简捷不简单——应用Netlogo编程溯源混沌管理隐喻

导语
玛格丽特·惠特利所著《领导力和新科学》一书中是如何论述混沌的?“三翼鸟”的复杂科学源头是什么?
研究领域:混沌系统,分形,多主体建模

纪洪波 | 作者
邓一雪 | 编辑
1. 问题的提出
1. 问题的提出
近年来,企业及其平台logo纷纷推出鸿蒙、卡奥斯(chaos)、三翼鸟、元宇宙等与混沌相关概念。其中,海尔场景品牌“三翼鸟”logo发布,并坦承是受玛格丽特·惠特利《领导力和新科学》封面图案的启发。“三翼鸟”概念来自于混沌理论中的奇异吸引子,内部模块不断组合变化,外部稳定并拥有强大的吸引力。海尔以此隐喻在不确定性增多的时代,场景是混沌的、用户及其需求是多变的,但海尔生态洞察用户需求、因需而变提供场景方案的能力是确定的。场景品牌“三翼鸟”将带来场景、生态、用户等方面的差异化价值。一站式全场景定制能力、1+N落地能力以及平台资源整合能力这3大能力,起到了重要支撑作用。基于这些差异化优势为用户打造无缝体验、无界生态、无感支付的美好生活。
(https://www.163.com/dy/article/FMQUF5SL053696GV.html
https://baijiahao.baidu.com/s?id=1677957328275560311
http://www.diankeji.com/news/56474.html
https://tech.huanqiu.com/article/45wPyOTUJ7M)


在研究方面,混沌、分形、幂律分布、复杂适应系统(CAS)、多主体建模等理论和工具备受关注。最近,作者参加了集智俱乐部的复杂系统管理学读书会,对应用这些理论和工具有了一定的基础。
于是,作者围绕“给海尔logo启发的玛格丽特·惠特利所著《领导力和新科学》一书中是如何论述混沌的?‘三翼鸟’的复杂科学源头是什么?”开启了探索之旅。
2. 方程的找寻
2. 方程的找寻
《领导力和新科学》的彩色插图中论述到:“三翼鸟:一种奇异吸引子”,这是混沌系统自画像。系统行为是通过上百万次迭代而绘制出来的,系统开始的行为是毫无章法的,总是呈现为新的、不同的行为。但是,随着迭代的不断进行,神秘的秩序出现(一种图形)。在谈到分形时,书中提到混沌科学家巴恩斯利所称的一个有趣的“混沌游戏”:从确定分形的基本形状开始,建立极为简单的方程,然后建立微分方程组进行反馈。它们不受约束地在多种不同的尺度上进行迭代,并显示为大小不同的图案。
但《领导力和新科学》这本书中并没有给出“三翼鸟”的方程,也没有谈到“三翼鸟”的出处。用“三翼鸟”作为关键词搜索没有在其他文献中发现“三翼鸟”的图案和方程。经查阅惠特利引用的Three-Winged Bird: Chaotic Strange Attractors and the Evolution of Sociopolitical Organization(Crumley, C. 1998. . Paper presented at the 63rd annual meeting of the Society for American Archaeology, Seattle. )这篇文章,但这篇文章并没有“三翼鸟”的图案和方程,但提供了“Chaotic Strange Attractors” 这个关键词。
以“混沌吸引子”为关键词搜索发现的《奇怪吸引子——一个奇妙的四维混沌吸引子》(https://www.cnblogs.com/WhyEngine/p/4359502.html)一文中提到“YChaos通过数学公式生成混沌图像”,按此线索进行搜索,发现“混沌的艺术——YChaos通过数学公式生成混沌图像”(https://www.cnblogs.com/WhyEngine/p/4281187.html)一文中第14个图案为“三翼鸟”的图案,但文中称作“三翅鹰”。

以“三翅鹰”为关键词,检索到“混沌图像——三翅鹰”博文和潘金贵所著得《分形艺术程序设计》(南京大学出版社出版1998年3月)书籍等资料。“混沌图像——三翅鹰”(https://www.cnblogs.com/WhyEngine/p/4330430.html)博文给出了算法背景。
1980年,物理学家 Gumowski, I. 和 Mira, C. 尝试计算模拟基本粒子轨迹 (The trajectories of elementary particles) 在加速器 (Accelerator) 中的行为。他们使用了这组方程:
X(n+1) = B*Y + F(X)
Y(n+1) = -X + F(X(n+1))
其中的函数F(x)是他们所考虑的模型,其中一个主要的模型他们使用了:
F(X) = A*X + (1-A)*2*X*X/(1+X*X)
其中A是一个参数,通常在-1和1之间,B是一个非常敏感的常数,通常非常接近于1.0。如果B有一个轻微增长到1.001,轨迹会膨胀,或者螺旋向外至无限;如果B有一个轻微的减小,比如0.999,那么轨迹会收缩至奇异吸引子 (The attractor points)。最后一个重要的影响因素是初始值,典型的初始值X和Y在 -20 和 20 之间。
《分形艺术程序设计》书中给出了用PASCHAL编制的绘制三翅鹰的程序。
用“Gumowski Mira”关键词搜索得到Kenji OTSUBO, Masakazu WASHIDA etc.Computer Simulation on the Gumowski-Mira Transformation(http://citeseerx.ist.psu.edu/viewdoc/download?doi=10.1.1.619.2605&rep=rep1&type=pdf)和基于Gumowski-Mira公式的分形图实现算法的研究(王海飞,马德峰. .中国教育技术装备, 2014, (17).)等文献。通过这些文献进一步了解了“Gumowski-Mira map”参数变化对图案的影响。
3. 程序的编制
3. 程序的编制
方程和参考斑图已经知道了,现在考虑如何编程了。在复杂管理读书班的课程中曾经介绍过混沌、分形、多主体建模等理论、实例和工具,那就试试用Netlogo解决我们的问题吧。

