因果效应度量|集智百科

导语
因果效应(Causal Effect)是指当一个变量X发生变化时,它会导致另一个变量Y也发生变化。那么,因果效应强度就是量化X的变化对Y有多大的影响。它是一种客观的,建立在数学的基础之上的量化因果关系强度的指标。 因果关系是指一个事件(原因)与另一个事件(结果)之间存在的导致与被导致的关系,强调的是事件之间的逻辑联系和先后顺序,是一种定性的、结构性的关系描述。比如,“吸烟”与“肺癌”之间存在因果关系,即吸烟是导致肺癌的一个原因。 因果效应则侧重于描述原因对结果产生影响的具体程度或效果,是对因果关系在数量或程度上的量化表达,具有定量的性质。例如,某项统计显示,在相同的条件下,长期吸烟的人群患肺癌的风险比不吸烟的人高80%,这80%就是吸烟对患肺癌这一结果的因果关系程度的一种量化。因果效应能够为因果关系提供更具体、更精确的信息,帮助人们更深入地理解因果关系的本质和特征。通过因果效应的估计,可以明确原因变量对结果变量影响的具体程度和方式,使因果关系从定性的认知上升到定量的分析。
为了系统梳理因果涌现最新进展,北京师范大学系统科学学院教授、集智俱乐部创始人张江老师领衔因果涌现系列读书会,目前已经持续到「因果涌现第六季」读书会,如果你对这一话题感兴趣,非常推荐你加入社区!
“集智百科精选”是一个长期专栏,持续为大家推送复杂性科学相关的基本概念和资源信息。作为集智俱乐部的开源科学项目,集智百科希望打造复杂性科学领域最全面的百科全书,欢迎对复杂性科学感兴趣、热爱知识整理和分享的朋友加入,文末可以扫码报名加入百科志愿者!

