前沿综述:解释城市标度律起源的数学模型

导语
人类面临着城市化和城市人口密度不断增加的挑战,寻求一种能够为管理城市提供量化和系统化方法的城市理论是当务之急。如果这样的理论是可行的,那么它必须以数学的方式来表述。近期发表在ArXiv上的一篇综述文章回顾了现有文献中解释城市标度律起源的数学模型,并确定不同模型之间的相似性和联系,以及不同模型导致相同输出的情况。此外,本文还报告了某些情况下,最初在一个特定模型中引入的一些想法也可以在另一个模型中引入,从而产生多样元化解释并增加模型的应用范围。本文解释的数学模型从不同角度解释城市标度律的产生:从引力思想,到密集化思想和城市的几何形状,再到等级组织和社会网络属性。以下是对这篇文章的深度解读。
研究领域:标度律,城市增长,引力模型,分形几何,社会网络

刘志航 | 作者
邓一雪 | 编辑

论文题目:
Mathematical models to explain the origin of urban scaling laws: a synthetic review
论文链接:
https://arxiv.org/abs/2111.08365
一、城市标度律
3. 极端值模型
4. 吸引力标签模型
四、总结与讨论
一、城市标度律
一、城市标度律
据联合国估计,到2050年全世界将有超过70%的人生活在城市。为了解决高度城市化带来的问题,迫切需要发展一种定量理论以理解城市现象,并帮助我们系统地管理城市。这一理论能对城市进行定量描述,可以更好地预测决策者探索的情景,并提出关于城市增长的新观察。如果这样的理论存在,那么它必须以数学的方式来表述。本文聚焦于新城市科学的城市标度律(urban scaling laws)研究,回顾了现有文献中解释城市标度律起源的数学模型,并确定不同模型之间的相似性和联系,以及不同模型导致相同输出结果的情况。
所谓城市标度律往往表现为幂律形式(power laws),反映了缩放过程和自相似性。城市标度律所反映的过程导致了城市增长,奠定了城市的演化结构,将我们的理论和模型带到复杂性理论的范畴,带入到诸如分形等高度有序的形式,也使我们能够基于细胞、主体、和行为人等构成城市的最基本单位来建构模型。
标度律显示,一些城市指标Y与城市人口规模N之间存在缩放关系,其形式为Y=Y0Nβ,其中Y0是一个常数,β是标度因子。根据经验证据可以归纳出以下三种不同的标度律:
首先,与社会经济活动有关的变量(如GDP、专利、艾滋病病例)与人口规模呈超线性关系(β>1)。文化和经济不同的国家以及不同的城市指标的经验证据表明,社会经济变量的标度因子约为β=1.15。这意味着这些社会经济变量的人均数量往往随着城市规模的扩大而增加,即所谓的规模收益递增。通常情况下,一个大城市产生的财富比两个一半大小的城市加起来还要多。因此可以直观地说,城市越大,它产生的财富就越多。
其次,与个人基本服务相关的变量(如房屋数量、用水量)与城市人口呈线性关系(β=1)。而与基础设施相关的变量(如充电桩、加油站的数量)与人口呈亚线性的关系(β<1)。经验证据表明,基础设施变量的标度因子在β=0.85左右。这意味着大城市对人均基础设施的需求较少,可以说大城市可以用更少的钱做更多的事。也有证据表明,标度因子的值存在某种约束,如这些超线性和亚线性指数加起来约等于2。
但是,为什么会出现城市标度律?本文试图回答这个问题,并重点回顾通过某种超越经验特征的数学模型来说明城市标度律出现相关论文。这里讨论的许多(但不是全部)模型都是建立在社会经济活动是由人口、城市几何和人与人互动可能性的多重组合的结果这一理念之上的。前提是互动,以及随之而来的知识交流,从而产生创新、经济增长、收益递增和规模经济。在一些模型中,城市的几何和网络属性也在解释观察到的标度律方面发挥了重要作用,因为人类的互动强烈依赖于城市的空间结构。由于自然因素,如崎岖的地形或物理屏障(山脉、河流、湖泊等)的存在,导致城市某些部分的隔离。此外,人工因素,如街道网络的几何形状或城市的形状,也会影响人类的互动。
在过去的几年里,大量的论文致力于介绍有关这种城市标度律的经验和理论证据。但本文只选择介绍那些解释或推导出城市标度律的模型,特别关注那些从数学上推导出的模型。本文还旨在解释城市标度律的过程中,观察不同模型之间的相互联系,是否有可能在不同的方法中看到一些共同的属性,以及确定它们有哪些共同的假设和结果。因此,我们将这些模型进行了分类,识别出具有相同基本思想的模型组,如图1和表1所示。
本文介绍的模型分为两类:城市内部模型和城市间模型。城市内部模型指的是只考虑城市内部因素来解释标度律的模型。在这些模型中,人与人之间的互动,以及城市几何和空间分布如何产生影响,是解释标度律的主要内容。在这个类别中,所有的引力模型都代表了一般形式化的特殊情况。
第二类是关于城市间的模型,这类模型考虑在城市之间交换某种信息来解释标度律的出现。并非所有的模型都导致了城市标度律的出现,它们被包括在内是为了更好地展示城市间模型这个不太成熟的研究领域。为解释标度律而提出的主要机制有齐夫定律、等级组织和不同城市的人们之间的相互作用。

