机器意识:人工智能的终极挑战

导语
机器意识,未来人工智能领域的璀璨明珠,将成为人类信息技术革命的终极挑战。机器意识研究不但对深化人工智能的研究有着重要的推动作用,而且对科学地解释神秘的意识现象同样具有重要的推动作用。
今天的文章介绍厦门大学教授、心智科学家周昌乐的《机器意识——人工智能的终极挑战》一书。书中总结了作者在二十多年研究中探索的各个领域,包括自我意识的心脑机制、自我意识的计算建模,还探讨建立了自我意识的异步自省理论,并尝试性研究了通过量子计算如何使得机器也能够拥有“体验意识”。同时,这还是一部开展机器意识研究的工具书,包括意识哲学思辨、意识科学理论、意识计算建模、机器意识评估评测、机器意识哲学反思,以及包括脑机混合智能在内的机器意识发展前景等。
研究领域:机器意识,意识科学,意识计算建模,脑机混合智能

周昌乐 | 作者
前言
目录
第1章 绪论
1.1 意识哲学难题
1.1.1 意识学说概要
1.1.2 功能觉知意识
1.1.3 现象感受意识
1.2 意识科学理论
1.3 机器意识建模
1.3.3 量子计算方法
第2章 视觉注意
2.1 视觉注意机制
2.2 工作记忆模型
2.3 视觉特征获取
2.4 视觉注意系统
2.4.3 系统实验结果分析
第3章 自我认知
3.1 自我意识分析
3.2 异步自省理论
3.3 自我意识模拟
3.4 自我认知系统
3.4.3 机器镜像认知测验
第4章 情感体验
4.1 情感体验问题
4.2 情感感受理论
4.3 量子神经模型
4.4 乐舞情感感受
4.4.3 乐舞情感感受表演
第5章 余论
5.1 机器意识评估
5.2 哲学反思批判
5.3 展望未来前景
5.3.3 未来社会影响
后记
异步自省理论
在机器人监控员模型的基础上,我们从异步自省设定出发,以纯客观的方式,对自省过程进行讨论,对一阶表征和二阶表征状态的特征进行了深入分析,并给出对关于“我”、“自我”、“主观体验”概念生成过程的解释。然后在此基础上,进一步提出异步自省理论,明确给出认知和元认知的时间和状态差异(Chen,2017)。
1. 异步自省过程描述
1. 异步自省过程描述
按照机器人监控员模型和异步自省设定,考虑如下场景:R在时刻T1观察M1,M1中显示出一朵红色的花,R从M1中获得了“红色”的信息。将这个状态命名为S1,即:
S1:{红色|R,M1,T1}
如果在之后的T2时刻,R从M1切换到了M0,由于M0从C0获得的信息有延时,因此R会从M0中看到T1时刻自身状态的影像,即“R′正在观察M1′”,将这个状态命名为S2,即:
S2:{R′,M1′;红色|R,M0,T2}
如果接下来,在T3时刻,R继续保持在M0,但由于时间的流逝,M0上的内容刷新了,显示T2时刻的状态,即“R′正在观察M0′”,那么,将此时系统的状态命名为S3,即:
S3:{R′,M0′;R′,M1′,红色|R,M0,T3}
有了以上状态定义,按照高阶理论的一般定义,高阶表征是指以自身精神状态为对象的表征状态。在此,我们将分析在机器人监控模型的异步自省过程中,R可能从中获取的概念。由于涉及超过二阶的情况,因此我们在此定义n阶表征状态:当n=1时,是关于外部感知信息的表征状态;当n>1时,是关于自身n-1阶表征状态的表征状态;同时,n阶表征意味着进行了n-1阶层次自省,如一阶表征代表0次自省即不自省,二阶表征表达了1阶层次自省,以此类推。
在上述表述中,“R看Mx”这样表述中的“看”是以旁观者的视角来进行描述,而并不表示R形成的视觉通道概念。R真正的视觉通道概念应对应于R观察M1的状态。然而,按上述假定,R并不具备天然的自省能力,除了通过M0外没有任何途径可以获得关于自身的信息;同时,M0∼Mn的输入在最初对R来说是一视同仁的。因此,尽管初始状态下R可以自由选择观察M1或M2,但它并不具备“看”、“听”之类的概念。
假设,某一次,R在观察M1之后切换至了M0,于是就会形成一个二阶表征状态S2,其意向内容为“R′,M1′”,同时在短时记忆中保有“红色”的信息。如果这个过程重复多次,R可能将“R′观察M1”和“红色的花”联系起来,形成类似“只有R′观察了M1,红色的花才会被呈现”这样的认知。这个认知可以在两个方面被R加以解读:
(1)“红色的花”这个信息必然只能从代表视觉通道的M1中出现,虽然按照设定,R可以在M0∼Mn之间自由切换,但由于没有天生的自我意识,亦即R并不了解自己“切换”的动作,因此R对于这种切换是无意识的(这种切换的动作可能由情感或其他无意识机制控制)。而通过重复上述过程,R可能将“(R′)观察M1′”当作一个固定模式,由于每次R从M1中获取视觉信息之后,只要切换至M0,“(R′)观察M1′”这个模式必然被呈现,因此“观察M′”可被当做一个概念,而如果通过外部的语言学习,R可能给这个概念命名为“看(见)”或者“see”:“观察M1′”→“看”。
