Nature Physics 速递:信息多样性导致网络稀疏性

关键词:复杂网络,热力学,网络密度矩阵,网络稀疏性,第一性原理


论文题目:Diversity of information pathways drives sparsity in real-world networks 论文期刊:Nature Physics 论文地址:https://www.nature.com/articles/s41567-023-02330-x
在网络中传播信息的过程中,存在多种不同的路径和方式。信息路径的多样性衡量了在整个网络结构中,信息可以通过多少种不同的途径传递。如果网络中存在多样的信息路径,意味着信息传播具有灵活性和韧性,即使某些路径受阻或失效,信息仍然可以找到其他路径传递。
最近发表于Nature Physics的这篇文章着眼于复杂网络中信息的传播与网络结构之间的相互关系。研究者们致力于揭开复杂网络稀疏性的奥秘,他们借鉴热力学的概念,运用网络密度矩阵和变分原理等数学工具,力图深入揭示复杂网络中信息路径的多样性与网络稀疏性之间的内在联系。
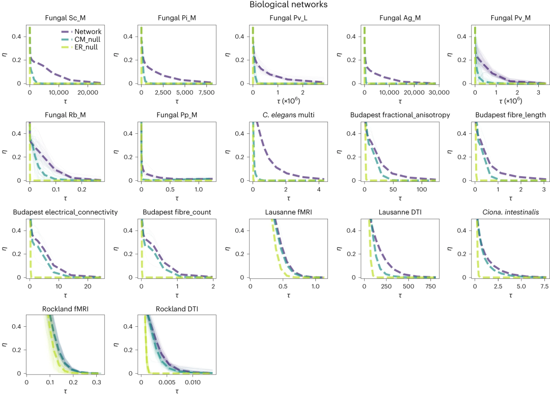
网络密度矩阵(Network density matrices)是一种描述节点连接关系的新型数学工具。密度矩阵能捕捉多个节点之间的高阶联系,使得研究者们能够更全面地理解网络结构。他们引入了一个新的指标η,用以衡量网络的稀疏性。η类似于热力学效率,较高的η能够更好地平衡响应多样性损失和信息流动增益。他们还展示这个框架如何允许我们对复杂网络的特定拓扑特征进行预测,例如它们的连通性和密度、有序与无序、异质或同质。他们通过对各种网络模型和真实网络的数值实验,验证了他们理论框架的准确性。
这一热力学框架的应用使得我们能够更好地理解为什么真实世界网络呈现出一定的稀疏性。热力学的概念为我们提供了一种全新的解释视角,通过优化信息流动和响应多样性的平衡,揭示了网络结构的内在机制。我们可以透过热力学,更全面地理解网络中信息是如何流动的,节点之间是如何相互关联的。这不仅有助于我们更好地优化和设计网络结构,还为社交学、生物学、信息科学等领域的研究提供了新的方法和思路。



高阶网络社区
详情请见:
点击“阅读原文”,报名读书会