↑↑↑扫码直达百科词条
刘易明 | 作者
目录
1. 历史渊源
2. 前提假设
2.1 变量处于同一个尺度
2.2 共因原理
2.3 独立因果机制
3. 基于维纳思想的因果效应度量
3.1 格兰杰因果
3.2 转移熵
3.3 压缩复杂性因果
4. 基于潜在结果思想的因果效应度量
4.1 个体因果效应
4.2 平均因果效应
4.3 可忽略性假设
5. 基于结构因果模型的因果效应度量
5.1 平均因果效应
5.2 干预操作
5.3 反事实分析
5.4 结构因果模型与潜在结果理论的等价性
5.5 因果效应的概率表达
5.6 其他基于概率差异的因果效应度量
5.6.1 Patrick Suppes的概率提升因果理论
5.6.2 Ellery Eells的持续性概率提升因果理论
5.6.3 Patricia Cheng的因果归因理论
6. 基于有效信息的因果效应度量
6.1 形式定义
6.2 有效性
6.3 维度平均的EI
7. 因果效应度量中的因果基元
7.1 因果关系的形式化
7.2 因果基元的形式化
7.2.1 充分性的形式化
7.2.2 必要性的形式化
7.3 因果效应度量指标的因果基元表示
7.4 总结
1. 历史渊源
1. 历史渊源
John Locke在他1690年发表的著作《人类理解论》中首次正式提出了因和果的概念:把产生观念的事物叫做原因,把所产生的东西叫做结果。在18世纪David Hume进一步发展了这个概念[1],提出因果不是事实之间的概念,而是经验之间的习惯性联想。他强调判断因果关系的三条准则:空间邻近性、时间连续性、恒常连结性。
19世纪末皮尔逊(Karl Pearson)从高尔顿(Francis Galton)那里学会并发展了建立事物之间相关性的方法[2],通过一个特定的数值(皮尔逊相关系数)来简单直观地告诉人们两个事物(或变量)之间在变化趋势上的关联紧密程度,是朝着相同方向变化还是相反方向变化,以及这种变化的相关程度到底有多大。并认为相关性足以说明事物之间的联系,完全不需要在数学中定义因果关系,因果关系只是相关性一个特例。随着这种观点在学术界的流行,因果以及因果关系的研究被压制了将近半个世纪。
现代因果关系研究的新曙光出现在20世纪20年代,其代表人物是美国科学家杰西·内曼(Jery Neyman),内曼研究了随机对照试验 (RCT),并且指出从随机对照试验中发现因果关系的可能性和必要性,并提出了“潜在结果”的思想[3],潜在结果的思想是对于每个人或事物在面对不同情况(比如做与不做某件事、接受不同处理等)时都有相应的可能结果,但通常我们只能看到实际发生情况对应的那个结果,其他没发生情况对应的结果就是潜在的,我们可以通过一些方法来推断这些潜在结果以及不同情况带来的影响差异。由于研究结果是用波兰文发表的,所以当时并未引起关注。内曼关于“潜在结果”的思想,被唐纳德·鲁宾 (DonaldRubin) 于1972年再次发现[4],并且加以丰富和提升,提出了形式化的“鲁宾因果模型”或称“潜在结果模型”,它是当前因果分析的重要模型之一,在这里鲁宾也首次正式提出和定义了因果效应的概念。
克莱夫・格兰杰(Clive W.J. Granger)于 1969 年提出了一种用于分析基于时间序列的变量之间因果关系的方法[5],它的定义是在时间序列情形下,对于两个变量X、Y,若在包含了变量X、Y的过去信息的条件下,对变量Y的预测效果要优于只单独由Y的过去信息对Y进行的预测效果,即变量X的过去信息有助于解释变量Y的变化,则认为变量X是导致变量Y的格兰杰原因,X和Y的这种关系就被称为格兰杰因果关系。
Patrick Suppes在1970年的著作[6]中首次将概率引入因果分析,提出如果变量X是变量Y的原因须满足X先于Y(时序性)和X能提升Y发生的概率这两个条件。Suppes的框架为后续研究奠定了基础,但未严格区分关联与因果。Eells 在1991年的著作[7]系统论证了因果关系的概率本质,强调因果解释需结合背景条件。Patricia Cheng的因果归因理论(Causal Attribution Theory)[8]在此基础上排除了背景条件的干扰,能够得到X独立于背景因素时对Y的净因果效应,使其更接近真实的因果效应。
朱迪亚・珀尔(Judea Pearl)在 1995 年提出的结构因果模型(Structural Causal Model,SCM)[9],这是一种以有向无环图和结构方程为基础,通过清晰描绘变量间因果结构、进行反事实推理和因果效应估计的因果分析工具,可以用来帮助人们理解和分析变量之间因果关系,广泛应用于多个领域。珀尔在此基础上又提出了因果分析框架[10],为因果分析提供了一套系统的、形式化的理论和方法体系,将因果关系划分为关联、干预、反事实三个层级,使得因果推理更加精确和实用。朱迪亚・珀尔通过结构因果模型(SCM)和Do演算将概率方法形式化[10],解决了混杂偏倚问题。
Giulio Tononi 和 Olaf Sporns 在2003年提出有效信息 (EI)的概念[11],这一方法继承了SCM对干预的重视,它通过干预实验来排除其他因素的影响,通过比较干预前后状态之间的互信息来量化因果效应。到了2013年,Giulio Tononi的学生Erik Hoel等人将有效信息这个概念进一步提炼出来,用来度量马尔科夫动力学的因果效应强度,并提出了因果涌现理论[12]。传统的EI主要被用于具有离散状态的马尔科夫链上,到了2022年,张江与刘凯威结合Erik Hoel等人的因果几何理论探讨了EI在连续状态变量的函数映射上的一般形式[13][14][15]。然而,它存在着一个缺陷,由于实数域上变量的均匀分布严格讲是定义在无穷大空间上的,为了避免遭遇无穷大,EI的计算中就会带着一个参数L,表示均匀分布的区间范围。为了避免这个缺陷,也为了在不同粗粒化程度上比较EI,作者们便提出了维度平均EI的概念,维度平均EI也可以看作是一种归一化的EI,即Eff。
2022年Erik hoel发表的一篇论文中[16]总结了各类因果度量方法中存在充分性和必要性这两种名为“因果基元(Causal Primitive)”的相同基本属性。研究者们不再需要找到一个必须达成普遍共识的唯一因果关系衡量标准,而是可以通过关注这些相同的基本属性继续理解其他因果现象。
2. 前提假设
2. 前提假设
在现代的因果关系研究中[17],人们都是使用数学语言将因果关系量化为因果效应,这样才能把对因果的研究建立在一个客观和科学的基础之上。数学的推理都是从公理或基本假设出发的,因此因果效应的度量也有着它的前提和基本假设。
2.1 变量处于同一个尺度
自然界的现象很多,从量子到宇宙,从微观到宏观,就算同一个现象也可以具有不同量级的尺度视角。一般而言,因果关系是指同尺度下不同现象之间的关系。例如对于疾病的研究我们一般是从分子水平或者病菌水平考察与疾病的关系,尽管从根本上说疾病总是与物质的量子行为有关,但是因果关系不会从这个角度来研究,这种在同尺度下比较的相互关系奠定了因果关系的基石,同样道理,因果效应的度量也是在同尺度下的两个变量之间因果关联强度的度量。
2.2 共因原理
共因原理 (common cause principle,CCP):如果两个可观察变量X和Y在统计上是关联的,那么就存在一组变量U (也可能是X或者Y),它会对这两个变量产生共同的影响。这一条也经常被解释为“每一个关联关系背后都有某种因果关系”,如“冰淇淋销量高-犯罪率高”的例子,在冰淇淋销量高和犯罪率高关联的背后,一定有第三个变量,即气温,使得在表观层面上两个毫无瓜葛的现象产生了强烈的关联,气温就是冰淇淋销量和犯罪率之间的共同原因。共因原理的理论基础是拉普拉斯提出的“决定论”以及爱因斯坦等提出的“隐变量理论”,这两个理论认为因果关系是具备确定性的,因必然导致果,其中出现的一些误差或者不确定性是由未知变量(隐变量)造成的。因果效应的度量也遵循共因原理,共因原理也是不同原因和结果变量之间因果效应的大小存在差异的原因之一。
2.3 独立因果机制
独立因果机制 (independent causal mechanism,ICM) :它是指不同的因果关系之间相互独立的机制。假设我们有变量X导致变量Y,以及变量Z导致变量W,这两种因果关系之间的变量XY和ZW是相互独立的,无论XY的因果关系怎么变化都不会影响ZW之间的因果关系。这意味着因果关系具有稳健性、不变性和可重复性。例如太阳每天都会升起落下,这个因果关系就很稳定,不会因为今天路上车多了,太阳升起落下的规律就变了。因此,ICM允许把样本中的每个个体的因果关系看作独立事件,从而降低了计算因果效应需要的样本数量、模型规模和建模时间。例如在医学中,一项手术对于某个患者的治疗效果不会因为其他患者接受手术的情况而变化,一些细心的读者可能会想到,有些患者在看到别的手术出现不良效果时情绪产生波动、从而影响了自身的手术效果,在这种情况下,所考虑的原因变量要增加一个,即情绪。在新的变量环境下,手术的效果还是独立的 (当然与不考虑情绪是有区别的)。不考虑患者的情绪,手术效果完全取决于手术本身。考虑患者的情绪,则手术效果取决于手术和情绪。在这两种情况下,系统都是独立的,不受外部影响的。也就是说,一项治疗措施对一个患者的效果,只和这个患者自身的情况有关,和其他患者以及非患者都没关系。所以,我们在研究时,只需要收集和这个患者有关的数据就可以了。
3. 基于维纳思想的因果效应度量
3. 基于维纳思想的因果效应度量
在现代社会,数据易于获取且数量庞大。此外,为了推断某些类型的因果关系,进行干预实验可能会很困难或根本不可能。因此,越来越多的研究正在使用观察性的,基于时间序列数据的因果效应度量方法[18]。它们都是根据诺伯特·维纳(Norbert Wiener)提出的思想[19]:“如果一个变量X导致另一个变量Y,那么X的过去值应该包含有助于预测Y的信息,且这些信息超出了仅包含在Y过去值中的信息”。该思想是一种从时间序列数据度量因果效应的简单而优雅的方法。
下面的三种方法都是基于此思想,下面阐述每种方法背后的思想。

