集智斑图顶刊论文速递栏目上线以来,持续收录来自Nature、Science等顶刊的最新论文,追踪复杂系统、网络科学、计算社会科学等领域的前沿进展。现在正式推出订阅功能,每周通过微信服务号「集智斑图」推送论文信息。


扫描下方二维码,关注“集智斑图”服务号,即可订阅Complexity Express:             



Complexity Express 一周论文精选




以下是2021年8月30日-9月5日来自Complexity Express的复杂性科学论文精选。如果Complexity Express列表中有你感兴趣的论文,欢迎点赞推荐,我们会优先组织解读~

目录:

1、大分子系统中同手性的涌现

2、复杂系统的机器学习拆解与瓦解预警信号

3、布尔网络易控性的基础

4、神经元回路的结构

5、复杂生物系统跨不同表示的贝叶斯元模型

6、利用群体的智慧扩大事实核查


1. 大分子系统中同手性的涌现


期刊来源:PNAS

论文标题:
Emergence of homochirality in large molecular systems
论文地址:
https://www.pnas.org/content/118/3/e2012741118

地球上的生命依赖于手性分子——也就是说,物种不能叠加在它们的镜像上。一个给定的生物分子通过镜像对称形成其镜像异构体,同手性的广泛存在说明一对镜像异构体中的一个在生物圈中占主导地外。例如,在我们的细胞中,生物化学反应网络只涉及左手(L-手性)氨基酸和右手(D-手性)糖,但是我们无法理解为何其中一个手性会占绝对优势,这是生命起源中最引人入胜的问题之一。

同手性的起源往往伴随两个问题:(1)是什么导致了生命起源前一对镜像异构体在无旋环境下的初始偏差以及(2)这种偏差在如今的生物世界中是如何维持的?其中第一个问题可以通过地球上矿物表明或星际空间的偏振光解释,第二个问题则需要通过基于非平衡反应网络的模型解释。Frank 的经典模型即以该模型对同手性问题进行了讨论,但是他仅考虑了少量的手性分子。而实际上没有理由能够假设生命起源前的世界存在简单而均匀的化学成分。

8月31日发表于PNAS的文章利用化学信息学工具,量化了给定长度内化学宇宙所有可能的手性分子。研究将 Frank 的模型扩展到大量的手性分子,证明了当手性分子种类数变大必然会导致非平衡反应网络具有向同手性态的相转变。最后,研究利用随机矩阵理论,证明了大型非平衡反应网络具有向同手性态转变的一般性和鲁棒性。


2. 复杂系统的

机器学习拆解与瓦解预警信号


期刊来源:Nature Communications

论文标题:
Machine learning dismantling and early-warning signals of disintegration in complex systems
论文地址:
https://www.nature.com/articles/s41467-021-25485-8


从物理学到工程学,生物学到社会科学,自然系统和人工系统的拓扑结构会影响系统对外部攻击的鲁棒性。在各种拓扑特征中,异质连通性能明显降低复杂网络对外部攻击的鲁棒性,但对于造成系统脆弱性的完整拓扑因素及其相互作用,学界仍没有清楚的认识。因此,确定能使系统崩溃的最少目标单位集合(即网络拆解,network dismantling),在实际应用及其对决策的影响方面引起了越来越多的注意。然而,该问题为NP-hard问题,通常依赖近似理论或启发式算法解决。

8月31日发表于Nature Communications 的文章为此问题提供了一个扩展的解决方案。该研究团队开发了一种拆解较小网络的机器学习算法,它具有非凡的归纳能力,能够将学习结果推广到高阶的节点和更大的网络,从而识别高阶拓扑模式,使得对社交和基础设施等大规模网络的拆解更加高效。并且,该算法能够评估下一次攻击使系统崩溃的可能性,提供了一种量化系统风险和检测系统崩溃早期预警信号的定量方法。

图1. 训练机器学习复杂的网络分解拓扑模式。

该研究为政策制定者和决策者提供了一个定量的早期预警信号,提高对紧急情况的反应速度,可应用于水电网、通信网络和公共交通网络。


3. 布尔网络易控性的基础


期刊来源:Nature Communications

论文标题:
The basis of easy controllability in Boolean networks
论文地址:
https://www.nature.com/articles/s41467-021-25533-3


在基因调控网络的布尔模型中,控制核(control kernel,CK)是逻辑静态控制中的核心概念。控制核的定义是能够使外部控制引导网络动力学朝期望的稳定基因模式(吸引子)演化的最小基因集。一项实证研究发现,在八个具有代表性的基因调控网络的布尔模型中,它们的控制核规模不仅都较小,而且均与网络规模无关。该研究与现有理论方法及数值实验的发现相一致,那么问题就来了,为什么随着布尔网络规模的增加,对其控制不是越来越难?为什么某些网络比其它网络更容易受到外部控制?