(2)R′在任何一次R对M0的观察中必然出现,无论同时出现的是“看”的模式(即“观察M1′”)还是“听”的模式(即“观察M2′”)。如果R通过对学习,习得了诸如“A看见B”这种形式的描述,那么R可能会对所看见的“红色的花”产生疑问:“谁看见了红色?”同(1)中一样,由于R′多次出现,也可能会将其作为一个固定模式用来当作一个概念,而如果R从外部学习到了“我”或“me”这样的符号,就有可能用之替代“R′”这个内部无名符号:“R′”→“我”。
这样通过二阶表征的S2状态,R就能习得“看”、“听”等对应感知通道的概念,以及“我”这个符号,因此R可以形成如下描述:
“R′(我),观察M′(看见),红色的花”
在这个表述中,“我”和“看见”全都是有接地(grounded)的符号,只是赋予了相应的名字以形成外部语言,但这个外部语言的命名与符号本身无关,两种符号都代表了R的某种认知模式。“我”这个概念代表以第一人称的角度去观察外部世界,而“看”这个概念代表了视觉通道。这种认知模式中所包含的信息是纯认识论的、客观的,不具有任何先验的主观性存在。
在此,由于解释了R如何形成“我”的概念,亦即看起来R观察到了“自己”(实际上并不是自己,因为R′并不等同于R,而只是R的一个影像或映射),因此我们将S2状态定义为“一阶自省”状态。可以看出,二阶表征状态等同于一阶自省状态;一阶自省状态是R获得自我认知的基础,没有这个状态R是无法形成“我”的概念、也无法区分视觉和听觉等感知通道的。因此,结论就是,通过二阶表征,可以得到不同感知信息通道的区分以及“我”的概念的形成。
现在考虑一个二阶表征状态S2:“R′(我),观察M1′(看见),红色的花”,如果接下来R保持在M0上,等待一段时间后M0的内容刷新了,即等待时间超过了C0到M0的延时,则R会在M0上看到“R′正在观察M0”,假设R的短时记忆此时仍然保持了S2状态中的全部信息:“R′、M1′、红色的花”,按前文定义,这个状态为三阶表征状态S3:
S3:{R′,M0′;R″,M1″,红色|R,M0,T3}
与利贝特实验中描述的情况类似,(R′,M0′) 这个模式只会在S2状态之后R继续观察M0时(亦即在三阶表征状态S3中)才会出现。
按照利贝特实验中的讨论,R在S2状态下将(R′,M1′)这个模式命名为“我看见”,而在S3状态下的R″是源自R从S2状态下保存在工作记忆中的概念信息,即“我”。类似的,如果R多次进入S3状态,那么可能会总结出这样的因果关系:只有 (R′,M0′) 出现了,(R″,M1″,红色) 才会出现。这个规律同样有两个方面需要解读:
(1)M0′的存在是 (R″,M1″) 出现的必要条件,如同“观察M1′”被命名为“看”、“观察M2′”被命名为“听”一样,R也可以把“观察M0′”命名为“知道”(这个“知道”的语义仅仅包括自我觉知产生的知识),即“观察M0′”→“知道”。
(2)按照利贝特实验中S2状态所获得的经验,则R有可能同样把R′命名为“我”,即:“R′”→“我”。
因此,S3这个状态就会被R做如下解读:
“我(R′),知道(M0′),我(R″),看见(M1″),红色”
在S3状态下,M0中仍然有一个R′的信息,这个R′与R″是不同的符号,因为它们诞生自不同的状态下。但由于R″这个信息是R保留在工作记忆中的符号性信息,即“我”,那么R很有可能无法区分R′和R″,即R的“我知道我看见红色”这个命题中两个“我”的语义是不同的(因为具有不同的符号接地),但R无法区分之。当“我知道我XXX”这个模式重复出现时,R可能会通过学习,用一个特定的符号,即“自己”或“self”,来代替该模式下作为宾语的后一个“我”,即变成:
“我(R′),知道(M0′),自己(R″),看见(M1″),红色”
在此,“自己”、“self”这个概念,不仅包含第一人称的主体的语义,更包含了一个该主体即作为主格又作为宾格的模式、以及在宾语上的位置,而这正是我们日常生活中对“自己”这个概念的使用方式。因此,通过三阶表征可以得到自我(“自己”、“self”)概念的形成。
在这个论述中,我们使用了另一个假设,即R无法区分R′和R″,这两个符号的差别,正是在于时间上,基于我们的假设N2,在异步自省的过程中,它们处于不同的时间,也拥有不同的状态属性(观察M1′或观察M0′),但在R形成自我概念的过程中,无法区分R′和R″是前提假设,因此,有必要对此前提假设提出检验:
N3:主体在自省过程中无法区分一阶表征和二阶表征在时间上的差异,有某种认识论上的原因造成了这一点。
我们知道,心灵哲学理论者们普遍认为获得一阶表征的同时主体也获得了二阶表征,即“当我看到红色的花,在同一时间我也知道我看到了它”。如果假设N3成立,那么这必然是一个普遍存在的错觉,这个错觉必然有认知、神经上的某种原因,我们将在3.2.3小节进一步提出相关的证据来验证这一点。
现在来进一步分析四阶及以上表征状态的情况。按照之前的讨论,四阶表征状态是可以想象的,其内容将是如下形式:
S4:{R′,M0′,R″,M0″;R‴,M1‴,红色|R,M0,T4}