3.1 格兰杰因果
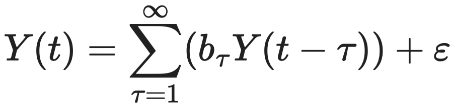
格兰杰因果(Granger Causality,GC)是一种基于预测的因果关系统计概念。这是第一个直接基于维纳思想的方法,因此它通常被称为维纳 – 格兰杰因果关系[20]。要检查一个过程X是否格兰杰导致另一个过程Y,需要为Y建模两个单独的自回归过程以供考虑:
(1)
(2)其中t表示任意时间点,aτ、bτ、cτ是滞后τ时的系数,εc、ε是两个模型中的误差项。假设X和Y是协方差平稳的,X是否导致Y可以通过预测误差方差的对数比来判断:
(3)这个度量被称为F – 统计量。如果由方程(1)表示的模型比方程(2)更适合Y(t),那么var(εc)<var(ε)且FX→Y将大于0,这表明X格兰杰导致Y。尽管这种因果关系概念使用自回归模型,但由于模型的通用性质对潜在机制做了最小假设,因此该方法广泛用在基于观察性数据的因果效应度量中。
即如果F>0,则存在X到Y的因果关系,否则不存在,且F的大小即因果效应度量。
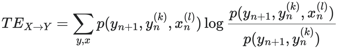
3.2 转移熵
转移熵(Transfer Entropy,TE)量化过程X对过程Y的转移概率的影响[21]。它衡量,假设变量Y的当前状态yn+1与变量X的过去状态
独立时(即假设其分布为
)而不是
)需要付出的信息量的多少。这里k和l分别表示Y和X的过去状态的数量,过程Y的任何状态yn+1的概率分布依赖于这些过去状态。数学上,
(4)如果Y和X是独立过程,那么对于所有
,因此上述状态数量将为零。直观地说,TEX→Y捕捉了从过程X到过程Y的信息流。一般来说,TEX→Y≠TEY→X。
3.3 压缩复杂性因果
像GC和TE这样的度量假设时间序列数据中“原因”和“结果”样本具有内在的可分离性,因此只能估计因果关系之梯中的第一层级的关联因果关系。然而,很多时候,原因和结果可能在测量数据块(Chunks,指时间序列中连续的一段数据)或单个测量值中同时存在。这可能是动力学过程的固有性质,或者是由于采样尺度与因果动力学的时空尺度不同(例如,在测量采集期间)导致的结果。在这种情况下,关联因果关系度量是不合适的。例如城市里某条街道的车流量(时间序列 X)和附近停车场的空位数量(时间序列 Y),它们随时间变化的数据就形成了时间序列数据。假如先有车流量增加这个 “原因”(X 中的某些数据变化),之后才会有停车场空位减少这个 “结果”(Y 中的某些数据变化),车流量和停车场空位数量之间有某种统计相关性,而且能很明显地把它们在数据里区分出来,那就说明这些样本具有内在的可分离性。
还是拿刚才的例子来说,如果我们测量车流量和停车场空位数量的时间间隔不合适,或者这个城市交通状况很复杂,比如刚好在测量的这段时间里,有大型的活动导致很多车辆同时到达和停放,那在同一时间段的测量数据块里,或者甚至在某一个测量时刻的数据中,可能既包含了车流量增加这个 “原因” 的信息,又包含了停车场空位减少这个 “结果” 的信息 ,它们就重叠在一起了。这时候也就没办法确定到底是车流量变化导致了停车场空位变化,还是有其他因素同时影响了两者。在这种情况下,使用像GC和TE这样的度量方法是不合适的。
压缩复杂性因果关系(Compression Complexity Causality,CCC)是2019年提出的一种因果关系度量[22],它不做关联因果关系度量(如GC和TE)所做的可分离性假设。CCC通过假想的“干预”来评估X对Y的因果影响:假设X导致Y,它会将X的过去信息插入Y的时间序列中,观察Y的动态复杂性如何变化。当无法对变量实施真正的干预时,这种假想的“干预”是对数据能做的最好操作。因此,CCC属于因果关系之梯的第二层级(干预因果关系)。
在CCC的情况下,时间序列数据块的压缩复杂性是基于压缩难度(Effort to Compress,ETC)来计算的[23]。ETC的计算基于无损压缩算法(如Lempel-Ziv-Welch, LZ77),直观的理解就是越复杂的时间序列(如随机噪声)越难被压缩,所需的计算步骤(或迭代次数)越多;而简单的序列(如周期性信号)更容易压缩,所需难度更小,ETC的值就是压缩过程中所有迭代步骤的操作次数总和。
为了将CCC从X估计到Y,我们计算CC(ΔY|Ypast)——时间序列Y的当前数据窗口ΔY在其历史信息Ypast条件下的动态复杂性,CC为条件压缩复杂性。将其与CC(ΔY|Ypast,Xpast)——ΔY在Y和X的过去(Ypast,Xpast)共同条件下的动态复杂性进行比较。数学上,