程序分两部分,一部分为初始化程序,另一部分为运行程序,分别由界面上setup和go按钮启动。初始化程序主要是创设图素(海龟)的数量和颜色。运行程序编程的核心任务是用方程计算x、y坐标并按坐标把图素放置,计算之前要先对参数和坐标初值赋值。为了参数和坐标调整方便,在界面设数值输入框。具体程序及其注解如下:
to setup;初始化程序
clear-all;清空所有
create-turtles nv;创建nv个图素
[
set color yellow;置图素颜色为黄色
]
end;初始化程序结束
to go;坐标计算和图素置位程序
let a av;把界面av输入框的值赋予a
let b bv;把界面bv输入框的值赋予b
let x xv;把界面xv输入框的值赋予x
let y yv;把界面yv输入框的值赋予y
ask turtles;图素坐标计算和置位程序
[
let u ( b * y + a * x + (1 – a ) * 2 * x * x / (1 + x * x) );用已知x、y计算当前x(即u)
let v ( – x + a * u + (1 – a ) * 2 * u * u / ( 1 + u * u ) );用已知x、当前x(即u)计算当前y(即v)
set x u;把当前x赋予下轮已知x
set y v;把当前y赋予下轮已知y
setxy 2 * y 2 * x;按计算所得坐标值放置图素,通过改变坐标前面的系数改变图形大小,坐标顺序及其正负决定镜像关系
]
end;坐标计算和图素置位程序结束
4. 模拟结果
4. 模拟结果
通过界面数据输入框调整参数和坐标初值,可产生不同的图形,下表列出一组一些典型情景,依次对应不同的图形。并可找到与“三翼鸟”和《领导力和新科学》封面图案接近的图案。






5. 模型的拓展
5. 模型的拓展
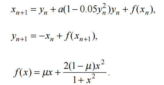
“Gumowski-Mira map”在不同的参数和坐标初值下,还可以产生更丰富的斑图。在Computer Simulation on the Gumowski-Mira Transformation一文给出了更一般的情况:
(http://citeseerx.ist.psu.edu/viewdoc/download?doi=10.1.1.619.2605&rep=rep1&type=pdf)

|
av |
μv |
xv |
yv |
|
0 |
-0.7 |
0 |
0.5 |
|
0 |
-0.15 |
0 |
0.5 |
|
0 |
-0.2 |
0.5 |
0 |
|
0 |
-0.22 |
0.5 |
0.5 |
|
0 |
-0.31 |
0 |
0.5 |
|
0 |
-0.55 |
0 |
0.5 |
|
0 |
-0.23 |
0.5 |
0.5 |


按上述公式把程序扩展为:
to setup
clear-all
create-turtles n
[
set color yellow
]
reset-ticks
end
to go
let μ μv
let a av
let x xv
let y yv
ask turtles
[
let u ( y + a * (1 – 0.05 * y * y ) * y + μ * x + ( 1 – μ ) * 2 * x * x / (1 + x * x) )
let v ( – x + μ * u + (1 – μ ) * 2 * u * u / ( 1 + u * u ) )
set x u
set y v
setxy 0.66 * x -0.66 * y
]
End



6. 下一步的方向
6. 下一步的方向
mira给出了更多美丽的斑图,我们可以进一步发现“Gumowski-Mira map”的神奇。

http://www.copysense.co.uk/mira.php

仇玮祎老师推荐的Wolfram在A New Kind of Science一书中给出了更宽广的论述和更多的神奇斑图,我们继续探索吧!
同时也希望我们的探索能给管理带来更多的联想与启发,共同追求“真善美”。
书籍和课程推荐

集智《NetLogo多主体建模入门》配套课程、学习社群详见:
入门复杂性科学,从Netlogo课程开始 | NetLogo多主体建模社群正式启动
-
ABM | NetLogo:打开复杂系统奇幻世界的一把钥匙 -
离散混沌传奇丨陈关荣 -
集智俱乐部新书上市 | NetLogo开荒之作! -
怎样入门复杂性科学?从 NetLogo 多主体建模开始 -
《张江·复杂科学前沿27讲》完整上线! -
成为集智VIP,解锁全站课程/读书会 -
加入集智,一起复杂!
点击“阅读原文”,一键购书