而如果R按照之前的方式对其进行解读,那么将会被解读为:“我知道自己知道自己看见了红色”。
理论上,这个自省可以无限进行下去,然而,首先根据目前的心理学理论,工作记忆的容量是有限的;其次,按照利贝特实验分析论述,在二阶表征(一次自省)状态下,R可以获得“我”的符号和感知通道的信息,在三阶表征(二次自省)状态下,R可以获得“自己”的信息和“我知道”的模式。但从四阶开始,其使用的概念与三阶表征下使用的概念并无差别,R不会因此获得新的信息或习得新的概念。因此,四阶及以上表征状态,虽然是可能存在的、可想象的,但不具备实际意义。这一结论与我们生活经验相符,生活中我们极少会使用超过“我知道自己XXX”之上的更复杂的类似“我知道我知道我XXX”的表述。
为了深入分析异步自省模型,让我们回到先前所述,M0所显示的画面,不能与C0拍摄到的画面同步,必须要有一个延迟,否则R将无法通过M0形成自省状态。若R在T1时刻进入一阶表征状态S1,那么一定要在另一个时刻T2才能进入二阶表征状态S2,这一点称为异步自省模型的“延迟”特性。
按照本小节开头描述的场景,T1时刻,R的状态为S1:{红色|R,M1,T1},其中“红色”为表征对象(意向内容);T2时刻,R的状态为S2:{R′,M1′;红色|R,M0,T2},其中,“R′(我)”、“M1′(看见)”、“红色”为表征内容。可以看出二阶表征状态的表征对象信息,正好与一阶表征状态下系统的信息相符合,而这也符合高阶表征的一般性定义“以自身精神状态为表征对象的状态”。也就是,二阶表征的内容是一阶表征的状态,三阶表征的内容是二阶表征的状态。而如果把一阶表征状态的表征对象(红色)定义为“零阶表征状态”(即尚未成为表征的外部信息),那么也可以认为一阶表征的内容是零阶表征状态,因此可以得出:异步自省过程中,在任何时刻,意向对象永远是比本身当前表征状态低一阶的表征状态。这一点叫做异步自省模型的“降阶”特性。
换言之,R永远不可能觉知到自己“当下”在做什么,R所觉知到的,永远是它在过去某一个时间点的状态;而R在任何时刻通过自省获得的自身状态,永远比自身当下的状态低一阶。
延迟特性与降阶特性是“异步自省”本质上的两种表现。这种延迟/降阶特性对于论述“我”与“自我”概念的形成是至关重要的,正是由于R在时间上混淆了R与R′、R′与R″,才能将R′当作一阶表征的主体、将R″当作二阶表征的主体,才能形成“我”与“自我”的概念。在此,由于实际上不同阶表征处于不同时间,因此不存在循环指涉和无限退行的问题,在计算上是可能的,我们需要验证的只是人是否真的存在这种时间上的混淆。
那么,在这样的异步自省过程中,现象意识的主观性体验又是如何形成的呢?当R处在一阶表征状态S1时,可以直接地从M0中获取关于“红色”的信息;而当R处于二阶表征状态S2时,它获得了关于“我看见红色”的认知。然而,由于在T2时刻R观察的是M0,实际上已经失去了从M1中获取直接的视觉信息状态,此时R所保有的“红色”的信息,是它的短时记忆中所保留的符号性信息。
然而,按照之前的描述,R应该是无法区分T1和T2两个时间点的,即R会认为S1和S2是同时产生的,亦即R会认为“我看见了红色的同时知道了我看见了红色”。这一现象也符合我们的常识以及高阶理论者们的判断。
因此,R如果对S2状态进行思考(当然这需要二次自省,亦即三阶表征状态,此中详细过程暂且不论),就会认为:“我看见了红色”、也会认为自己拥有从M1中所获取的所有细节信息的读取能力。但由于R实际上此时已经失去了从M1中直接获取视觉信息的状态,因此可能会觉得“我无法用语言表达我所看见的东西”。R能够报告“我看见了红色”所依赖的状态是S2,而报告“红色”的内容依赖的状态是S1。
如果R不对一阶和二阶表征状态进行混淆,那么可能会这样报告:“我刚才看见了红色,但我现在已经忘记了它的细节”,而当R混淆了S1和S2之后,这个报告就会变成“我现在看见了红色,但我无法描述它的细节”。因此,R会认为自己获得一个“无法言喻的”(ineffable)的信息,而这正是我们所熟知的现象意识的特性之一。尽管这个信息是源自“红色”这一客观信息,但R会认为这跟自己在S2状态下所觉知的关于“红色”的信息并不一样,因此就会认为这是一种本质的、主观的体验,以区别于客观的信息本身。
因此,R可以在二阶自省状态下产生一种一阶表征信息“可理解不可描述”的认知,由于二阶表征状态的描述中包含“我”这样的概念,本身就包含了主观性;而显然按照设定M1显示器是只有R可以看见的——那么最终R会对一阶表征“红色”产生一个“主观的、可理解的、不可描述的、私密的”认知,这就解释了现象意识概念产生的原因。
2. 异步自省神经网络
2. 异步自省神经网络
意识研究的终极目标之一,就是要实现机器意识。对于以自然主义为基本立场、以认知理论为基础的意识理论,用机器实现之,既是终极目标,也是检验方法。从哲学思辨到科学理论,再到工程实现,其中存在着巨大的思维方式差异。一个抽象的理论,无论看上去多么完美,在工程实践中都可能遇到各种意料之外的困难与障碍,甚至其理论阶段无法发现的错误,在工程应用阶段都可能被很容易地发现。因此,对于机器意识,计算性地实验验证是必不可少的。
