为什么聊政治伤感情,聊娱乐增进感情

导语
这是个一言不合就退群,三言两语即绝交的时代,而每个人同时具备对多个领域的不同看法,因此在多个层面的观点传播显示出复杂特征。最近的研究提出一个将观点动力学与网络演化统一起来的综合框架,并且发现聊政治和聊娱乐的影响大不相同。
为了探索高阶交互结构,聚焦网络科学前沿,集智俱乐部发起了「高阶网络读书会」,研读分享相关研究。读书会自6月28日起,持续10-12周,并特邀Ginestra Bianconi等一线学者做报告。欢迎从事复杂网络研究与应用的朋友加入。详情见文末。
研究领域:观点动力学,网络动力学,社会极化,多主体建模

刘培源 | 编译
邓一雪 | 编辑

论文题目:
The emergence of polarization in coevolving networks
论文链接:
https://arxiv.org/abs/2205.14480
1
1
社会系统中普遍存在两极分化的现象,社交媒体中的意见分化尤其明显。一些网络建模工作已经揭示,通过增强整合机制和网络演化,在共演化网络中会出现极化。但对于控制极化的定量方法和理论框架尚且缺失。
由迈阿密大学物理系宋朝鸣教授领衔的研究团队,最新发现了观点分布的统一标度定律(scaling law),标度系数将社会系统分为极化和去极化的不同阶段。研究者提出了一个将观点动力学和网络演化统一起来的共演化理论框架,并在Facebook和博客社区的经验数据中得到验证。该理论不仅解释了目前观察到的社交网络标度律,并且能够定量预测标度系数。该研究5月28日发布于预印本网站arXiv.org。
2
2
极化动力学有两种普遍机制:首先是观点同质化,即个人观点在社交网络中受到邻居的影响,并且倾向与同类观点融合;其次是同观点聚类,即社会联系随着时间而发展,个人倾向于与具有相似观念的人建立联系。这两种机制导致了网络演化和观点动力学纠缠于真实的社会网络中。基于此背景,研究者提出了共演化网络框架,捕捉观点动力学和网络演化之间的相互作用。该框架可以预测到网络演化的三个阶段:1.极化,2.部分极化,3.去极化。
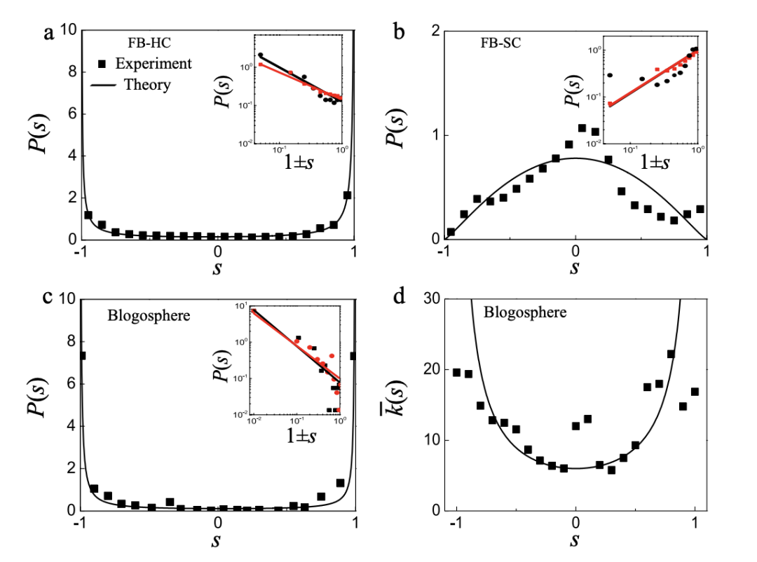
研究者使用两个数据集。首先是Facebook2014年7月-2015年1月之间分享最多的500个领域数据,这些领域被分为硬内容(FB-HC,如国家新闻、政治或国际事务)和软内容(FB-SC,体育、娱乐或旅行),对于每个领域,测量不同政治观点的比例,从而计算每种政治倾向的平均得分。其次是收集了互联网博客社区(包括ETalkingHead、BlogCatalog、CampaignLine和Blogarama)2004-2009年的数据,包含1490个博客,博客之间相互引用了上万次,从而可以构建其社交网络,并且以“自由”或“保守”为其观点分类。

图1. 研究者重构的互联网博客社区网络,节点颜色代表政治观点。节点越红则越保守,越蓝则越自由,白色为中立。可以从a中看到博客社区两极分化特征明显。博客社区较多讨论政治话题或持有某个明确的政治观点。
研究者用多主体建模(multi-agent modeling)方法设置网络,每个主体具有自己的观点,并且其观点可以在-1到1之间变化。在一定规则下通过网络连接,使得其满足 1)观点同质化和 2)同观点聚类的共演化网络特点。

图2. 量化观点分布,S为观点极化程度,范围从-1到1,0代表中立
如图所示,在偏向政治化的数据集(即图2a表示的国家、政治、国际等Facebook硬内容圈子,和图2c、图2d博客社区)中,大多数用户的政治观点趋向于两极的某一端。而在娱乐性较强的软内容数据集(图2b),大多数用户观点保持中立,即专注于体育、娱乐和旅行的社交平台上具有去极化特点。

图3. 由三种不同极化状态组成的相图精确解
3
3
这项研究法案现了真实网络世界中观点分布的通用标度律,其特征是一组标度指数。研究进一步发现,观点均匀程度和连边的出生死亡率是极化动力学的关键参数。
随着极化现象已经引起网络科学、 社会科学和信息科学等领域的广泛关注,该研究所提出的共演化网络的理论框架能够解释极化的标度现象,从而增进对复杂系统中极化的理解,并有望在多领域获得应用。
高阶网络读书会启动
随着对现实世界的探索不断深入,人们发现在许多真实的复杂系统中,组成系统的个体之间不仅存在二元交互关系,也广泛存在多个体同时(或以特定顺序)进行交互,即高阶交互现象。为此,研究人员分别发展出了基于超图、单纯复形、依赖关系等的网络高阶表示模型,为复杂网络分析和研究提供了新的思路。为了促进此领域的交流与合作,我们发起了【高阶网络读书会】。
集智俱乐部读书会是面向广大科研工作者的系列论文研读活动,其目的是共同深入学习探讨某个科学议题,激发科研灵感,促进科研合作。【高阶网络读书会】由电子科技大学吕琳媛老师、任晓龙老师及中国地质大学(北京)管青老师联合发起,第一期分享从 6月 28日(周二)20:00 开始,后续每周分享时间为每周四 19:00-21:00 进行,预计持续 10-12 周。这其间,我们将围绕高阶交互网络的基本概念、模型、方法与应用等研究进行研讨,本次读书会分享会按照「基础理论」+「深入理论」+「案例研讨」的模式展开。
详情请见:
推荐阅读
-
高阶网络动力学综述:同步、传染、合作演化与共识形成 -
PNAS评论:社会极化的涌现及其危险 -
为何人们要互相伤害:基于多主体建模给出解释 -
《张江·复杂科学前沿27讲》完整上线! -
成为集智VIP,解锁全站课程/读书会 -
加入集智,一起复杂!
点击“阅读原文”,报名读书会