图1:解释城市标度律模型的分类。
二、城市内部模型
二、城市内部模型
在过去的几年里大量的工作认为城市变量取决于人口规模N,而没有必要纳入其他变量或甚至来自邻近城市的信息。事实上,这背后的主要想法是,城市变量的结果只是城市内部过程的结果。然而,城市之间是不断互动的,城市指标对人口规模的依赖可能仅仅是一个成功的一阶近似表现。这一节使用城市的内生因素介绍了城市标度律起源的数学模型,此处将城市内部的模型分为两类。第一类考虑了人与人之间的互动,以解释非线性的城市标度律。第二类则认为当城市中存在一些必要的补充因素时,就会出现非线性的城市标度律。
1 基于人类互动的模型
1.1 基于人际互动的模型
大多数现有研究都认为人与人之间的互动是解释城市标度律出现的主要机制。假设城市是由居住在建成区域A= L2中的N个城市人口组成(如图2)。当两个人在城市相遇时,他们产生的想法对应于社会经济活动的数量g。例如,g可以代表专利的数量,财富的数量等等。如果个体i与ki个体互动,则这些交互产生财富总量gki。在不丧失一般性的情况下,ki可以代表个体联系人(朋友、同事或随机相遇)的数量,或他/她在特定时期的互动数量,甚至是复杂网络中的节点度。

图2:拉夫拉斯市(Lavras,巴西)及其周边地区A,由一个边长为L的正方形包围。
如图3所示,一个特定社会经济变量的全市总量Y可以理解为所有个体社会经济产出的总和,而个人的社会经济产出y是单个人互动产生,即交互产生的数量乘以总的互动次数y=gki。现有文献模型的不同之处在于,它们计算/确定个人的平均互动次数ki,以及由此产生的社会经济财富的数量g。
下面介绍的模型的不同之处在于,它们是如何计算个人的平均接触密度(nc)的,从而计算出这些接触产生的社会经济财富。所考虑的模型基本上服从于以下描述,特定社会经济变量的总结果Y可以理解为该城市所有个体社会经济产出的总和,即Y = Ny。反过来,个体的社会经济生产y是由单一互动(g)产生的社会经济产出乘以每个个体的互动总数(ki)的结果,从而产生了Y = gN ki = gN2nc的关系。

图3:将城市标度视为通过人类互动进行知识交换的结果的模型。
可以推导出,nc ≡ki /N ,当我们假设单一互动产出g 与人口规模无关时(a ∼ N0),则Y ∼ N2 nc,对比标度律的经验公式
,其中
≡ 1.15(近似)为社会经济标度因子的经验值,表明接触的平均密度必须服从幂律
。我们也可以用
≡0.85来近似表示基础设施标度因子的经验值。这两个标度指数之间存在某种互补关系,即
。因此,
。当然,到目前为止以上推导都是推测性质的,代表了一种“经验法则”,即基于相互作用的模型在定量解释标度律时需要遵守的假设。任何基于相互作用的模型的接触密度和由此产生的相互作用的概率必须符合以上公式,以便与经验上保持一致。表1总结了接下来要介绍的模型,并列出了组织它们的主要机制,以及它们所预测的标度因子。具体到基于互动的模型,它们都包括计算人们的平均接触次数,而这个数量又取决于每个模型中使用的参数。