比如,在心理学上,“人可以理解自身”是一个常识,而这一点在心灵哲学上,就理解成了“人可以觉知自身当前的状态”。于是人工智能研究者们曾经尝试着设计“可以理解自身的机器”,然而在工程实践中被一个简单的“停机问题”给难倒了,停机问题的表述和证明过程都极其简单,却打破了人工智能研究者们设计“自我认知的机器”的梦想。这一方面说明当时的意识理论不够完善,另一方面也说明工程实践对于理论验证的重要作用。
在前面一个小节中,我们提出了一个完整的意识异步自省理论。在这一小节中,我们将进一步提出一个自省神经网络的实验,让一个机器运行的程序报告自身的状态,以此来验证异步自省理论的可行性。
我们提出的异步自省理论,其基本框架借鉴了高阶表征理论的概念。诸如“意向性”、“表征”、“自省”等等。而这些概念是哲学概念,为进行实验验证,必须将这些相关的哲学概念与实验中的计算概念联系起来。
首先,“表征”指的是“意向性”的概念,即心灵哲学中的“关涉性”,但同时这个术语本身又包含了有“意识”的语义,其指的是“心灵对外部世界的关涉性”。而从自然主义立场出发的理论、以及以计算为基础的实验设计角度来说,不可能预设一个先验“心灵”的存在。因此,在此定义:任何具有关涉性的信息表示,即称之为“信息性表征”。比如照相机拍摄了一朵花,那么关于那朵花的图片,即成为花的信息性表征;另一方面,照相机拍摄的过程由快门控制,那么快门本身即成为了拍摄过程的表征。
在计算机器中,信息表示可以有很多种不同的方式,比如在符号式推理系统中使用的谓词、在文档中使用的字符、在图片中使用的像素、在声音文件中使用的波形,等等。而在人工智能领域,人工神经网络是一种常用的信息表示方式,其运算能力与图灵机等价。神经网络中神经信号的信息表示具有泛用性,同时神经网络还具备模糊计算、非线性拟合等功能。因此,为不失一般性,我们使用神经网络来做为基本的计算模型。此处只对理论进行可行性验证,使用神经元来表征经过预处理的二值化符号,因此不涉及训练算法。
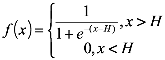
常见的神经网络机制是:利用单个神经元的非线性激发函数,经过多层或反馈式网络组合,以达到非线性拟合能力。常用的神经元模型为感知器模型,其输出Y=f(∑Xi),其中Xi为单个神经元的第i项输入,f()为激励函数,常见的激励函数有阶跃函数、线性函数、Sigmoid函数等。
为了模拟人类意识中的控制与切换功能,我们提出一种新的模拟神经元:三元神经元。三元神经元基本定义为:有三个端口,一个输入端口,一个输出端口,一个控制端口,如图3-7所示。

图3-7 三元模拟神经元结构
三元神经元的输出计算公式为:

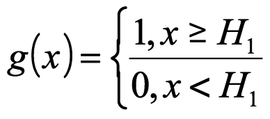
其中Y为神经元输出,Xi为神经元输入,f为数据激励函数,Ci为控制输入,g为控制函数。激励函数f一般采用Sigmoid函数:

其中H为阈限。g采用阶跃函数:

其中H1为控制端阈限。
这样可由控制端的输入来控制输出端是否有输出,由数据端的输入来决定具体的输出值。当控制端的阈限H1小于0且没有输入时,其表现与普通的模拟神经元无差别;而当控制端阈限H1大于0时,控制端无输入的情况下输出端输出将为0。
使用三元模拟神经元组成三元模拟神经网络(Ternary Neural Network)时,神经联结分为两种类型,一种是连接到下游神经元的数据端,另一种则是连接到下游神经元的控制端,如图3-8所示,图中A1、A2、A3为B1的数据输入神经元,而C1为B1的控制神经元。

图3-8 三元神经网络示意
为了测试异步自省架构,需要以下几个基本条件:(1)某种感知输入及处理功能,在此选用视觉功能作为感知输入;(2)语言输出功能,使用一个固定符号集L来输出,符号集中的每一个符号都对应于感知输入的某一个概念或自身状态的某一个概念;(3)自省处理功能,为该系统的核心功能,应能够达成一阶层次自省及二阶层次自省。因此,构建设计异步自省神经(Asynchronous Introspection Neural Network)网络的测试程序基本框架:视觉处理→自我认知→语言输出。
为简化处理过程,将视觉处理所得符号作为符号集L的一部分。整个程序功能将分为神经网络与非神经网络两部分,神经网络部分负责主要的认知功能,而非神经网络部分负责感知信息的处理、语言信号的交换、以及注意力控制的唤起。
在神经网络部分,需要一个工作记忆模块来存储对应的符号;为了控制一阶表征状态与二阶表征状态的切换,需要一个注意力控制模块;为了监控自身状态,需要一个监控模块;为了达成异步自省而非同步自省,需要一个监控模块的记忆模块。在非神经网络部分,除了视觉处理和语言输出模块之外,还需要一个注意力唤起模块,用于从外部发布控制信息,以模拟人的情感控制。由于实验需要验证的是自省与自我报告功能,因此我们采用非涉身性的模式,注意力控制从神经网络外部完成。但除此之外,理论上不应该有其他对神经网络运行过程的干涉,其整个运行过程应自动完成。详细的测试软件系统框架,如图3-9所示。

