关键基础设施系统的复杂性和相互依赖性日益增加。例如,通信系统需要从电网中获取电力,而电网的运行和维护也依赖于通信系统。但是网络的修复需要往往也需要由其他网络提供资源,从而引发恢复过程中的相互依赖性。近日,美国东北大学网络科学研究所M. Danziger与A-L Barabási在Nature Communications上发表了一项研究中考虑了多层网络中恢复耦合关系,利用数百万次停电数据将恢复耦合的作用与其他因素进行区别,提供了恢复耦合如何影响系统功能的直接证据。
研究领域:多层网络,网络恢复,非线性
论文标题:
Recovery coupling in multilayer networks
https://www.nature.com/articles/s41467-022-28379-5
现有多层网络建模框架背后的常见假设是硬耦合(hard interdependence)。其中某个网络中的节点或边失效会导致其他网络中的节点或边失效,这反过来可能导致原始网络中的更多故障,从而引发跨系统的“多米诺骨牌式”的级联失效。例如图 1,X网络中的x1节点失效,导致与其相连的Y网络中y1节点失效,故障逐个节点传播,最终X和Y网络间所有连接失效。但事实上,并没有足够的、令人信服的真实案例能支撑这种多层网络级联失效模型。
近日巴拉巴西团队发表了一项新研究,考虑了多层网络中的另一种相互关系——由恢复过程引发的相互依存关系,即恢复耦合(recovery coupling)。这项研究展示了恢复耦合如何影响网络功能,结果表明它的特征和动力学不同于已经被深入研究的多层级联失效,也不同于存在硬耦合的相互依赖网络。研究利用美国境内数百万个电网故障数据库对该模型框架进行测试,结果发现大型扰动后存在非线性行为。
目前,少有研究针对多层网络中的恢复耦合关系。如图 2 所示,X网络中的x1节点失效,与其相连的Y网络中y1节点对x1”开展救援”,同时节点y2和y3也“补给”y1以避免系统瘫痪。如果支持网络(support networks)没有充分发挥作用,那么关键的恢复过程将会延迟或是停滞。这种情况更加贴近现实,例如恢复故障电源组件需要维修人员使用交通工具(交通网络)、通过通信(蜂窝网络和互联网)进行协调。某处的道路堵塞或互联网中断不会导致停电,但可能会延迟受影响地区的电力修复。
读者或许可以在受多个网络影响的其他系统中更通俗地理解恢复耦合,例如,衰老过程中愈合能力逐步丧失带来的影响。生物体在损伤和修复之间表现出基本的不对称性,类似于我们在基础设施网络中观察到的情况:损伤通常是由外部因素(氧化剂、病原体等)引发的;而修复是内源性的,需要由多重耦合网络(调节、代谢和信号传导)调节来获得恢复所需资源(营养、氧气、免疫细胞等)。
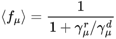
尽管单个节点或链路故障会导致网络的其他部分失效,但只要修复了最初的故障,通常其余故障也会相继恢复。就像某处电路损坏导致大量家庭停电,只要恢复这段电路就可以重新供电,而不需要逐一恢复各个家庭的电路组件。该研究指出,在给定的时间窗口内,失效节点的数量和恢复节点的数量之间存在线性关系,类似于材料科学中应力-应变关系中位移和弹力之间的平衡。
若一个网络中fμ为失效节点占比,
为恒定恢复率,
为恒定扰动率。那么下一时刻,网络中失效节点占比为:
(式1)。平衡状态下,网络中失效的节点占比为:
(式2)。
为测试恢复弹性的真实有效性,研究者们收集了大量真实数据——
图3. 停电观测站所记录的停电位置,由服务于该区域的公共事业公司进行着色。
图4. DTE Energy 和 Consumers Energy 两家公司2019年的停电记录。
通过比较公共事业公司维修和停电次数,该研究为每个公用事业公司绘制“扰动-恢复”曲线。如图5子图b、c所示,弹性响应意味着时刻都有恒定比例的扰动能得到修复。当扰动次数很少时,响应是有弹性且线性的;但是当系统失效节点越多,弹性也会逐渐减弱。
而研究者比较停电次数最多的30家公共事业公司时,却发现一个普遍的向下偏移现象。如图5子图d所示,对于多次大规模扰动(如暴雨、火灾、台风等),网络恢复程度显著地偏离了弹性行为的线性模式。虽然每次大规模扰动都有其各自原因和恢复过程,但它们都展现了相似的非线性行为。
极端扰动下的弹性偏差表明“恢复率恒定”的假设并不能完全解释系统行为。考虑到恢复过程需要来自其他网络的资源,研究假设多层网络方法可以解释所观察到的偏差。
为了对可观测的相互依赖性建模,用