其中:
公式5是为了计算单独用Y的历史信息Ypast预测当前窗口ΔY时,所需的条件压缩复杂性增量;
公式6是为了计算同时用Y和X的历史信息预测ΔY时,所需的条件压缩复杂性增量。
公式7是为了计算X的历史信息对降低Y当前数据窗口ΔY压缩复杂性的贡献。
在整个时间序列长度上,随着窗口ΔY以步长δ滑动,从Y到X的平均CCC估计为:

总结一下,动态复杂性指复杂系统在时间演化中表现出的不可预测性和非线性行为,是一种定性描述,压缩复杂性是动态复杂性的一种量化指标,通过条件压缩复杂性的差值计算,条件压缩复杂性通过ETC计算。
4. 基于潜在结果思想的因果效应度量
4. 基于潜在结果思想的因果效应度量
潜在结果思想是指给定一个研究对象和一系列可能的干预措施,把研究对象在不同干预措施下的结果定义为不同的“潜在结果”。由于在实际中我们无法同时观察到同一个对象在接受干预和不接受干预时的结果,所以这些潜在结果是理论上可能发生但实际未被观察到的结果,也被称为反事实结果。这个思想是内曼(Jery Neyman)在1924年的一篇论文[3]中首次提出的,并讨论了利用随机对照试验(Randomized Controlled Trial,RCT)和重复抽样推断的统计方法解决不同的潜在结果无法同时观察和比较的问题,为因果效应的研究提供了数学框架。鲁宾在1970年代完善了潜在结果思想,并系统化的提出了鲁宾因果模型(Rubin Causal Model, RCM),将潜在结果思想泛化到非实验场景,仅通过观察性数据就可以研究各变量间的因果效应。
4.1 个体因果效应
对于每个个体,为简单起见、假设所有的因素都只有两个状态 0 和 1,如用 X 表示是否服药,X=0 表示不服药,X=1 表示服药,则 Y(1) 表示个体服药时的结果,Y(1)=1 表示个体服药而痊愈。 Y(0) 表示个体不服药时的结果,Y(0)=1 表示个体不服药而痊愈。 实际中只能观察到其中一个结果,另一个为潜在结果。
个体因果效应(Individual Causal Effect,ICE)定义为上述两种结果之间的差异:
ICE=Y(1)−Y(0)
但由于无法同时观测到两者,ICE通常不可直接计算。所以就需要利用随机对照试验(Randomized Controlled Trial,RCT)和重复抽样推断的统计方法得到平均因果效应。
4.2 平均因果效应
若
表示不服药的期望痊愈率,
表示服药的期望痊愈率。这时,总体的平均因果效应(Average Causal Effect,ACE)定义为:

记作 ACE(X→Y) 。
4.3 可忽略性假设
如果观察性数据中既有病人不服药的情况,也有服药的情况,同时也包括其他一些变量,例如病人的生理指标 (血压、肝脏等) 和自然属性 (性别、年龄等),这些变量称为协变量,协变量虽然不会直接决定病人的痊愈,但是会影响病人的痊愈。
如果存在协变量集合Z={Z1,Z2,⋯,Zk},使得对于任意的取值z=(z1,z2,⋯,zk),zi∈Zi,不服药的痊愈率P(Y(0)=1|z)和服药的痊愈率P(Y(1)=1|z)都与服药与不服药的人数比例无关,即服药与不服药的痊愈率不依赖人群的服药分布X。用统计的语言说,就是在条件Z下,联合分布{Y(0),Y(1)}独立于X的分布,即:
{Y(0),Y(1)}⊥X|Z
⊥表示独立,则该公式称为可忽略性条件。
再假设服药和不服药的两个组都不为空(即P(X=1)>0,P(X=0)>0),该假设称为正性假设,满足正性假设的可忽略性条件称为强可忽略性条件。在强可忽略条件成立的情况下,因果效应
−
是可以从观察数据中计算的,假设对于一个具体的患者,已经知道在服药的情况下可以痊愈那么希望知道若他不服药也能够痊愈的概率,即已知Y(1)=1,希望计算P(Y(0)=1),这就是所谓的反事实推断。由于在现实世界中,对于一个个体,不可能同时观察到状态Y(0)和Y(1),因此 Y(0)是假设的,这个假设状态所引起的Y的变化称为“潜在结果”,因此该方法有了“潜在结果方法”的名称。
现在假设有变量集合Z既影响X(服药与否),又影响Y(痊愈与否)。现在固定Z(以Z为条件),就切断了X与Y通过Z的关联,这时P(Y)只与服药与否有关联,而与服药人数比例(即X的分布)无关,在这个情况下,Y对于X的响应称为因果效应。
潜在结果理论揭示了一个原理,即在一组条件Z下,虽然Y(1)和Y(0)的分布依赖于其他变量的取值(例如身体健康水平、免疫能力、年龄等),但与X的分布无关时,就认为X对于Y有因果效应。也就是说,不管服药人数是100人还是1000人,其服药人群的期望愈率
以及不服药人群的期望痊愈率
都是不变的,在这种情况下,则断定因果效应成立。如果这个因果效应
−
在数值上超过设定的阈值p,则可看作两者之间具有因果关系,当前主要对于因果关系的识别或计算都明确地或隐含地采纳了这一准则。这也说明,因果效应是客观的,但是因果关系的判定依赖于主观标准。
5. 基于结构因果模型的因果效应度量
5. 基于结构因果模型的因果效应度量
从20世纪80年代开始,以朱迪亚·珀尔(Judea Pearl)为代表的一些研究人员提出一种新的因果分析模型[9],叫做结构因果模型(Structural Causal Model,SCM),引入了结构因果方程、因果图、Do演算(也称为干预操作)、反事实分析等概念,提出了一种全新的形式化理论,开创了另外一条从观察数据(或者观察数据与实验数据结合)进行因果分析和推断的路线。珀尔本人也证明了该理论和潜在结果理论是等价的[10],进一步肯定了该理论的普适性和可信任性。
5.1 平均因果效应
假设X和Y是两个取值0或1的变量,X=0表示X没有出现,X=1表示X出现,Y=0表示Y没有发生,Y=1表示Y发生,Z是环境变量,定义X对于Y的平均因果效应(ACE)为