图3-9 测试软件详细框架及流程图
在图3-9中,其下半部为神经网络运算部分,上半部为神经网络与非神经网络计算的数据接口部分。实线为数据流动,其末端连接到对应三元模拟神经元的数据输入端;虚线为控制信号流动,其末端连接到对应的三元模拟神经元的控制端。“视觉处理”模块对应于机器人监控员模型中的显示器M1,“状态监控”模块对应于机器人监控模型中的顶部摄像头C0,“状态记忆”模块对应于机器人监控模型中的显示器C1。“注意控制”与“工作记忆”一起构成了机器人R。
在图3-9所示的框架中,感知(视觉处理)、状态记忆、工作记忆三个模块带有记忆功能,可保持各自模块的信息直到刷新。兴趣唤起模块直接处理外部命令,当外部输入“look”命令时,兴趣唤起模块发出对应于视觉模块的控制信息。注意控制激活视觉模块,视觉信息被传输到工作记忆中加以保存,同时注意控制模块的状态(即对应于“看”的动作的神经状态)被状态监控模块传输给状态记忆模块保存。当外部输入“what”命令时,注意控制模块在兴趣唤起模块的控制下激活状态记忆模块,使其中保存的内容被传输到工作记忆中;与此同时,将这一运算周期内的注意状态(即对应于“自省”动作的神经状态)传输给状态记忆模块保存,而同时语言生成模块将当前工作记忆中保持的信息转换为语言符号并生成语音。
在图3-9的框架中,语言生成只是简单的符号对应,每一个词或短语对应一个符号,而每一个符号对应于一个神经状态。语言生成模块只是简单地对系统状态进行监控和报告,而本身不处于注意模块的控制之下,只是以无意识的、自动方式运行。作为演示,目前框架中的感知模块只有一个视觉通道,但作为一个完善的认知系统,不仅应该包含多种可由注意选择的感知通道,同时语言功能也应该处于注意的控制之下。甚至在每种感知、思维功能中更为细分的子功能也应是注意可控制的范围。但是为了简化问题,我们这里只对注意控制的模块切换、及注意控制的自省报告功能进行可行性研究,以验证异步自省理论的可行性。
在机器人监控模型中,显示器之间是互斥的,机器人R在任何时刻只能观察一部显示器;与之对应,在图3-9的自省神经网络框架中,“视觉处理”和“状态记忆”模块由“注意控制”模块所控制,只能激活一个,其中的神经元控制阈限设置为正值(0.5);非激活状态的模块因其输出神经元的控制端输入为0,其输出固定为0;只有在注意控制模块发出对应的激活信号之后,才进入激活状态。在激活状态,各模块的运行状态与普通的模拟神经网络一样,只是会经过一个周期运行之后,再次回到非激活状态。
“工作记忆”模块中每个神经元代表可生成语言的符号集L中的一个符号,其来源有两个部分,一是视觉信号,二是状态记忆,进入工作记忆即代表着形成表征。由于注意控制是信号进入工作记忆的“开关”,因此“注意控制”模块的状态即构成了相关性,“注意控制”与“工作记忆”的状态共同构成一个表征状态。
“注意控制”模块输出会在沿虚线进入“视觉处理”模块或“状态记忆”模块的同时,沿实线进入“状态监控”模块。在机器人监控员模型中,机器人R不能看到顶部摄像头C0;类似的,对应于顶部摄像头的“状态监控”模块状态不会直接进入工作记忆,而是进入“状态记忆”模块进行短时间存储。状态记忆模块的内容在自省时进入“工作记忆”模块,即形成表征,而“状态监控”模块的内容并不能被实时传输至“工作记忆”模块。由于“状态监控”模块对应于“注意控制”模块的实时内容,而“状态记忆”模块记录了“注意控制”模块的历史内容,因此得以形成异步自省机制。
在实际运行中,神经网络按照周而复始做周期运作。“视觉控制”、“状态记忆”、“工作记忆”模块会保留当前记忆状态,直到有新的控制数据流刷新其状态。受“兴趣唤起”模块的控制,激活在注意控制中对应视觉或自省的神经元,输出一个时钟周期的信号,在激活对应模块的同时,该信号被状态记忆保存下来。整个系统实际运行周期则由“兴趣唤起”模块控制,在系统接受外部直接命令时,发出对应的控制信号给“注意控制”模块,同时刷新相应模块的记忆。
实验中代码采用C++与Python3.4编写,用C++代码生成神经网络的基础运行代码,用Python脚本调用C++神经网络代码并组合成设计中的模块,并联结形成网络。视觉处理部分使用OPENCV库编写,语言生成直接使用定义符号替换,语音生成使用微软的SAPI(应用程序接口)中的Text To Speech模块编写。整个程序在微软Windows7操作系统下进行调试,其中运行平台为Windows7.1;编译平台为GCC编译器工具集4.9.2、Python3.4;以及依赖库,包括OpenCV 3.0、SAPI 7.1、Numeric Python 1.10.2。测试软件的具体实验结果及其分析如下。
(6)在状态(5)之后,若继续输入命令“what”,则程序重复回答“我知道我看见了红色三角形”。