9月1日发表于Nature Communications 的文章通过对 49 个生物网络模型进行数值分析,发现其控制核的平均规模与网络吸引子数具有对数关系。这表明虽然生物网络规模很大,但可能确实较很容易控制。进一步,该研究对布尔网络易控性的起源进行了探究,识别能使该对数关系失效的动力学特征,并推测布尔网络易控性与更广泛的非生物系统之间的关系。

图1.(A)49 个生物基因调控网络控制核的规模与吸引子数量的关系,可得控制核的平均规模接近于吸引子数量以2为底的对数。(B)部分不可控网络。(C)采用抽样方法分析的网络。



4. 神经元回路的结构


期刊来源:Science

论文标题:
Architectures of neuronal circuits
论文地址:
https://www.science.org/doi/10.1126/science.abg7285


近几十年技术的爆炸性发展产生了大量关于单个神经元解剖和生理特性的知识。然而,单个神经元并不非独立运作,而是在神经回路中相互作用,以特定的突触连接模式共同处理信息。正是它们的突触连接模式使神经元形成特定功能的专门回路,从而使大脑成为一个强大的计算设备。

9月3日发表于Science的文章从回路结构的角度,综合了近几十年关于各物种在各尺度下神经元连接模式及功能的研究,并讨论了连接模式在进化过程中如何涌现。研究将电子显微镜和突触追踪等回路映射工具应用于不同物种的不同神经区域,获得了丰富的数据,并从中提取神经元回路结构的共同原理。

图1. 神经元到大脑的跨越。假设单个神经元对于大脑就像单个字母对于文章一样,那就可以视核心回路模体为词组,能够完成基本的信号处理,大规模的映射规划则是句子,能够实现特定的功能。


神经元回路中关键元件的生理活动记录和功能扰动可以建立它们在信息处理和动物行为中的功能。其中关键的挑战是建立适用于不同生物及不同尺度的统一架构。对神经元回路的结构、功能、发育和进化的综合研究,将使我们对神经系统组织的理解超越单个神经元的水平,神经元回路结构的探索也将继续激发人工智能领域的重要进展。


5. 复杂生物系统跨不同表示的

贝叶斯元模型


期刊来源:PNAS

论文标题:
Bayesian metamodeling of complex biological systems across varying representations
论文地址:
https://www.pnas.org/content/118/35/e2104559118


细胞是生命的基本单位,但其结构和功能有待完整的描述,对细胞进行全面的建模需要集成大量信息。8月31日发表于PNAS的文章引入贝叶斯元模型,来分解并综合复杂生物系统的不同表征,形成统一的模型框架。

贝叶斯元模型是一种通过集成一系列异构输入模型来建模复杂系统的通用方法。每个输入模型可以基于任何类型的数据,并且可以使用任何数学表示、规模和粒度级别来描述系统的不同方面。贝叶斯元模型将输入模型转换为基于概率图模型的标准化统计表示,对它们与物理世界的相互关系进行建模,最终使其相互协调。

研究提供了葡萄糖刺激胰岛 β 细胞分泌胰岛素的元模型案例。其中输入模型包括胰岛素囊泡运输、对接和胞吐的粗粒时空模拟; 葡萄糖刺激胰岛素分泌信号的分子网络模型;胰岛素代谢的网络模型;胰高血糖素样肽-1受体激活的结构模型;胰腺细胞群的线性模型; 餐后胰岛素系统反应的常微分方程。元模型通过去中心化计算,通常能产生一个更精确和完整的框架,该框架将输入模型置于学科背景中,并协调相冲突的信息。

该研究所提出的贝叶斯元模型能够提供一个分享专业知识、资源、数据和模型的框架来促进合作科学。


6. 利用群体的智慧扩大事实核查


期刊来源:Science Advances

论文标题:
Scaling up fact-checking using the wisdom of crowds
论文地址https://www.science.org/doi/10.1126/sciadv.abf4393

近年来,社交媒体上虚假信息的传播不仅已经成为社会的关注点,也成为了学术研究的重大问题。学者对于了解如何能减少网上错误信息的传播有着极大的兴趣。当前打击虚假信息的最主要方法之一是聘用专业的事实核查人员来识别和标记虚假信息。 然而,该方法在可推广性与信任方面存在极大问题。专业的事实核查是一个费时费力的过程,不可能跟得上每天在社交媒体上发布的大量内容,这一情况进而会增加人们对虚假信息的信任和分享(人们会推断缺乏警告意味着信息已被核实)。并且研究显示,即使事实核查及警告成功地应用于虚假信息,大部分人会认为事实核查者有偏见而不信任核查的结果。

对于以上两个问题,存在一个潜在的解决方案,即利用群众的智慧,使事实核查可推广并免受偏见的指控。但这样的外行评定相比于专业人员真的足够准确吗?9月1日发表于Science Advances的文章探索了一种众包方法,从在线劳动力市场招募参与者,并要求他们对随机选择的文章进行评分。

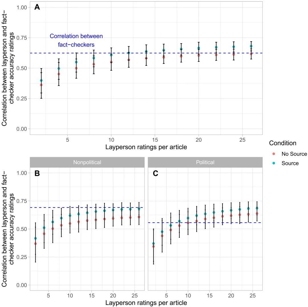
图1. (A)纵轴为外行(政治取向均衡)基于文章标题(红点表示文章作者领域已知、蓝点表示文章作者未知)的打分与专业核查者打分的相关性,横轴为参与打分的外行人数,可知外行与专业核查者打分相关性较高,且该相关性受参与打分的外行人数影响较小。(B)和(C)图中被打分的文章分别为非政治性文章与政治性文章,可知外行打分基本不受文章政治性影响,而考虑到专业核查者对政治性文章打分的一致性较低,外行在对政治性文章的打分上表现非常好。