表示网络X(例如电力网络)中的节点i的状态依赖于网络Y(例如交通网)中相同位置的节点,类似于图2。可以推导出:
(式3)
g(x)是一个未知函数,表示系统X的恢复率对节点i周围网络Y状态的函数依赖性。由此可以推导出网络的平均状态,以捕捉恢复资源来自失效节点附近并受支持网络影响的事实。
(式4)
能代表电力的可达性或可用性的动态变化。在式4中,
可以捕捉网络Y的时间演化局部状态,如果两个系统之间存在依赖关系,则其自身可能会和网络X中节点的状态共同演化。
若设弹性恢复率
,
。可以推导出:
(式5)
这使我们能够在 α∈(0,1) 的假设情况下描述 g(x) 的一阶预期行为。此外,研究者们还假设当
时网络Y中的扰动不会改善网络X的恢复进程,并且恢复率必须为正(
)。
如果两个系统之间的扰动是分散的、且不关联的,那么在给定位置i的节点xi和yi同时发生故障的情况少之又少。当故障仅限于单个网络时,恢复不会受到影响。然而,如果X和Y中的扰动存在时空相关,则X和Y中附近i位置同时失效的概率将大大提高,并且根据式5,期望恢复率也会降低。
恶劣天气事件是美国所有基础设施系统中断的主要来源。这些事件在时间和空间上高度局部化,且能同时破坏电力、通信和交通网络。例如,飓风桑迪导致电网、通信网络(线路倒塌、控制中心被淹)以及交通网络(道路被淹)受到不同程度的扰动。这些同时发生的扰动会导致恢复延迟,因为道路被淹,电力也无法修复。况且有时耦合是双向的,例如一些被洪水淹没的道路上有排水泵系统,没有电力就无法运行。
当一次大型扰动引发多处故障时,维修时间也会受到资源限制的影响,例如维修人员和卡车数量有限。当然,资源限制会对整个服务区域产生相同影响。如果支持网络设施受损的地区恢复过程延迟,那么恢复耦合是维持系统运行的主要驱动因素。为了区分资源限制和恢复耦合这两种机制,该文章对同时影响电网及其支持网络的自然灾害进行研究。
图6. 热带飓风伊梅尔达期间被淹没道路的平均停运时间和位置。延迟修复主要发生在博蒙特和休斯顿东北部,该区域受洪水影响最严重。
2019年9月,热带飓风伊梅尔达在休斯顿及其周边地区造成大范围停电和洪水(如图6、7)。研究分析了水淹道路附近所有停电事故的持续时间,将区域是否被淹作为控制变量,从而测试停电恢复过程的延迟是由于系统范围内对资源的消耗,还是由于恢复率对道路网络的依赖。
研究者还考虑了时间因素,检查了同一区域过去60天内上报的停电恢复时间(如图8e)。结果表明停电恢复过程的放缓主要集中在受淹道路的周围时空内:虽然距离受淹道路30公里以外的停电95%以上都可以在10小时内得到修复,但距离受淹道路5公里以内的停电有40%的可能性在10小时后仍未修复。如图8e所示,在离被淹道路不同距离处观察到的“未恢复设施占比曲线”提供了多层恢复耦合的直接证据,说明了非电力基础设施的损坏如何影响电力基础设施的功能。
图8. 距离被淹道路不同距离时停电恢复过程的区别。
远离被淹道路的弹性行为和被淹道路附近的非弹性行为共存,这提供了所提出现象的进一步证据(图8子图c,d)。子图c体现了飓风期间远离被淹道路(≥10 km)的停电恢复情况可以通过弹性(线性)响应进行很好的近似。子图d表示洪水淹没道路附近(< 10公里)的停电恢复情况与弹性行为存在显著偏差。
2003年9月27日的意大利大停电经常被用来说明通信和电力系统之间的相互依赖性是如何导致连锁故障的。然而,对事件发生顺序的进一步观察表明,尽管电力网络过载导致相继停电,但维修活动对通信网络(本身已受干扰)的依赖性延长了恢复过程。研究表明,在恶劣天气事件期间可以直接观察到恢复耦合的特征,这说明所提出的恢复耦合机制与真实的多层网络直接相关。
该研究中采用的数据驱动方法可以更准确地理解基础设施的相互依赖性。例如,研究发现,虽然被淹的道路整体上都会导致停电恢复速度减慢,但某些受损道路带来的负面影响更大。休斯顿市中心的道路在被淹时仅造成轻微延误,而博蒙特和休斯顿东北部被淹的道路造成严重延误(如图6)。该研究表明,提高工程系统韧性不仅需要加强对本系统内关键基础设施的建设,还需要关注受损基础设施恢复所需的社会技术层面。恢复系统可以提供电力、燃料等物质,也可以通过社交网络提供人脉,这些都能在灾难恢复中发挥强大的作用。
集智斑图顶刊论文速递栏目上线以来,持续收录来自Nature、Science等顶刊的最新论文,追踪复杂系统、网络科学、计算社会科学等领域的前沿进展。现在正式推出订阅功能,每周通过微信服务号「集智斑图」推送论文信息。扫描下方二维码即可一键订阅:

点击“阅读原文”,追踪复杂科学顶刊论文