在上述系统运行过程中,状态(1)对应于一阶表征状态,只是处理外部信息,而没有进入自省过程;状态(3)为一阶层次自省后的二阶表征状态,其报告内容即为(1)中的一阶表征状态;状态(5)为二阶层次自省、三阶表征状态,其内容为(3)中的二阶表征状态;状态(6)为四阶及以上的表征状态,依据利贝特理论所述启示,属于无实际意义,亦不影响异步自省的状态。
实验结果表明,异步自省理论具备计算上的可操作性、且异步自省神经网络的运行结果与异步自省理论的描述基本符合,从而验证了异步自省理论在理论上的推导。可以认为,上述实验同时也验证了我们所提出异步自省机制的基本特性。
3. 异步自省理论评述
3. 异步自省理论评述
综上所论,我们给出了一种意识异步自省理论的完整论述。通过脑科学与心理学已知结论的比较可以看出,异步自省理论的描述,与现有科学理论是相吻合的。具体来说,利贝特的意识状态延时研究以及主观体验时间回溯理论分别验证了异步自省假设N2、以及一二阶表征混淆假设N3。而施佩林的视觉记忆实验,对现象意识“不可言喻性”的讨论,以及“本体错觉”认知实验,验证了关于自身获得了某种感知体验可能是种错觉的推论。
特别是对于利贝特的意识状态延时研究,与我们提出的异步自省理论进行比较,不难发现:异步自省理论的延迟特性与利贝特的意识状态延时结论相吻合,即二阶觉知状态相比一阶觉知状态,存在时间上的延迟;“人无法分辨一阶觉知状态与二阶觉知状态”与利贝特的人无法自己察觉推论相吻合。
如果我们把利贝特实验中最初感知事件的时间(0ms)称为t1,把进入意识状态的时间(500ms)称为t2,把被试自己报告主观体验的时间称为t1′(t1之后10-20ms,此处用小写字母以区别于异步自省理论模型中的时间T1和T2)。那么我们可以得到如下分析比较的结果。
(a)在利贝特实验中当处于t2时刻,被试进入意识状态,这里的意识状态是指被试可以通过口头报告的状态,因此我们认为其对应于我们模型中的S2状态。按照利贝特的实验,被试从无意识状态进入意识状态需要经过一个时间间隔,视具体的感知通道可能为350-500ms不等。但经过主观回溯以后,觉知到的时间都与感官刺激发生的时间接近,这解释了为什么我们体验中的时间仍然是连续而无跳跃的(Libet,1985)。这验证了我们模型中的异步特性,即S1和S2处于不同状态,两者之间存在一个时间差。
(b)在利贝特实验中被试在t2时刻进入意识状态,然而口头报告的神经事件所引起的感受时间却在t1′时刻,这验证了我们上面的推论,即T2时刻R获得了一个关于“T1时刻主观感受”的觉知推论。在此,不能简单将T1与t1′或t1等同起来,因为我们对人脑的运作机制仍然了解不多,因此很难说清图3-2中哪个时刻的被试状态对应于S1。然而可以确定的是,二阶表征状态一定对应于t2时刻的状态,因为按照利贝特的实验,500ms之后被试进入意识状态、并获得了对特定感官刺激的“可报告”的觉知。
(c)按照高阶表征理论的一般性定义,主体必须进入二阶表征状态以后才获得了对外界感知信息的可报告能力。而按照高阶表征的基本目标,即“解释意识状态与无意识状态的区别”,一般将一阶表征状态认为是无意识感知状态。在此,就算t1或t1′并非对应于一阶表征状态,那么对应于一阶表征状态的被试状态,也一定是在t2之前,因为只有在t2之前才是无意识的,到达t2之后已经获得了对感觉刺激的意识觉知。而只要一阶表征状态在t2之前,无论在t1至t2中间哪个具体的时刻(或时间段),都不影响我们的结论,即“一阶表征状态与二阶表征状态存在时间差”。
值得注意的是,在第二节中所提到的利贝特“亮灯意识报告实验”中(Libet,1967,1973),被试对于主观感受时间的报告精度并不是突然从50%提升到99%的,而是随着刺激信号数量的提升而逐渐提升的,同时也与具体的被试有关。所有实验数据按被试报告的意识程度被分为三个等级,第三等级指被试报告“完全没有感受到任何东西”,第二等级被试报告“可能感受到了什么东西但不确定”,第一等级报告“确定感受到了什么东西”。而即使是第三等级的报告,当信号刺激密度提高到一定程度以后,被试虽然主观上并没有报告自己获得任何感受,但单组实验最高正确率达到了85%,而第三等级所有数据的平均正确率达到了66%;第二等级的单组最高正确率达到了99%,平均正确率达到了85%。
这样的实验结果可能说明在其中某些情况下被试经历了一个一阶表征状态,因此可以客观上明确地报告出感官所接收到的信息;然而并没有进入二阶表征状态,因此无法做出(第三等级)或无法明确做出(第二等级)对自身状态的报告。因为被试被要求做出的报告内容包含两种信息:第一,一阶的感知信息(即“刺激时哪盏灯亮了”);第二,二阶的自省信息(即“你是否感受到了刺激”)。后者用于判断意识状态。换言之,在获得一阶感知信息并获得处理该信息的相关能力时,并不一定进入自省状态,这从另一个方面佐证了“一阶表征状态与二阶表征状态并不同时存在”的论点。