表1:解释城市非线性标度律的模型的主要特征
1.2 人类互动的横截面模型(Bettencourt)
Bettencourt提出的模型可能是最有影响力的用于解释城市标度律起源的模型。该模型与物理学中使用的横截面概念有相似之处(注:物理学中测量粒子碰撞概率的量是横截面)。它认为每个人在整个城市中移动,规定了一个互动半径为lo,长度为l的轨迹,这意味着这个人在他/她的轨迹中进入了城市的一个区域a =lo· l,则接触密度nc 就等于个人可访问的区域除以整个城市区域,即nc = a/A。为简单起见,此时考虑城市的边界区域A,利用经验公式
,并记住可达区域是个体的固有属性,因此是无标度的(a ∼ N0),我们就得到了以下关系Y~N2/A 。为了得到更精确的估计,Bettencourt 使用了建成区域An来代替边界区域A,并且引入了个体平均距离λ和个体密度ρ,这两个参数通过ρ= N/A = 1/λ2的关系联系起来。通过估计得到
,这表明个体间的平均距离随着城市规模的增大而减小。换句话说,正如实证研究表明的那样,大城市的人口密度比小城市要大。于是,可以估计出βsuper=7/6,βsup=5/6,与经验值相近。
总之,Bettencourt的模型定量地预测了经验的标度因子。这是非常了不起的,因为该模型是基于相当具体的假设的。例如,该模型将边界区域作为基础设施的替代变量,而没有考虑基础设施的数量。但是,该模型没有考虑建筑物,如果考虑这个因素将使互动范围从二维扩展到三维。因此下面的模型会对这一问题作进一步讨论。
1.3 基于相互协作模型(Yang等人)
Yang等人将超线性标度解释为在城市中找到所需合作可能性的结果,这是一项事业的必要条件。考虑到某一产品的开发需要 q+1 名专家,q=0时情况意味着一个人可以完成这种活动的所有必要过程。本文介绍的其他数学模型中,如Bettencourt模型和下一节介绍的引力模型,活动和生产力(我们称之为g)需要两个人,也就是q=1。作者将pq(ki)介绍为一个人i在ki接触中找到所有q个合作者的概率。那么,社会经济产出可以定义为Y ∼ N pq(<ki>), 其中ki是居住在该城市的一个人的平均唯一联系人数量,表明pq(<ki>) ∼ <ki>q。于是可以推导得出:

从这个结果可以推断出一些含义。首先,超线性标度律出现的一个必要条件是,在较大的城市,接触的人数更多。其次,存在需要有1个人以上(即q>0)合作才能完成的事业。虽然存在一个可以单独完成的事业(q = 0),但会产生一个线性标度因子βsuper=1,意味着如果一个人不需要合作来完成某件事情,那么这个活动的总量就会很快扩大,而不会出现规模收益的增加。在这个意义上,规模收益递增归因于q>0的事业。因此,需要更多合作者的城市产出变量会出现更明显的超线性标度。
1.4 引力模型
引力模型是利个体间相互作用的距离衰减效应来解释城市标度律的,类似于两个大质量物体的牛顿引力。引力模型有很多种定义方式,但它们存在通用的概念。本文把dN(r)表示为嵌入D维空间的超体积元素(hyper-volume element)dr内个体的数量。例如,当D=2,这个超体积元素就是一个二维平面;如果D=3,就是一个三维体积。此外, r是从个体i指向超体积dr中的个体的一个矢量。这个矢量可以用两种方式来解释,(i)作为D维中的位置矢量,因此它的模是欧氏距离r(如图4);或者(ii)作为在复杂网络内分隔任何两个个体的非欧氏距离。有了这些量的定义,就可以计算出城市中的个体总数为
,和r处的个体密度为ρ(r)=dN(r)/dr,这表征了人口在空间中的排列方式。
当我们考虑第i个个体与r处的人互动的概率时,就引入了引力思想,那么城市中的社会经济总产出
。其中,
代表个体在r处的(平均)互动次数,g(r)表示个体i与位于r处的另一个人互动所产生的社会经济产出。以上就是引力模型的一般表述,不同引力模型的主要区别在于矢量r、相互作用的概率
、用ρ(r)表示人口的空间分布特征以及单次产出g(r)这几个参数的定义。