研究结果发现,一小群政治取向平衡的外行与专业核查者的评分基本一致,并且选择相对更专业的外行或提供更多的文章信息,对于两者评分一致性改善极为有限,表明该研究观察到的群体智慧具有鲁棒性。综上所述,众包可以成为社交媒体上事实核查的有力工具。

该研究对众包的有效性进行了验证,并对众包的实施方式给出了建议,有助于促进群体智慧在政治环境中的运用。





集智新栏目 Complexity Express

上线啦!




Complex World, Simple Rules.
复杂世界,简单规则。
复杂性科学(Complexity Science)是集智俱乐部多年以来的主题,我们长期追踪关于自然、生命、社会、认知等各类复杂系统的研究进展,并组织学术研讨。
 
同时由于学科交叉融合,大量针对复杂系统的研究成果散落在人工智能、统计物理、网络科学、数据科学、计算社会科学、生命科学、认知科学等等不同领域的期刊会议中,缺乏整合。
 
为了让大家能及时把握复杂系统领域重要的研究进展,我们隆重推出「Complexity Express」服务,汇总复杂系统的最新顶刊论文。
 

Complexity Express 是什么?

Complexity Express 每天爬取复杂系统领域最新发表的顶刊论文,每周通过“集智斑图”服务号汇总推送。
 
进入 Complexity Express 页面即可随时查看顶刊论文更新,你也可以通过微信接收研究更新推送和一周汇总。

               


Complexity Express 为谁服务?

  • 如果你是复杂系统领域的研究者,可获得重要论文上线通知,每周获取最新顶刊论文汇总。

  • 如果你是复杂系统领域的学习者,可了解学界关注的前沿问题,把握专业发展脉络。

  • 如果你是传统的生命科学、社会科学等学科中的研究者/学习者,可以从复杂性科学和跨学科研究中获得灵感启发。

  • 如果你是关注前沿研究发现的知识猎手,可获得复杂系统研究对自然和人类世界的最新洞见。

Complexity Express 栏目也是集智俱乐部公众号的主要选题来源,诚挚邀请你订阅,与我们信息同步。
 

Complexity Express 论文从哪里来?

考虑复杂系统研究往往属于跨学科工作,我们主要抓取综合类和泛物理类/计算机类的顶级期刊,从每周新发表的数百篇论文中精选出与复杂系统相关的论文。
 
Complexity Express 参考影响因子和学者口碑,选择了如下期刊,每日爬取其论文更新:
  • Nature

  • Science

  • PNAS

  • Nature Communications

  • Science Advances

  • Physics Reports

  • Physics Review Letters

  • Physics Review X

  • Nature Physics

  • Nature Human Behaviour

  • Nature Machine Intelligence

  • 更多期刊持续增补中,欢迎推荐你认为重要的期刊!
 
如果你在 Complexity Express 中发现了感兴趣的论文,请立刻“点赞”!每周最高赞的论文,集智编辑部将组织专业解读~
 

Complexity Express 追踪哪些领域?

我们力求兼顾热点追踪与领域覆盖,目前筛选的论文主要集中在如下与复杂性关系密切的领域:
  • 网络科学各个分支及交叉应用

  • 图数据与图神经网络

  • 计算机建模与仿真

  • 统计物理与复杂系统理论

  • 生态系统、进化、生物物理等

  • 系统生物学与合成生物学

  • 计算神经科学与认知神经科学

  • 计算社会科学与社会经济复杂系统

  • 城市科学

  • 科学学

  • 计算流行病学

  • 以及一些领域小众,但有趣的工作
 
由于复杂性研究领域横跨多个学科,研究论文散落在不同的期刊上,很难不重不漏地把握最新工作。针对复杂性领域的论文筛选,我们专门设计了算法。经过数月的训练迭代优化,目前对上述领域爬取准确率达到90%以上。
 
将来我们还会根据你的具体研究领域,推出研究分类与个性化的订阅服务,敬请期待!
 
由于复杂性领域涉及的论文关键词和研究问题纷繁复杂,所以算法难免有不成熟的地方,如果你发现我们有漏掉的重要论文,或者爬到了领域有偏差的论文,欢迎联系我们(小助手微信:swarmaAI),帮助我们持续优化算法。

如果你对科学学、计算术语学等感兴趣并有代码能力,欢迎报名成为集智算法志愿者/实习生(具体请邮件联系算法组负责人huqiao@swarma.org)

如果你对复杂性科学及相关跨学科研究有长期兴趣,并乐于解读分享,欢迎加入集智作者团队(具体请邮件联系编辑部负责人liupeiyuan@swarma.org)




更多论文




更多复杂性顶刊论文,请到Complexity Express页面查看。订阅即可每周获取更新提醒。
       


点击“阅读原文”,追踪复杂科学顶刊论文