在计算实验检验方面,我们通过“异步自省神经网络”实验,检验了异步自省理论的可行性,并检验了异步自省机制的基本特性,验证了可以在实验中制造出“延迟自我报告”以及高阶表征的特性。这样不但从计算实验的角度验证了异步自省理论的可操作性和计算可行性,也验证了意识异步自省理论的可还原性。
因此,我们认为,异步自省理论具备一定的可信度;而由于其可操作性,任何人都可以重复计算性实验、或从神经科学和心理学中寻找证据对其进行证伪,作为一个以回避了主观性而以纯客观描述为基本表述方式的理论,其具备基本的科学可证伪性,可以进一步对其批判与检验。另外,对比其他高阶表征理论可以看出,异步自省理论是自恰的。由于其从根本上回避了“同时性的自我认知”,也就回避了人工智能上无法解决的“自指”问题。
同时,我们根据基本假设得出一系列推论,并从现有的神经科学和心理实验中寻找证据。意识状态延迟和主观时间回溯现象说明,一阶表征状态与二阶表征状态的时间差异、以及主体对时间差异的错觉,是客观存在的;而视觉记忆实验表明主观体验对自身外界信息觉知状态的觉知有可能形成错觉,验证了异步自省理论中由于信息丢失而导致的主观体验错觉的存在。
一个理论是否能作为一个自然主义的解释、是否可还原,采用计算方法加以检验是终极判断手段。而对机器意识的研究来说,建立计算模型、在机器上再现人类意识,则是其终极目标。因此无论从哪个角度,计算建模和实验都是重要的。异步自省网络继承机器人监控员模型,提出了一种全新的、在计算上实现自省的方式。
在理论上,我们的异步自省假设打破了人们传统上的惯常认知,即“观察到外界的同时觉知到自身”。我们从主观现象的客观方面对这一惯常认知进行认知解释的尝试,引出了自省时间错觉假设。按照我们所提出的异步自省理论,完全自我觉知是一种错觉,人类可以一定程度上认识自身,但从机制上来说是“过去的、不完全自己的记忆”,而非“当下的、完整的自己”。这个理论不仅对“意识难问题”现象提出了一个客观的解释,也打破了“实现完整的自省才能让机器拥有意识”的误区。
按照我们异步自省理论的分析,所谓“主观性”,即第一人称“我”的属性,原本就诞生自一个异步自省的过程中,是一个某时刻的主体对过去一个时刻的主体进行内部观察过程中诞生的概念。因此主观性原本就代表了自省属性。因此我们在解决了自省计算可能性问题的同时,也解决了主观性概念澄清的问题。
另外,我们所提出的异步自省神经网络,作为一个实验设计,对于自省认知功能的理解和实现有着突破性的意义。只要抛弃“理解当下自己”的思路,让机器一定程度上认识“过去的自己”、并通过时间错觉模仿人类的认知过程,是完全可能的。
综上所述,我们所提出有关意识的异步自省理论,同时具备认知和计算上的理论意义,是对于突破目前意识理论的困境,具有重要的建设性意义。或许读者会就我们异步自省理论的假设验证提出异议,因此我们下面以答问的形式,对有关疑问进行解释,并通过与现有理论进行对比来评估我们的异步自省理论。
首先,我们就异步自省理论的假设问题及对假设条件的评估。在我们的异步自省理论中共有三条基本假设:
N1,主体认为自己拥有主观感受、并知道其内容,这是一种错觉,有某种认识论上的原因造成了这个认知。
N2:人的自省过程应该是一个异步自省的过程。
N3:主体在自省过程中无法区分一阶表征和二阶表征在时间上的差异,有某种认识论上的原因造成了这一点。
现在来回答可能会引出的一些质疑。首先,由假设N1推导出一个问题是
Q1:为何主体会“认为”自己具有主观感受?
回答:主体于一阶表征状态下,获得了关于感知信息的可达性(accessibility),以及关于感知信息概念化的抽象符号,这些信息临时保存在工作记忆中;在二阶表征状态下,主体获得了关于一阶表征状态下自身精神状态的抽象信息,以及其可达性。两个相关的一阶和二阶表征状态以一定的时间间隔相继出现,而且这二者并不相同。但,由于从一阶表征状态(无意识状态)转换至二阶表征状态(意识状态)的硬件性神经延迟,为了避免主观世界中的事件顺序出现错乱、为了维持自身对于外部世界感知的连续性,人类演化出了主观时间反馈能力。神经科学研究表明,在主观世界中,关于觉知到某一外部感知发生的时间,会被回溯至该感知发生的时刻附近。由于可报告性诞生于二阶表征状态,因此可以认为主体主观上对二阶表征状态的存在时间进行了回溯。而这导致了意识主体无法区分一阶表征状态和二阶表征状态发生的时间,并认为它们是“同时”发生的。因此一阶表征状态的内容被认为是二阶表征状态的一部分;然而进入二阶表征状态时,已经失去了对一阶表征内容的可达性,只保留了一个符号性的一阶表征可达属性的记忆。因此意识主体会认为自己拥有一阶表征内容即感知信息的可达性,但却无法真的获取到一阶表征内容的详细信息。正是这两种相互矛盾的认知最终造成了一种“不可描述但可获得的主观体验”的思维结果,因此意识主体会认为自己拥有一个“可知但不可说、可觉知而非知觉”的主观体验。
由假设N1推导出的另一个问题是
Q2:为何主体会“认为”自己能达到(access)主观感受的内容,但却无法描述它?
