!集智俱乐部线下志愿者招募
点击“阅读原文”,报名课程





