前沿速递:耦合非线性振子同步涌现和一级相变的精确判据

摘要
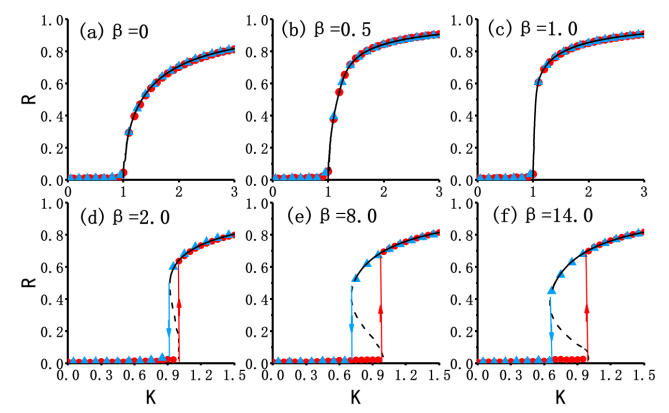
耦合振子同步进程中一级相变的涌现为理解众多复杂系统功能的转换与突变提供了重要的理论视角。近日发表在Physical Review Research上的一篇快报,揭示了耦合相振子系统一级相变的动力学起源。作者给出了异质性耦合系统一级相变产生的一般判据并解析给出各类平衡态的本征谱结构。这为进一步理解真实网络中结构扰动与功能突变的内在联系提供了重要理论启示。
研究领域:复杂系统,同步,耦合振子

徐灿 | 作者
邓一雪 | 编辑

论文题目:
Generic criterion for explosive synchronization in heterogeneous phase oscillator populations 论文链接: https://journals.aps.org/prresearch/abstract/10.1103/PhysRevResearch.4.L032033

高阶网络读书会启动
随着对现实世界探索的不断深入,人们发现在许多真实的复杂系统中,组成系统的个体之间不仅存在二元交互关系,也广泛存在多个体同时(或以特定顺序)进行交互,即高阶交互现象。为此,研究人员分别发展出了基于超图、单纯复形、依赖关系等的网络高阶表示模型,为复杂网络分析和研究提供了新的思路。为了促进此领域的交流与合作,我们发起了【高阶网络读书会】。
集智俱乐部读书会是面向广大科研工作者的系列论文研读活动,其目的是共同深入学习探讨某个科学议题,激发科研灵感,促进科研合作。【高阶网络读书会】由电子科技大学吕琳媛老师、任晓龙老师及中国地质大学(北京)管青老师联合发起,每周分享时间为每周四 19:30-21:30 进行,预计持续 10-12 周。这其间,我们将围绕高阶交互网络的基本概念、模型、方法与应用等研究进行研讨,本次读书会分享会按照「基础理论」+「深入理论」+「案例研讨」的模式展开。
详情请见:
推荐阅读
-
PRL速递:利用最优关联噪声增强同步 -
Nature物理:怎样让信息传遍全网?突破社区的临界相变点 -
诱导渗流模型:间接作用如何影响系统相变? -
《张江·复杂科学前沿27讲》完整上线! -
成为集智VIP,解锁全站课程/读书会 -
加入集智,一起复杂!