回答:在一阶状态下,意识主体获得了所有关于一阶表征内容(即感知内容)的可达性,可以获得并利用其中任何细节信息。这种可达性作为一个概念性的知识保存在工作记忆中,并在进入二阶表征状态时仍然保留,即在主体获得了“我看见红色”的思维时,也仍然保留了“红色能被看见”的思维,因为主体会认为自己能达到主观体验的内容。然而由于注意的独占性,进入二阶表征状态时,主体即失去了对一阶表征内容的关注,因而失去了对一阶表征内容细节的可达性;视觉思维实验也表明,从无意识状态进入意识状态,感知信息会有所缺失。二阶表征状态下主体所持有的信息只有关于一阶表征内容的符号性记忆、以及关于一阶表征内容的可达属性记忆,因此主体搜索记忆,会发现记忆中保存的一阶表征对象属性是不完全的,类似于视觉思维实验中被试在做全局报告时认为自己看见了全部字母,但无法完全回忆的状态。因此主体会认为自己对感知对象所能做出的描述并不完全,也因此认为感知对象“无法用语言描述”。
根据上述问题的回答可知假设N1是可信的。而假设N2与神经科学中利贝特时间因素研究实验结果相吻合,且利贝特的实验研究不仅验证了由无意识状态进入意识状态需要一定时间间隔,还提出事件发生时间在主观上被回溯了,这一点与假设N3相吻合。而视觉记忆实验验证了认为自己获得某种感知的认知可能是一种错觉,加强了异步自省理论的可信度。因此,异步自省理论与现有科学结论是相吻合的。
进一步,将异步自省理论与现有的各种高阶表征理论相对比,很容易发现其相互引证的部分,对现有高阶表征理论所遇到的困难,用异步自省理论很容易进行解释,而无须面临新的困难。当然,我们的解释仅仅是在认识论层面上的,并未涉及本体论层面。
对于为什么内部感知没有像外部感知一样产生主观现象属性的问题(Dretske,1995;Güzeldere,1995),哈曼的解释是知觉体验的“透明性”(Harman,1990),这一解释与异步自省理论是符合的:按照异步自省理论,意识主体产生“自己拥有了主观体验”的思维,是在二阶表征状态下获得的,而一阶表征理论下并没有具有这样的思维,也不会表现出现象意识状态。
对于高阶表征可能存在故障的问题(Sturgeon,2000):按照异步自省理论,关于一阶表征对象的信息,在二阶表征状态下仅以概念性(符号性)的方式保留于工作记忆中,而并未获得新的信息或状态,二阶表征状态所获得的新信息是关于自身而非外界感知的信息。由于工作记忆中保留关于一阶表征对象的信息(如“红色”)在一阶和二阶状态下并无不同,且都为符号性记忆,所以出错的可能性极小(人的工作记忆在一般情况下很难出错)。我们可能把红色错看成橙色,但我们极少能把“红色”这两个字记成“橙色”。
同样,二阶表征状态下所保留一阶信息的符号性特征也能对计算复杂性问题(Carruthers,2000)予以解释:人在自省时并不需要保留对一阶感知对象所有信息细节的记忆,只需要保留一个关于信息的抽象性符号记忆及相关的读取通道即可,视觉记忆实验已经说明了这一点。
对于针对实在主义高阶思维理论的“差别体验”问题(Seager,1994;Byrne,1997;Rosenthal,2005),同样由于二阶表征的符号性特征、及“通道性”特征,主观体验并不包含感知对象的所有细节,而只包含“我感受到了”以及若干抽象的信息,因此仅凭主观体验原本就不能区分两份感知信息的差异。
对于戈德曼(Goldman)所提出的针对实在主义高阶思维理论的“高阶思维本身无意识”问题(Goldman,2000),其描述正好符合异步自省理论的“降阶/延迟”特性:二阶状态的觉知对象是一阶状态,而只有进入三阶表征状态,即经过了二阶层次自省,才能觉知到二阶表征状态本身,因此“高阶思维无意识”是一个合理的现象。
对于实在主义高阶思维理论中,为何仅仅通过思维就能获得“它-像-什么”的问题,异步自省理论给出的解释是,通过思维主体能获得“我觉知到了‘它-像-什么’”的思维,而只有思维本身具备可报告性、可观察性,具备科学实证上的研究意义。而“它-像-什么”的“现象属性”这一本体论问题,异步自省理论不能做出解答。不过这并不影响异步自省理论的科学和工程价值。
对比异步自省理论和倾向主义高阶思维理论,会发现一些相似之处,即同样认为一阶表征状态下,其状态本身并未成为高阶思维的对象;而差异之处则在于:倾向主义高阶思维理论仍然认为一阶表征状态和主观体验是同时获得的,而为了解释为何并未成为高阶表征对象的一阶表征状态仍然能获得主观体验,倾向主义高阶表征理论使用了一个第三方的“消费系统”来解释一阶表征状态如何获得主观体验;而异步自省理论并不需要借助另一个系统进行复杂的解释,而是解释了“为何主体会认为自己拥有主观体验”这一客观问题。
自表征高阶理论与异步自省理论在基本设定上是互相矛盾的:异步自省理论从基础上否定了同时刻自表征的可能,也就不会导致自表征理论可能面临的自指和无限退行等问题。能够回避自指悖论,这对于机器意识的计算实现,显得至关重要。
当然,我们提出的异步自省理论也存在一定的局限性:由于从方法上完全避开了主观属性,一切对于主观属性的讨论,都是建立在“人对于该主观属性的认知思维”这样的客观形式上的。因此我们的理论不具备本体论意义上的说服力。但我们的基本目标是提出自然主义的理论,即理论需要保证物理世界在因果上的闭合性,因此回避本体论并不影响该理论作为认知理论的研究和应用价值。
尽管我们对异步自省理论进行了理论上的分析、科学上的引证和计算实验上的验证。比如基于利贝特实验中的讨论,我们可以分析异步自省过程中的一些独特的现象和属性,并将其与现存意识理论和常识进行比较印证。但必须清楚,一个理论所能解释的科学印证范围越广,则该理论的可信度越高。
因为作为一个科学理论,其本身仍具备可证伪性,可以被进一步实证检验。这种检验可包含两个方面。一是对人类意识进行的研究。从神经科学、行为学、心理学方面所发现的任何事实,都可以与该理论进行比对,以讨论该理论是否符合实验事实。若符合,则可以支持完善该理论;反之,则可能证伪该理论或存在修改的必要。二是计算性实验,我们所提出的异步自省神经网络只是初步完成了理论的逻辑验证和可操作性、可实现性验证,虽然由于实验内容较为简单,重复该实验所使用的代码必然得出同样的结论,但仍然存在将该理论整合到更大的机器意识系统中进行验证的可能。

《机器意识:人工智能的终极挑战》
“后ChatGPT”读书会启动

推荐阅读
点击“阅读原文”,报名读书会