其意思是,强制将X设置为1,固定其他变量不动(这就是所谓的“干预”),观察Y变化的期望值,并与其在X强制设置为 0 时的期望值进行比较,其中的差被认为是X对于Y的因果效应。
为了计算总体的平均因果效应,需对 Z 的所有可能取值进行平均。具体来说,计算每个 Z=z下的条件因果效应
,然后按 Z 的分布 P(Z=z)加权求和:

这里的平均操作针对环境变量 Z,旨在消除 Z 对因果效应的混杂影响。通过调整 Z的分布,确保结果反映 X 对 Y的总体平均影响,而非特定环境下的局部效应。
为了判定X与Y是否具有因果关系,可以确定一个阈值p≥0,当|ACE(X→Y)|<p时,认为X与Y没有因果关系,否则认为两者之间存在因果关系。
5.2 干预操作
珀尔的关于因果效应的定义既比较符合常识认知,又具有坚实的数学基础,Do演算是该定义的核心,同时也具有契合常识的含义以及严格的计算程式。 Do演算是一种对于数据的主动干预,在传统的统计学中甚至找不到对它的描述,这是珀尔定义因果效应而创建的一种操作,借助这一概念,可以很好地定义什么是变量之间的因果效应。例如在决策理论中,决策是一种对于现有状态的主动干预,已知当前环境Z,拟采取决策X,预测结果Y。这个情况可表示为P(Y|do(X),Z),而不是P(Y|X,Z)。前一个公式表示在决策前的环境Z中,实施决策X之后,预判Y出现的概率。后一个公式则表示在决策X与实施后的环境Z共存的情况下,Y出现的概率。 该理论与随机对照试验有着深刻的联系,它们之间可以互相印证、互相转换,简直可以说是随机对照试验的数字孪生。借助这一理论,就可以通过观察数据来分析和判断因果效应,从而使得原来一些无法进行实验的学科也引入了因果分析,建立了一套严谨和系统的新的研究方法。
5.3 反事实分析
反事实在因果科学中指的是如果在发生X=x,同时又出现了结果Y的情况下,若X=x′,Y仍然发生的可能性有多大,表示为P(YX=x′|X=x,Z)。反事实讨论的是原因的必要性,反映了人类的反思和回顾,这是人类智能中的核心部分。在反事实分析中,引入了Do演算do(X=x),即对于变量X强制设为x,反映了对于现实世界的一种干预。如果在现实世界Z中实施了操作do(X=x),则结果是P(Y|do(X=x),Z),若改为反事实操作do(X=x′),即做了X的另一种替换操作,所得到的结果应该是P(Y|do(X=x′),Z∗),其中Z∗是所谓的与Z最邻近的假设世界,即在Z∗与Z中,所有不受X影响的变量都取相同的值。以前也有过各种关于反事实的定义,但是大多数含义是模糊的或者难以识别的,没有严格区分现实世界与假设世界的异同。例如有些定义将反事实放在另一个更一般的世界中,这可能与反事实概念的初衷相违。有些定义用自然语言描述,无法转化为数学公式,从而难以具体计算。而珀尔的定义则语义明确,在很多情况下,又易于在计算机上进行运算。更重要的,该定义与人们的常识较为吻合,有利于与现有的知识体系相结合。反事实在日常生活和科学论述中是大量出现的。尽管从数学上说,珀尔对于反事实的定义仍然是一种约定,却是目前关于反事实推断的最为清晰、涵盖面最广以及最便于在实际中应用的概念。
5.4 结构因果模型与潜在结果理论的等价性
朱迪亚·珀尔(Judea Pearl)在其著作中系统地阐述了结构因果模型(SCM)与潜在结果理论之间的等价性[10]。尽管他并未以“严格数学等价”的术语表述两者的关系,但他在书中通过以下方式证明了这两种框架在因果推断中的实质一致性:
1. 结构方程生成潜在结果: 在SCM中,每个变量的值由结构方程决定,例如 Y=f(X,Z)。 通过干预(如设定 do(X=x)),可以直接导出潜在结果 Y(x),即: Y(x)=f(x,Z) 这表明潜在结果是结构方程的实例化。
2. 反事实与do-算子的对应: 潜在结果框架中的反事实问题(如“若 X 为 x,则 Y 会如何?”)在SCM中通过 do(X=x) 操作实现,两者在逻辑上完全等价。
5.5 因果效应的概率表达
Judea Pearl在2000年发表的著作[10]中通过结构因果模型引入干预操作(Do演算),将因果效应量化为干预操作下的概率差异,通过干预操作解决了混杂变量问题,使概率提升真正成为可操作的因果标准。公式如下:
Δ=P(Y∣do(X=x),Z)−P(Y∣do(X=x′),Z)
其中: do(X=x)表示对变量X进行人为干预,将其固定为某个值x; Y是结果变量,Z是背景条件(控制变量); x和x′代表X的两种不同干预状态(例如服药与不服药)。
对于潜在结果理论的二元变量(如X=1表示服药,X=0表示不服药),平均因果效应可简化为:
ACE=P(Y=1∣do(X=1))−P(Y=1∣do(X=0))
5.6 其他基于概率差异的因果效应度量
在Judea Pearl提出基于Do演算的概率表达前,也有一些其他基于条件概率的因果效应度量,但都没有完全解决混杂变量问题。
5.6.1 Patrick Suppes的概率提升因果理论
Suppes提出了一种基于概率提升(Probabilistic Raising)的因果理论[6],强调原因事件对结果事件的概率影响。核心定义可以描述为,若变量X是变量Y的原因,需满足两个条件:
1.时序性(Temporal Priority):原因事件X必须发生在结果事件Y之前;
2.概率提升(Probability Raising):X的存在应提升Y发生的概率,即P(Y∣X)>P(Y)。
Suppes 通过概率差异Δ(Probability Difference)量化因果效应,则:
Δ=P(Y∣X)−P(Y)
若 Δ>0,则X对Y有正向因果效应;若Δ<0,则为负向效应;若Δ=0,则无因果效应。
这一度量无法直接控制混杂变量(confounders)。
5.6.2 Ellery Eells的持续性概率提升因果理论
Eells在1991年系统性地论证了因果关系的概率本质,提出了基于持续性概率提升(Sustained Probability Raising)的因果理论[7]。核心定义为,若变量X是变量Y的原因,必须在所有可能的背景条件K下,X能持续提升Y的发生概率。并将因果效应定义为: 在控制所有相关背景条件(Background Conditions)K的情况下,X对Y的条件概率差异,公式为:
Δ=P(Y∣X,K)−P(Y∣¬X,K),其中K是与X和Y有关的背景条件集合。
同样,若 Δ>0,则X对Y有正向因果效应;若Δ<0,则为负向效应;若Δ=0,则无因果效应。
Eells 的因果定义比 Suppes 更严格,要求因果效应在所有相关背景条件下均成立,而非仅整体概率提升。但实际中往往难以穷尽所有可能的K,导致操作困难。
5.6.3 Patricia Cheng的因果归因理论
Patricia Cheng的因果归因理论(Causal Attribution Theory)[8]与概率提升概念有深刻关联,其理论框架对传统概率提升模型进行了重要扩展和修正,核心思想是: 人类通过观察事件发生的共变概率(P(Y|X)和P(Y|¬X))来推断潜在因果关系,但需排除背景条件的干扰。其公式为:

该公式的本质是计算X独立于背景条件时对Y的净因果效应,即X导致Y的因果力(Causal Power)。通过公式中的分母项 1−P(Y|¬X),将背景条件的影响从X的因果效应中剥离,得到X的独立因果力。这类似于统计学中的控制混杂变量,但更侧重认知层面的归因机制。
6. 基于有效信息的因果效应度量
6. 基于有效信息的因果效应度量
有效信息(Effective Information,简称EI)是一种信息论的因果效应度量指标,具体定义为在把因变量X干预为均匀分布的条件下,因变量X与果变量Y的互信息。这个概念最早由Giulio Tononi等人在2003年提出[11],作为整合信息论中的一个关键指标。当一个系统各个部分之间具有很强的因果关联的时候,可以说这个系统便具备很高的整合程度,而有效信息便是用来度量这种因果关联程度的关键指标。到了2013年,Giulio Tononi的学生Erik Hoel等人将有效信息这个概念进一步提炼出来,用来度量马尔科夫动力学的因果效应强度,并提出了因果涌现理论[12]。在这个理论中,Hoel使用了Judea Pearl的do演算来改造一般的互信息指标[24],这使得EI本质上与互信息不同。互信息度量的是相关性,而有效信息因为引入了do演算,从而可以度量因果效应。
6.1 形式定义
考虑两个随机变量:X和Y,分别代表因变量(Cause Variable)和果变量(Effect Variable),并且假定它们的取值区间分别是
和
。则X到Y的有效信息EI的定义为:

这里,
代表对X实施干预操作 (或称do演算),使其服从
上的均匀分布U(
),也即是最大熵分布。
与
分别代表在经过do干预后的X和Y变量,其中,

也就是,经过干预后的变量
与干预前的变量X之间的最大区别就在于分布不同:
服从
上的均匀分布,而X则可能是任意的分布。这里#(
)代表集合X的基数。对于有限元素集合来说,这就是集合中元素的个数。
按照Judea Pearl的理论,do算子实际上是切断了所有指向X变量的因果箭头,同时保持其它因素,特别是从X到Y的因果机制保持不变。所谓的因果机制是指在给定X取值x∈
的情况下,Y在
上取任意值y∈
的条件概率:
f≡Pr(Y=y|X=x)
在干预中,我们要始终保持这个因果机制f保持不变。当没有其它变量影响的时候,这就会导致,Y的概率分布会跟着发生变化,即被间接干预成为:

其中,
则代表:在保持因果机制f不变的情况下,Y变量被X的do干预所间接改变了的Y变量,这种变化主要体现在概率分布的变化上。
因此,所谓一个因果机制f的有效信息EI,就是被干预后的因变量
和果变量
之间的互信息,该指标即可度量X与Y之间的因果效应强度。
可以证明,EI仅仅是因果机制f的函数,当构成矩阵f的行向量都相等的时候,EI=0;当构成f的行向量都是不同的独热向量(one-hot)的时候,EI能取到最大值log2N,其中N=#(
),也就是f的行数。
6.2 有效性
根据Erik Hoel等人在文章[12]中的描述,EI的大小和状态空间大小有关,这一性质在我们比较不同尺度的马尔科夫链的时候非常不方便,所以,Hoel定义了一个不受尺度效应影响的因果效应度量,即有效性(Effectiveness)。该变量定义为用均匀分布即最大熵分布下的熵值,即logN来做分母对EI进行归一化,这里的N为状态空间X中的状态的数量。那么归一化后的EI便等于:

这个归一化指标也称为有效性(effectiveness,Eff)。
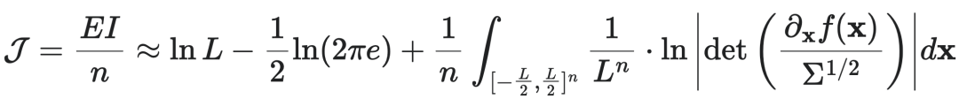
6.3 维度平均的EI
张江团队发明了另一种对连续变量情形有效信息的一种新定义[13],从而解决连续状态变量上的EI比较问题,这一指标被称为维度平均的有效信息(Dimension Averaged Effective Information,简称dEI)。其描述为:

这里,n为状态空间的维度。可以证明,在离散的状态空间中,维度平均的EI和有效性指标(Eff)实际上是等价的(但Eff中仍然有状态数的影响,而J则没有)。
对于n维迭代动力系统来说,首先,y和x表示同一维度的变量,我们假设y和x的定义域不是整个实数空间,而是一个足够大的区域:[−L/2,L/2],其中L为该区间的大小。这样,该区域上的均匀分布的密度函数为:1/L。我们希望当L→+∞的时候,EI能够收敛到一个有限的数。然而,实际的EI是一个和x定义域大小有关的量,所以EI是参数L的函数。维度平均EI的计算公式为:

7. 因果效应度量中的因果基元
7. 因果效应度量中的因果基元
7.1 因果关系的形式化
为了归纳各个因果度量方法之间的相似性,需要用一套统一的形式化方法描述它们,所以我们需要先给出因果关系的形式化方法[16]:在一个给定的空间Ω,即所有可能发生的情况的集合,在这个空间中,事件的单个原因记作c,单个结果记作e,,一组原因记作C ,一组结果记作E,其中假定c在e之前,并满足c∈Ω、e∈Ω、C⊆Ω、E⊆Ω 。为了衡量因果关系,把没有发生c的情况下获得e的概率写成P(e|Cc),其中P代表概率,Cc代表c的补集,P(e|Cc)指的是在C中的任何原因都可能产生e的情况下,除了c之外,产生e的概率,用公式表示为

7.2 因果基元的形式化
当我们讨论因果关系时,不应该简单地认为它只是一个简单的原因导致结果的关系。实际上,这种关系可以从两个不同的角度来看:一个是充分性,另一个是必要性。充分性是指一个原因是否总是能导致一个特定的结果,而必要性是指为了得到这个结果,是否需要这个特定的原因。我们可以把这两个概念看作是理解因果关系的基本元素,称为因果基元(Causal Primatives)[16]。在更广泛的意义上,充分性和必要性分别反映了因果关系之间的确定性和简并性。
7.2.1 充分性的形式化
1.充分性:这里指的是原因c对产生结果e的充分程度。如果每当原因c发生时,结果e总是随之发生,那么我们可以说c是产生e的充分条件。换句话说,c的存在足以确保e的发生。充分性用公式表示为:

2.充分性的广义形式-确定性:如果原因只有一个结果,即P=1,则该熵项为零;如果原因具有完全随机的结果,则熵最大,即log2n,其中n为所有可能结果的数量,用H(e|c)表示原因导致结果的概率分布的熵,用公式表示为:

因此,我们将原因c的确定性定义为log2n−H(e|c)。我们将它做归一化处理,可以创建一个确定性系数det,对于给定的原因,该系数的范围与充分性一样,在 0(完全随机)和 1(完全确定性)之间,公式为:

通过这个公式,我们可以定义一个单个因果转换的确定性系数

以及系统级确定性系数

7.2.2 必要性的形式化
1.必要性:这里指原因c对产生结果e的必要性程度。如果只有通过c才能产生e,那么c是产生e的必要条件。这意味着没有c,e就不会发生。必要性用表示公式为:

2.必要性的广义形式-简并性:简并性是必要性的一种推广,如果所有可能的结果都有相同的概率,即没有任何一个结果比其他结果更有可能,那么简并性为零。如果某些特定的结果由更多的原因引起,那么这些特定的结果就更有可能发生,从而导致简并性增加。简并性的量化可以用一组原因C导致e发生的条件概率的熵来衡量,公式为:

通过这个公式,我们可以定义一个单个因果效应的简并性系数

以及系统级简并性系数

7.3 因果效应度量指标的因果基元表示
因果效应度量指标的因果元语表现形式

7.4 总结
上表中的每一种因果效应度量方法,两个基元(充分性和必要性)或它们的广义形式(确定性和简并性)都被明确地置于某种关系中,通常是差异、比率或权衡的关系。Erik Hoel并不是第一个指出因果关系有两个维度的人,例如,Judea Pearl 就说过: “显然,必须在因果解释的必要成分和充分成分之间取得某种平衡”[10]。J. L. Mackie虽然没有提出因果关系强度的定量衡量标准,但他在提出原因应满足的 INUS 条件(Insufficient but Necessary part of an Unnecessary but Sufficient condition,简称INUS)时,考虑到了必要性和充分性两个方面,Mackie认为,一个真正的因果关系应该包含两个层面:首先,它必须是某个条件的一部分,这个条件本身足以导致结果发生,但这个条件不是唯一的,也就是说,还有其他可能的条件也可以导致同样的结果;其次,这个条件中的特定部分(即INUS条件)对于整个条件来说是必要的,但单独来看并不足以引起结果[25]。这些因果度量方法的相似性和一致性说明因果关系本身并不是一个原始概念,而是可以从充分性和必要性这两个维度进行分解,它们的广义形式分别是确定性和简并性。研究者们不再需要找到一个必须达成普遍共识的唯一因果关系衡量标准,而是可以通过关注这些相同的基本属性继续理解其他因果现象。
作者介绍