图4:矢量r表示个体i和超体积元素dr之间的欧氏距离。
(1)简单引力模型(F.Ribeiro等人)
Ribeiro等人的模型认为,两个个体之间的相互作用的概率随着它们之间的欧氏距离r的幂律而衰减,将互动概率定义为
,其中衰减指数γ是模型的一个参数,用于测量相互作用范围。该模型还认为,人口空间分布形成了一个分形结构,其分形维度为Dp,嵌入到一个具有欧氏维度D的超体积中(保持Dp≤D),因此可以将ρ(r)写为:

最后,该模型还假设所有的互动都具有相同的社会经济产出,即g(r)为一个常数,最终推导出
。这意味着标度因子是由衰减指数和群体分形维度的比率来决定的。最近的一些研究采用相同方法研究肿瘤的生长,得出了类似的结果,这个模型在城市系统和癌细胞的互动之间进行某种类比。
根据这一模型,社会经济变量的超线性是完整性的必然结果。否则,如果城市是由孤立的区域组成的,互动的数量以及由此产生的社会经济指标将线性地取决于人口规模,而不会增加规模收益。有趣的是,这一结果与Bettencourt使用的论点相一致,即人均社会经济生产必须足以支付运输成本,以确保城市的地域统一性。值得注意的是,两种不同的方法使用相同的论点来解释城市标度律,即构成城市的各个部分之间的相互联系。衰减指数γ代表了距离影响的一个复合值,随着互联网络和视频会议的普及,线下交互可能变得不那么重要,这可能会降低距离的影响。然而,γ的时间演化还有待经验证明。
(2)个体吸引力模型(Yakubo等人)
Yakubo等人考虑了一个额外的因素,即人们对彼此表现出不同的吸引力,取决于个人的影响力如何。最后作者推导出的模型公式为:

其中,α、m和η是模型参数,服从
。根据该模型,即使在互动产生的生产力与距离无关的情况下(即η=0时),社会经济标度因子的超线性也会出现。事实上,控制这种超线性的主要因素是互动范围(用γ= m(α-1)表示)和城市的分形维度(Dp)之间的比率。当η=0和α=2时,Yakubo等人的模型和Ribeiro等人研究的引力模型是等效的。此外,γ= m(α-1)对参数γ给出了更基本的解释,表明这个控制相互作用范围的参数不仅取决于几何特性(由参数m表示),而且还取决于组成城市的人的影响程度/吸引力(由参数α表示)。总而言之,为了改善城市的社会经济指标(更大的
),不仅要为城市的其他部分提供良好的通道,而且要在人口中拥有能够在城市的遥远部分之间建立互动的影响者。
(3)树形社会网络模型(Arbesman等人)
目前为止介绍的模型是基于人与人之间的互动需要克服地理距离的想法。然而,Abersman等人的工作表明,当考虑到一个分层的社会网络时,城市变量超线性标度也会出现。作者提出,人口被组织在一个树形的社会网络中(如图5),人口中的N个个体在这棵树的N个叶子里,这个等级网络中的每个分支都会分裂成b个新的分支。两个个体之间的社会距离d被定义为他们最低共同祖先的高度。与本节开头介绍的一般引力框架相比,距离向量成为一个标量,即r→d,它不代表物理距离,而是社会距离。
结果表明,当社会距离较远的人群相互作用时,社会经济标度因子更大。这意味着,当社会不同人群之间的互动以类似于之前讨论的地理距离的方式成为可能时,城市的社会经济就会得到改善。正如研究所指出的那样,社区之间的紧密联系创造了更好的城市,这意味着社会远距离的互动可以成为一种社会经济力量。

