捕捉生物调节过程中的时滞现象:非线性微分方程与生物网络建模

导语
生物系统往往蕴藏着纷繁复杂的动力学,而这些动力学往往隐藏着一些结构简单的模体。传统的常微分方程方法很难描述模体中的时滞效应,为解决该问题,近日发表在Nature Communications上的一篇文章介绍了使用时滞微分方程建模的方法,该方法可以很好地描述生物网络模体,并有效降低模型的复杂性。

陈昊 | 作者
邓一雪 | 编辑
论文题目:
Nonlinear delay differential equations and their application to modeling biological network motifs
论文地址:
https://www.nature.com/articles/s41467-021-21700-8
论文题目:
Nonlinear delay differential equations and their application to modeling biological network motifs
论文地址:
https://www.nature.com/articles/s41467-021-21700-8
生物系统通常由许多复杂的动力学相互作用组成,为了对这类复杂系统的整体运行进行定量描述,网络模体模型致力于分析组成复杂网络的微观结构。然而,这样的模型通常会忽略生物过程中固有的时间延迟,因而难以很好的描述系统的复杂行为。3月19日发表在Nature Communications上的一篇文章通过时滞微分方程(delay differential equation, DDE)模型从理论和数值上对常见的网络模体进行了分析,发现了许多具有普适性的结果。例如,DDE模型对比常微分方程(ordinary differential equation, ODE)模型的参数优化以及ODE与DDE模型之间的相互转换关系。显式的时滞建模简化了生物网络中的许多现象,对于新的功能模体的发现有着很大的帮助。
1. 使用时滞微分方程描述生物调节网络模体
1. 使用时滞微分方程描述生物调节网络模体
生物调节由复杂的动力学相互作用完成,如一些转录因子可以控制其他转录因子的产生、一些酶可以激活其他酶的活性、一些细胞可以控制其他细胞的生长。网络模体(network motif)对于生物网络中重要的子结构(如负反馈、前馈与级联)进行了描述,模体的功能会受到包含时间延迟的多种参数影响。
先前的工作已经表明,时间延迟对于系统中的震荡以及周期性行为的出现至关重要,然而现有的网络模体模型无法对时间延迟进行很好的描述。为解决该问题,近期发表在Nature Communications上的一篇文章为分析具有明显时滞现象的网络模体提供了理论与实践基础,并展示了此方法在生物学中的一些应用。

网络模体通常由常微分方程进行建模,在该类模型下变量间的相互作用是实时的,而由时滞微分方程描述的网络模体模型的当前时刻状态则与过去某个时刻相关。例如,
是一个常微分方程,而
则是其对应的时滞微分方程。其中
2. 直接调节模体
2. 直接调节模体
如图2所示,考虑一个物质x对于另一物质y的生产的调节。如果x对y有促进作用,则y的生产速率随着x的增加而增加。该过程通常存在一个最大速率

图2c中的促进和抑制两种情形可以由公式1统一表示

为将公式1转化为DDE,需要将

对公式2进行无量纲化后,可以得到更加简洁表述,如公式3所示。该过程涉及以下变换:
。

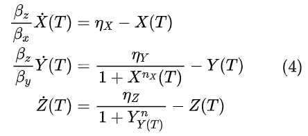
3. 级联调节模体
3. 级联调节模体
级联是生物网络中十分常见的模体(图3),由于每一种物质只有在达到k值时才能对下一种物质造成显著影响,该模体种的每一步都存在着时滞现象。

图3a中的ODE模型可以由公式4进行描述

其中![]()
的![]()
)![]()


表1 ODE和DDE模体及其主要差异
4. 总结
4. 总结
除上述两个模体外,该研究还详细介绍了其他五个不同的模体。
论文使用时滞微分方程从理论和数值上对常见对生物网络中出现的多种模体进行了建模,相比传统的常微分方程,时滞微分方程可以很好地捕捉模体中出现的时滞现象,更加清晰地描述了生物调节过程的复杂性。对于迟滞效应的显式建模简化了多种生物学中的复杂现象,也对于新的功能性模体的发现起到了十分积极的推动作用。
网络科学新课推荐:网络动力学
点击查看课程详情:
推荐阅读
点击“阅读原文”,追踪复杂科学顶刊论文