本词条由集智俱乐部众包生产,难免存在纰漏和问题,欢迎大家留言反馈,一经采纳,可以获得对应的积分奖励噢!
加入我们
亲爱的社区伙伴与知识探索者:
我们诚挚邀请热爱知识分享的您,加入集智百科词条编写志愿团队!无论您是领域专家,还是对特定主题充满热忱的学习者,这里都有您的舞台。通过编写百科词条,您将为全球读者传递权威知识,同时获得专家指导与个人能力跃升的双重成长。
📝 志愿者职责
创作新词条:覆盖复杂系统、人工智能等前沿领域
迭代经典内容:更新现有词条,守护知识的准确性与时效性
质量守护者:参与内容校对审核,共建精品知识库
🌟 我们期待您
集智读书会成员(需完成共创任务并获得退费资格)
拥有清晰表达复杂概念的写作能力
对特定领域有深度研究或强烈兴趣
具备信息检索与整合素养
怀揣责任感与协作精神,愿为知识共享赋能
🎁 您将收获
百科积分(支持兑换集智俱乐部周边:文化衫、复杂科学知识卡等)
集智俱乐部创始人张江教授亲自指导写作
科研助理晋升通道:表现优异者可加入张江教授科研团队


加入任何一期读书会并完成共创任务即可 让我们一起,用知识连接世界!
参考文献
2. Pearson, Karl (1896). “Mathematical Contributions to the Theory of Evolution. III. Regression, Heredity, and Panmixia”. Philosophical Transactions of the Royal Society of London. 187: 253–318.
3. Neyman, Jerzy (1923). “O wyznaczeniu efektów doświadczeń losowych” [[On Determining the Effects of Randomized Experiments]]. Książnica Atlas (in Polish). Książnica Atlas.
4. Rubin, Donald B. (1972). “Estimating Causal Effects of Treatments in Experimental and Observational Studies”. ETS Research Bulletin Series. 1972 (2): i–31.
5. Granger, C. W. J. (1969). “Investigating Causal Relations by Econometric Models and Cross-Spectral Methods”. Econometrica. 37: 424–438.
6. Suppes, Patrick (1970). A Probabilistic Theory of Causality. Amsterdam: North-Holland Publishing Company.
7. Eells, Ellery (1991). Probabilistic Causality. Cambridge: Cambridge University Press.
8. Cheng, Patricia W. (1997). “From covariation to causation: A causal power theory”. Psychological Review. 104 (2): 367–405.
9. Pearl, Judea (1995). “Causal Diagrams for Empirical Research”. Biometrika. 82 (4): 702–710.
10. Pearl, Judea (2009). Causality: Models, Reasoning, and Inference (2nd ed.). Cambridge University Press. ISBN 978-0521895606.
11. Tononi, G.; Sporns, O. (2003). “Measuring information integration”. BMC Neuroscience. 4 (31).
12. Hoel, Erik P.; Albantakis, L.; Tononi, G. (2013). “Quantifying causal emergence shows that macro can beat micro”. Proceedings of the National Academy of Sciences. 110 (49): 19790–19795.
13. Zhang, Jiang; Liu, Kaiwei (2022). “Neural Information Squeezer for Causal Emergence”. Entropy. 25 (1): 26.
14. Mingzhe Yang; Zhipeng Wang; Kaiwei Liu; Yingqi Rong; Bing Yuan; Jiang Zhang (2024). “Finding emergence in data by maximizing effective information”. arXiv: 2308.09952.
15. Kaiwei Liu; Bing Yuan; Jiang Zhang (2024). “An Exact Theory of Causal Emergence for Stochastic Iterative Systems”. arXiv: 2405.09207.
16. Comolatti, Renzo; Hoel, Erik (2022). “Causal emergence is widespread across measures of causation”. arXiv preprint. arXiv:2202.01854.
17. 李廉; 刘礼; 杨矫云; 廖军; 梁知音 (7 2023). 因果漫步. 机械工业出版社.
18. Pearl, Judea (2018). Measuring Causality: The Science of Cause and Effect. Cambridge University Press. doi:10.1017/9781108270218. ISBN 978-1108420220.
19. Wiener, Norbert (1949). Extrapolation, Interpolation, and Smoothing of Stationary Time Series. The MIT Press. ISBN 9780262230025.
20. Wiener, Norbert (1956). “The theory of prediction”. Modern Mathematics for Engineers. 1: 125–139.
21. Schreiber, Thomas (2000). “Measuring information transfer”. Physical Review Letters. 85 (2): 461.
22. Kathpalia, Aditi; Nagaraj, Nithin (2019). “Data – based intervention approach for Complexity – Causality measure” (PDF). PeerJ Computer Science. 5: e196.
23. Nagaraj, Nithin; Balasubramanian, Karthi; Dey, Sutirth (2013). “A new complexity measure for time series analysis and classification”. The European Physical Journal Special Topics. 222 (3–4): 847–860.
24. Judea Pearl; 刘礼; 杨矫云; 廖军; 李廉 (4 2022). 因果论——模型、推理和推断. 机械工业出版社.
25. J. L. Mackie. Causes and Conditions. American Philosophical Quarterly, 2(4):245–264, 1965. Publisher:University of Illinois Press.
参考文献可上下滑动查看
因果涌现读书会第六季
在霓虹灯的闪烁、蚁群的精密协作、人类意识的诞生中,隐藏着微观与宏观之间深刻的因果关联——这些看似简单的个体行为,如何跨越尺度,涌现出令人惊叹的复杂现象?因果涌现理论为我们揭示了答案:复杂系统的宏观特征无法通过微观元素的简单叠加解释,而是源于多尺度动态交互中涌现的因果结构。从奇异值分解(SVD)驱动的动态可逆性分析,到因果抽象与信息分解的量化工具,研究者们正逐步构建起一套跨越数学、物理与信息科学的理论框架,试图解码复杂系统的“涌现密码”。
为了系统梳理因果涌现最新进展,北京师范大学系统科学学院教授、集智俱乐部创始人张江老师领衔发起「因果涌现第六季」读书会,组织对本话题感兴趣的朋友,深入研读相关文献,激发科研灵感。视频回放已上线。诚挚邀请领域内研究者、寻求跨领域融合的研究者加入,共同探讨。
推荐阅读
6. 加入集智,玩转复杂,共创斑图!集智俱乐部线下志愿者招募

点击“阅读原文”,报名读书会