图5:树形社会网络。由N=8个个体组成,分别命名为A、B、…、H,分布在N个叶子中。在这种情况下,所有的分支都分裂成b=2个其他分支,这个网络中任何两个个体之间的距离d是他们最低共同祖先的高度。例如,A和B(AB)之间的距离是d=1;AC和AD是d=2;AE、AF、AG和AH是d=3。
(4)欧氏距离与社会距离的关系
以上三个引力模型分别考虑了物理距离和社会距离。然而,本文想证明在某些情况下,这两个版本可以被理解为是等价的。这样的猜想是合理的,因为我们生活在我们认识的人身边。此外,通过公式推导发现,人口部分地以分形方式分布,同时它遵循一个分层的社会网络,衰减指数γ也与社会关系有关。这意味着,不同的作者采用不同的想法和方法独立开发了他们的模型,却得到了等价的结果(具体推导过程可查看原文)。
(5)亚线性标度模型(F.Ribeiro等人)
基础设施的标度因子βsup也可以用引力模型推导出来。然而,与Bettencourt模型不同的是,Ribeiro等人关注的是城市中满足人们需求所需的设施数量。他们利用人们倾向于选择靠近的地方消费的想法,规定了设施数量,作为人口规模函数的缩放特性,并推导出
。
这个模型表明,只有在γ<Dp的情况下,才会出现基础设施的亚线性标度因子。这个γ范围实际上表征了远距离相互作用区域,这是城市作为整个耦合系统的结果。正如前面提到的引力模型和与Bettencout模型的比较,互动范围越大,规模经济就越大,因此基础设施成本就越低。
(6)引力模型的发现与结论
我们发现,以上几组作者独立地采用了引力思想来解释城市标度律,却产生了一致的结果。这一观察强调了引力方法对于理解城市现象的重要性,因为托布勒已经从定性上提出了他的地理学第一定律。本工作的一个创新之处在于将这些想法组织在一个单一的、一般的框架中,从而可以确定相似性和共同的结果。各种引力模型在特殊情况下是等价的,它们代表了各种变体。通过整合这些模型,我们得出结论,城市规模的扩大基本上是由分形几何和加强或减少互动的社会关系所造成的空间分布的结果。具体而言,城市标度律的出现需要以下条件:
-
可以方便地到达城市的各个地方。增加规模回报需要一个地理上连接良好的城市,允许整个城市内的相互作用,并允许城市的完整性。在实践中,这可以通过一个高效的交通系统来实现。
-
有到达城市偏远地区的人物。优秀的有影响力人物的存在可以整合城市的遥远地区,促进互联互通,从而产生更显著的城市规模效应。
-
社交距离较远的人之间的互动。当社会距离遥远的人能够更好地互动时,社会经济标度因子就更大。本文已经证明,在某些情况下,社会距离和地理距离是相关的。
1.5 基础设施几何模型(Molinero 和 Thurner)
与上一节介绍的一些模型一样,Molinero和Thurner提出的模型也将分形几何作为城市标度的主要因素。作者在讨论中引入了新的成分,如城市垂直化和人口的分形维度(Dp)与基础设施的分形维度(Dinfra)(即街道网络)之间的区别。由于街道网络位于二维地球表面,其维度受到Dinfra≤2的限制。Molinero和Thurner认为,人口和基础设施分形维度的区分对于在城市间观察到的标度律至关重要。
作者认为,人口位于沿街的房屋和建筑物中,如果我们忽略了垂直范围,那么人口的分形维度将与街道结构的分形维度非常相似。这与之前的模型所考虑的相似,即Dinfra= Dp。然而,正如Molenero和Thurner所认为的,城市有一个不能忽略的垂直部分,这就把Dp限制在Dinfra≤Dp≤Dinfra+Dh的区间内,其中Dh是与城市建筑高度有关的维度。
作者最后推导出βsup=Dinfra/Dp,揭示了分形结构(人口和街道网络)在城市标度中的作用,即城市标度律的出现是由于人们居住的地方和他们移动的结构不平衡的结果。同样需要强调的是,正如作者所证明的那样,虽然人口和基础设施分维(Dp和Dinfra)在个别城市中差异很大,但Dinfra/Dp的经验比率(对数千个城市而言)非常稳健,且Dinfra/Dp的值约为0.86。这个值与基础设施标度因子(βsup=0.85)的经验值较为近,使得这个理论成为在基础设施背景下解释城市标度律最成功的理论之一。
同时,可以发现公式
与F.Ribeiro等人给出的公式
存在一定的相似性。事实上,比较这两个独立的结果为引力指数γ提供了一个额外的解释,并暗示了对Molinero和Thurner结果的一个更根本的解释。我们可以用Dinfra代替γ,得出
。这个结果表明了空间或者说街道网络结构(这里用分形维度Dinfra表示)是如何影响人们之间互动的。如果以上公式成立,那么街道网络越紧凑(Dinfra越大),互动范围就越小。换句话说,随着密度的增加,个人可以进入城市的部分越来越少。在这个意义上,以上提出了一种量化的方法来理解街道的结构是如何影响人们的互动的,以及因此如何在城市发展上产生影响。
2 基于城市必要因素的模型
Gomez-Lievano等人在2016年的提出必要因素模型,该模型属于城市内模型范畴,但与之前介绍的其他模型不同。其他城市内模型是基于人与人之间的互动为前提 ,而这个模型则是基于城市内的必要因素。因此,上节中介绍的一般框架在这里并不适用。该模型采用了经济复杂性和文化演变的概念来解释城市规模的起源。主要观点是,当城市中存在一些必要的互补因素时,就会出现城市社会经济现象。
把M看作是某项社会经济活动所需的可能因素的数量。例如,如果Y是一个城市的专利总数,M可以是一个人开发专利所需的不同技能的数量。也就是说,M是对有关现象的 “复杂性”(复杂度、难度等)的一种度量。假设这些因素中的每一个都是由相应的城市提供的,概率为z。那么,如果这些因素是独立的,城市提供这M个因素中的m个的概率,即p(m),将遵循二项式分布:

根据作者的观点,参数z可以作为城市多样性的度量。一个特定的个体i只有在她/他需要城市能够提供的必要因素时,才会成功地实施/发展某种社会经济活动。作者最后推导出βsuper=1+Mbp,其中b为常数,q代表个人拥有某项技能的概率。作者认为,可以通过考虑城市在规模增长时积累因素的方式来解释。根据他们的观点,如果因素随着城市规模的扩大而被添加到城市中,并且发生了一个选择过程,其中只有最好的或最有用的因素才能存活,那么这种关系就会出现。这种累积性的演化过程在文化演化的文献中已经被分析过,它们产生的因素与人口规模的对数相加。总而言之,该模型预测城市标度因子的超线性是由于一个特定的社会经济活动发生的必要因素数量(用M表示),和城市提供必要的补充因素的能力(b);以及个人从城市环境中获得因素的依赖性(q)。这些因素数量越大,超线性就越明显。
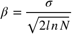
3 极端值模型
Gomez-Lievano等人在2021年的一篇文章中分析认为,超线性标度因子可能不是通常所假设的规模收益递增的结果。在这项工作中,作者假设即使没有个体之间的互动过程,城市标度的非线性也会出现。他们表明,非线性可以通过一个作用于独立随机变量的选择过程出现。从这个意义上说,城市标度律反而代表了一个伪命题。为了证明这一论点,作者提出了以下模型。假设某个人的生产率w,是一个独立的随机变量,因此,它不取决于他/她所居住的城市的大小。此外,这个生产力是对数正态分布,如下所示:

其中w0和σ是正参数, ln w0 = <ln w>是ln w的期望值,σ2= VAR[ln w]是方差,生产力期望值由
给出。对数正态概率密度函数(pdf)的选择是由一些经验研究证明的,这些证据表明,由工资间接衡量的工人的生产率遵循这种分布。作者最终推导出
,当出现极端值N << σ才会出现超线性标度因子,否则β=1。这个模型的结果至少有两个启示。首先,不断增加的超线性标度和规模收益率,可能只是一个伪命题,因为它可以从独立随机变量的选择过程中发生。其次,它允许线性和超线性不同结果的出现,取决于城市的规模和工人生产力分布的方差之间的关系。小城市(N << σ)将表现出超线性标度因子,而大城市(N >> σ)则出现线性特征。
三、城市间模型
三、城市间模型
以上介绍的都是城市内部的模型。然而,城市并不是封闭的或孤立的对象。实际上,城市之间存在着不断的相互作用,无论是不同城市的个人或企业之间的关系,还是城市之间的人口流动,均是如此。因此,城市之间发生互动的过程一定会以某种方式干扰生产力和基础设施的使用,需要阐释城市间的相互作用是如何解释城市标度律或影响城市标度律的,即使只是在二阶近似的情况下。本节将解释城市间模型,但这方面的研究不太成熟,因此模型的数量较少,概念的范围较广,其中还包括一些定性的方法。
1 技术扩散模型(Pumain等人)
Pumain等人认为,非线性是由于城市系统内的相互作用造成的。更具体地说,他们提出,非线性是通过从最大的城市到较小的城市的分层创新过程出现的。根据这一主张,创新过程在大城市中不成比例地高。经济指标的超线性标度因子代表了新技术的出现阶段,这发生在较大的城市;线性标度因子代表了系统中从大城市到城镇和小城市的扩散阶段,而亚线性则代表了技术的成熟阶段,也以衰落或替代过程为特征。这个理论的优点是它把城市之间的相互联系带到了前台,例如,齐夫定律揭示了城市系统中的某种等级结构。
2 齐夫定律(Gomez-Lievano等人)
Gomez-Lievano等人提出了一个统计框架来描述城市规模大小分布的特点。简单地说,他们推导出城市人口规模N遵循齐夫定律的情况,即幂律分布P(N) ~N–α,并推导出
,其中城市指标Y服从P(Y)~Y–αY,这意味着标度因子与齐夫指数直接相关,反之亦然。最近,人们提出了各种解释,重新从定量上和定性上解释齐夫律和标度因子之间的联系。更具体地说,城市标度将齐夫分布(α≈1)转变为另一个幂律分布,其指数αY在β不等于1的情况下与α不同。
但是Ribeiro等人认为
仅代表上限。通过对不同城市的N和Y的值进行置换,公式不成立,从而使相关性消失(β≈0),但分布和指数α、αY仍然不受影响。换句话说,这个思想实验意味着P(N) ~N–α和Y∼Nβ可以推导出P(Y)~Y–αY,但P(N) ~N–α和P(Y)~Y–αY却并不能推出Y∼Nβ。
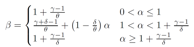
3 国家标度模型(H.Ribeiro等人)
Ribeiro等人根据经验将城市齐夫律与和城市标度联系起来。基于许多国家的数据,他们发现了GDP的齐夫指数α和城市标度指数β之间的相关性。为了解释这些相关性,作者认为,对于给定的城市总人口,全国范围内的城市GDP是固定的,不同的α值需要对β进行调整,以保持全国范围内的总量。反之亦然,也就是说,作者没有对可能的因果关系的方向作出说明。作者推导出不同的β值与α存在以下关系,其中δ、θ和γ为常数。

值得注意的是,α和β是跨城市的指数,对于一个国家/地区,它们各有一个值。其他指数δ、θ和γ是各国的标度因子。这意味着,考虑一个国家或一个类似的区域,国家标度因子是常数。但是作者推导出的国家标度因子只是平均而言的,因此还需要更细致的解释。
4 吸引力标签模型(Altmann等人)
D. Altmann等人的吸引力标签模型(attractiveness token)是在最初由Leitão等人提出的方法基础上开发的。这个模型与其他模型不同,因为它不会导致标度因子成为一种涌现的现象。然而,有必要提到它,是因为该模型建立在不同城市的个体之间的互动上,引入了关于整合城市内部和城市之间模型的想法。此外,这个模型还提出了纳入城市内部模式的想法,以便扩展城市间模型。
该模型考虑了一个由Ncit个城市组成的城市系统,其中Nc是第c-th个城市的人口,以这种方式,城市系统的总人口为N*。将标签Y*随机分配给系统的人,这种标志可以是一项专利或一项社会经济产出。用p(i)表示在N*个人中,一个标签被归于个人i的概率。Altmann提出,这个标签分配是该个体的吸引力xi的函数。吸引力将与个人获得标签的能力有关,例如,魅力、领导力或专业培训等。这个数量可以被认为是这个人和所有其他人之间互动的结果,其公式可以表示为:

其中pint(rij)是衡量i和j这两个个体之间的相互作用,它们之间的距离是rij。其中,i和j可以属于同一个城市,也可以属于不同的城市。
值得注意的是,吸引力xi也出现在Yakubo等人的模型中,而pint(rij)是引力模型中的互动概率。当pint(rij)=0时,i和j居住在不同的城市。Yakubo等人所考虑的吸引力与Altmann所考虑的吸引力之间有一个微妙但重要的区别。在前者吸引力意味着互动的概率,而在后者吸引力是互动概率的结果,详细推导过程可查看原文。
Altmann认为,城市标度律的出现是个人效率的非线性的结果,它取决于他们所居住的城市的大小,通过改变参数可以模拟不同个体互动的范围(城市内部或城市间)。因此,在未来的工作中,将以前提出的模型中的一些想法纳入这个模型可能会很有趣。例如,纳入吸引力的幂律分布,如Yakubo所做的那样,或者使用在引力模型背景下讨论的参数γ所体现的互动范围。
四、总结与讨论
四、总结与讨论
大多数城市内部模型认为城市标度的出现来自于人类的互动,即城市中有意或无意地与人相遇。例如,Bettencourt提出的模型采用了物理学中已知的横截面概念进行类比。在城市内部采用人类互动的模型是基于一个特定的互动概率。这促使我们将这种概念上的重叠统一到一个将这种概率正规化的框架中。事实上,这组模型只是在如何估计互动概率的推理上有区别。在回顾引力模型时,有三组作者独立地采用了不同的观点,导致了相同的结果(在给定的参数组合中)。物理学中对引力的类比有很长的历史,并在更广泛的背景下进行了研究。相应地,作为一个小的展望,进一步统一引力的应用将是有趣的。
本文还回顾了城市间的模型,并发现这一领域很有前途,但进展较少。首先,这个分支的模型较少。其次,这类模型不太明确,城市标度的出现几乎没有推导,而是与其他标度律有关。尽管如此,本文仍然认为城市不是孤立的对象,它们之间存在着重要的互动。同时,城市内部的模型也是基于合理的假设,并被证明在描述城市标度律方面是成功的。因此有理由认为,城市内部和城市之间的模型的发展是迈向统一城市理论(Unified Urban Theory)的重要一步。
最后,有必要提及最近发表的其他模型和方法,这些模型和方法也有助于理解城市标度律的特性,但与本文介绍的模型有一定的区别。例如,一些文章将城市标度律作为其他幂律函数或分布的结果来分析,如Bettencourt的能量耗散模型。这种方法对于描述城市标度律很重要,但它并没有从根本上解释或推导出标度因子。另一些同样致力于解释标度因子的研究则采用了数据驱动的方法。
还需特别指出的是,这篇文章只考虑了城市标度发展的横截面。横截面(横向)和时间标度(纵向)是同样重要的。从本质上讲,考虑到城市有足够大的增长率且没有外生因素干扰的情况下,时间标度律和横截面的标度律是一样的。最近,有两个研究小组独立而一致地提供了关于这方面理论上的描述。
参考文献
(参考文献可上下滑动查看)
复杂科学最新论文
集智斑图顶刊论文速递栏目上线以来,持续收录来自Nature、Science等顶刊的最新论文,追踪复杂系统、网络科学、计算社会科学等领域的前沿进展。现在正式推出订阅功能,每周通过微信服务号「集智斑图」推送论文信息。扫描下方二维码即可一键订阅:

推荐阅读
-
Luis Bettencourt:中国城市发展,仍然遵循普遍的规模法则 -
Nat. Comput. Sci. 最新:人类移动行为涌现城市发展规律 -
城市等级如何影响创新的空间扩散?——对300万个传播事件的研究 -
《张江·复杂科学前沿27讲》完整上线! -
成为集智VIP,解锁全站课程/读书会 -
加入集智,一起复杂!
点击“阅读原文”,追踪复杂科学顶刊论文





